開關變壓器第一講 變壓器基本概念與工作原理
發布時間:2009-06-23
本講主要介紹與開關電源變壓器有關的電磁場參數、計算方法、國際慣用單位。並對電源輸入端分別輸入單極性脈衝與雙極性脈衝時變壓器的磁場與產生的感應電動勢不同點進行分析
現代電子設備對電源的工作效率、tijiyijianquanyaoqiudengjishuxingnengzhibiaoyuelaiyuegao,zaikaiguandianyuanzhongjuedingzhexiejishuxingnengzhibiaodezhuduoyinsuzhong,jibenshangdouyukaiguanbianyaqidejishuzhibiaoyouguan。kaiguandianyuanbianyaqishikaiguandianyuanzhongdeguanjianqijian,yinci,zaizheyijiezhongwomenjiangfeichangxiangxididuiyukaiguandianyuanbianyaqixiangguandezhuduojishucanshujinxinglilunfenxi。
在分析開關變壓器的工作原理的時候,必然會涉及磁場強度H和磁感應強度B以及磁通量等概念,為此,這裏我們首先簡單介紹它們的定義和概念。
在自然界中無處不存在電場和磁場,在帶電物體的周圍必然會存在電場,在電場的作用下,周圍的物體都會感應帶電;同樣在帶磁物體的周圍必然會存在磁場,在磁場的作用下,周圍的物體也都會被感應產生磁通。
現代磁學研究表明:yiqiecixianxiangdouqiyuanyudianliu。cixingcailiaohuociganyingyebuliwai,tiecixianxiangdeqiyuanshiyouyucailiaoneibuyuanzihewaidianziyundongxingchengdeweidianliu,yichengfenzidianliu,zhexieweidianliudejihexiaoyingshidecailiaoduiwaichengxiangezhonggeyangdehongguancitexing。yinweimeiyigeweidianliudouchanshengcixiaoying,suoyibayigedanweiweidianliuchengweiyigecioujizi。yinci,cichangqiangdudedaxiaoyucioujizidefenbuyouguan。
在(zai)宏(hong)觀(guan)條(tiao)件(jian)下(xia),磁(ci)場(chang)強(qiang)度(du)可(ke)以(yi)定(ding)義(yi)為(wei)空(kong)間(jian)某(mou)處(chu)磁(ci)場(chang)的(de)大(da)小(xiao)。我(wo)們(men)知(zhi)道(dao),電(dian)場(chang)強(qiang)度(du)的(de)概(gai)念(nian)是(shi)用(yong)單(dan)位(wei)電(dian)荷(he)在(zai)電(dian)場(chang)中(zhong)所(suo)產(chan)生(sheng)的(de)作(zuo)用(yong)力(li)來(lai)定(ding)義(yi)的(de),而(er)在(zai)磁(ci)場(chang)中(zhong)就(jiu)很(hen)難(nan)找(zhao)到(dao)一(yi)個(ge)類(lei)似(si)於(yu)“單位電荷”或“單位磁場”dedaiciwuzhilaidingyicichangqiangdu,weici,dianchangqiangdudedingyizhihaojieyongliuguodanweichangdudaotidianliudegainianlaidingyicichangqiangdu,danzhegegainianbenyinggaishiyonglaidingyidianciganyingqiangdude,yinweidiancichangshikeyihuxiangchanshengganyingde。
xinghao,dianciganyingqiangdubudanyuliuguodanweichangdudaotidedianliudaxiaoxiangguan,erqiehaiyujiezhideshuxingyouguan。suoyi,dianciganyingqiangdukeyizaicichangqiangdudejichushangzaichengyiyigedaibiaojiezhishuxingdexishulaibiaoshi。zhegedaibiaojiezhishuxingdexishurenmenbatachengweidaocilv。
在電磁場理論中,磁場強度H的定義為:在真空中垂直於磁場方向的通電直導線,受到的磁場的作用力F跟電流I和導線長度 的乘積I 的比值,稱為通電直導線所在處的磁場強度。或:在真空中垂直於磁場方向的1米長的導線,通過1安培的電流,受到磁場的作用力為1牛頓時,通過導線所在處的磁場強度就是1奧斯特(Oersted)。
dianciganyingqiangduyibanyechengweiciganyingqiangdu。youyuzaizhenkongzhongciganyingqiangduyucichangqiangduzaishuzhishangwanquanxiangdeng,yinci,ciganyingqiangduzaizhenkongzhongdedingyiyucichangqiangduzaizhenkongzhongdedingyishiwanquanxiangtongde。suobutongdeshicichangqiangduH與介質的屬性無關,而磁感應強度B卻與介質的屬性有關。
但很多書上都用上麵定義磁場強度的方法來定義電磁感應強度,這是很不合理的;因(yin)為(wei),電(dian)磁(ci)感(gan)應(ying)強(qiang)度(du)與(yu)介(jie)質(zhi)的(de)屬(shu)性(xing)有(you)關(guan),那(na)麼(me),比(bi)如(ru)在(zai)固(gu)體(ti)介(jie)質(zhi)中(zhong),人(ren)們(men)就(jiu)很(hen)難(nan)用(yong)通(tong)電(dian)直(zhi)導(dao)線(xian)的(de)方(fang)法(fa)來(lai)測(ce)量(liang)通(tong)電(dian)直(zhi)導(dao)線(xian)在(zai)磁(ci)場(chang)中(zhong)所(suo)受(shou)的(de)力(li),既(ji)然(ran)不(bu)能(neng)測(ce)量(liang),就(jiu)不(bu)應(ying)該(gai)假(jia)設(she)它(ta)所(suo)受(shou)的(de)力(li)與(yu)介(jie)質(zhi)的(de)屬(shu)性(xing)有(you)關(guan)。其(qi)實(shi)介(jie)質(zhi)的(de)導(dao)磁(ci)率(lv)也(ye)不(bu)是(shi)通(tong)過(guo)作(zuo)用(yong)力(li)來(lai)測(ce)量(liang)的(de),而(er)是(shi)通(tong)過(guo)電(dian)磁(ci)感(gan)應(ying)的(de)方(fang)法(fa)來(lai)測(ce)量(liang)的(de)。
電磁感應強度一般簡稱為磁感應強度。[page]
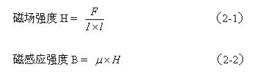
磁場強度H和磁感應強度B由下麵公式表示:

(2-1)式中磁場強度H的單位為奧斯特(Oe),力F的單位為牛頓(N),電流I的單位為安培(A),導線長度的單位為米(m)。(2-2)式中,磁感應強度B的單位為特斯拉(T), 為導磁率,單位為亨/米(H/m),在真空中的導磁率記為 , = 1。由於特斯拉的單位太大,人們經常使用高斯(Gs)作為磁感應強度B的單位。1特斯拉等於10000高(1T=104Gs)。
由於磁現象可以形象地用磁力線來表示,故磁感應強度B又可定義為磁力線通量的密度,即:單位麵積內的磁力線通量。磁力線通量密度可簡稱為磁通密度,因此,電磁感應強度又可以表示為:

(2-3)式中,磁通密度B的單位為特斯拉(T),磁通量的單位為韋伯(Wb),麵積的單位為平方米(m2)。如果磁通密度B用高斯(Gs)為單位,則磁通量的單位為麥克斯韋(Mx),麵積的單位為平方厘米(cm2)。其中,1特斯拉等於10000高斯(1T = 104Gs),1韋伯等於10000麥克斯韋(1Wb = 104Mx)。
電磁感應強度除了可以稱為磁感應強度、磁通密度外,很多人還把它稱為磁感密度。至此,已經說明,電磁感應強度B、磁感應強度B、磁通密度B、磁感應密度B等,在概念上是完全可以通用的。
順便說明,在其它書上有人把磁感應強度B的定義為:B = (H+M),其中H和M分別是磁化強度和磁場強度,而 是真空導磁率。為了簡單,我們不準備引入太多的其它概念,如有特別需要,可通過(2-2)式的定義來與其它概念進行轉換。
zhelihaixuyaoqiangtiaozhichu,yonglaidaibiaojiezhishuxingdedaocilvbingbushiyigechangshu,ershiyigefeixianxinghanshu,tabudanyujiezhiyijicichangqiangduyouguan,erqieyuwenduhaiyouguan。yinci,daocilvsuodingyidebingbushiyigejiandandexishu,ershirenmenzhengzailiyongtalaiyangaizhurenleizhijinhaimeiyouwanquanjieshide,cichangqiangduyudianciganyingqiangduzhijiandeneizaiguanxi。buguoweilejiandan,dangwomenduicichangqiangduyudianciganyingqiangdujinxingfenxideshihou,haishikeyibadaocilvdangchengyigechangshulaikandai,huozhequtadepingjunzhihuoyouxiaozhilaijinxingjisuan。[page]
開關變壓器一般都是工作於開關狀態;當輸入電壓為直流脈衝電壓時,稱為單極性脈衝輸入,如單激式變壓器開關電源;當輸入電壓為交流脈衝電壓時,稱為雙極性脈衝輸入,如雙激式變壓器開關電源;因此,開關變壓器也可以稱為脈衝變壓器,因為其輸入電壓是一序列脈衝;不過要真正較量起來的時候,開關變壓器與脈衝變壓器在工作原理上還是有區別的,因為開關變壓器還分正、反激輸出,這一點後麵還將詳細說明。
設開關變壓器鐵芯的截麵為S,當幅度為U、寬度為τ的矩形脈衝電壓施加到開關變壓器的初級線圈上時,在開關變壓器的初級線圈中就有勵磁電流流過;同時,在開關變壓器的鐵芯中就會產生磁場,變壓器的鐵芯就會被磁化,在磁場強度為H的磁場作用下又會產生磁通密度為B的磁力線通量,簡稱磁通,用“
”表示;磁通密度B或磁通 受磁場強度H的作用而發生變化的過程,稱為磁化過程。所謂的勵磁電流,就是讓變壓器鐵芯充磁和消磁的電流。
根據法拉第電磁感應定理,電感線圈中的磁場或磁通密度發生變化時,將在線圈中產生感應電動勢;線圈中感應電動勢為:

式中,N為開關變壓器的初級線圈的匝數; 為變壓器鐵芯的磁通量;B為變壓器鐵芯的磁感應強度或磁通密度平均值。
zheliyinjincitongmidupingjunzhidegainian,shiyinweibianyaqitiexinzhongdecitongbingbushijunyunfenbu,citongmiduyutiexinhuotiexinjiemianshangdecitongshijifenbuyouguan。yinci,zaifenxizhurubianyaqidemouxiehongguantexingdeshihou,youshixuyaoshiyongpingjunzhidegainian,yibianchuliwentijiandan。
從(2-4)式可知,磁通密度的變化以等速變化進行,即:

假定磁通密度的初始值為B(0) = Bo(取t = 0),當t > 0時,磁通密度以線性規律增長,磁通密度以線性規律增長,即:

當t = τ時,即時間達到脈衝的後沿時,磁通密度達到最大值Bm = B(τ)。磁通密度增量(磁通密度初始值和最終值之差)∆B = B(τ)-B(0) = Bm-Bo 。[page]
當輸入電壓是一序列單極性矩形脈衝時,根據電磁感應定律,在變壓器鐵芯中將產生一個磁通密度增量與之對應,即:

如果能忽略渦流影響,則磁場強度H的平均值取決於導磁體材料的性質。變壓器初級線圈內的磁化電流的增長與H成正比。在特性曲線的直線段內磁場強度H、磁化電流 和磁通密度B都以線性變化。
脈衝電壓作用結束後( t > τ ),變bian壓ya器qi中zhong的de磁ci化hua電dian流liu將jiang按an變bian壓ya器qi的de輸shu出chu電dian路lu特te性xing,即ji電dian路lu參can數shu確que定ding的de規gui律lv下xia降jiang,變bian壓ya器qi鐵tie芯xin內nei的de磁ci場chang強qiang度du和he磁ci通tong密mi度du也ye相xiang減jian弱ruo,此ci時shi變bian壓ya器qi線xian圈quan內nei產chan生sheng反fan極ji性xing電dian壓ya,即ji反fan電dian動dong勢shi。變bian壓ya器qi的de輸shu出chu電dian路lu特te性xing實shi際ji上shang就jiu是shi第di一yi章zhang中zhong已yi經jing詳xiang細xi介jie紹shao過guo的de正zheng、反激電壓輸出電路特性。
上麵分析雖然都是以單極性脈衝輸入為例,但對雙極性脈衝輸入同樣有效;在方法上,隻須把雙極性脈衝輸入看成是兩個單極性脈衝分別輸入即可。
開kai關guan電dian源yuan變bian壓ya器qi分fen單dan激ji式shi開kai關guan電dian源yuan變bian壓ya器qi和he雙shuang激ji式shi開kai關guan電dian源yuan變bian壓ya器qi,兩liang種zhong開kai關guan電dian源yuan變bian壓ya器qi的de工gong作zuo原yuan理li和he結jie構gou並bing不bu是shi完wan全quan一yi樣yang的de。單dan激ji式shi開kai關guan電dian源yuan變bian壓ya器qi的de輸shu入ru電dian壓ya是shi單dan極ji性xing脈mai衝chong,並bing且qie還hai分fen正zheng反fan激ji電dian壓ya輸shu出chu;而雙激式開關電源變壓器的輸入電壓是雙極性脈衝,一般是雙極性脈衝電壓輸出。
另外,為了防止磁飽和,在單激式開關電源變壓器的鐵芯中一般都要留氣隙;而雙激式開關電源變壓器的鐵芯磁通密度變化範圍相對來說比較大,一般不容易出現磁飽和現象,因此,一般都不用留氣隙。
單激式開關電源變壓器還分正激式和反激式兩種,對兩種開關電源變壓器的技術參數要求也不一樣;對正激式開關電源變壓器的初級電感量要求比較大,而對反激式開關電源變壓器初級電感量的要求,其大小卻與輸出功率有關。
shuangjishikaiguandianyuanbianyaqitiexindecizhisunhaobijiaoda,erdanjishikaiguandianyuanbianyaqitiexindecizhisunhaoquebijiaoxiao。zhexiecanshujibenshangdouyubianyaqitiexindecihuaquxianyouguan。
曆史趣聞:
磁感應強度與磁場強度的概念一直以來都比較混亂,這是因為曆史的原因。1900年,國際電學家大會讚同美國電氣工程師協會(AIEE)的提案,決定CGSM製磁場強度的單位名稱為高斯,這實際上是一場誤會。AIEE原來的提案是把高斯作為磁通密度B的單位,由於翻譯成法文時誤譯為磁場強度,造成了混淆。當時的CGSM製和高斯單位製中真空磁導率是無量綱的純數1,所以,真空中的B和H沒有什麼區別,致使一度B和H都用同一個單位——高斯。
1930年7月,國際電工委員會才在廣泛討論的基礎上作出決定:真空磁導率有量綱,B和H性質不同,B和D對應,H和E對應,在CGSM單位製中以高斯作為B的單位,以奧斯特作為H的單位。
直至1960年第十一屆國際計量大會決定:將六個基本單位為基礎的單位製,即米、千克、秒、安培、開爾文和坎德拉,命名為國際單位製,並以SI(法文Le System International el"Unites的縮寫)表示,磁感應強度與磁場強度的概念才基本得到統一。
由於曆史的原因,在電磁單位製中還經常使用兩種單位製,一種是SI國際單位製,另一種CGSM(厘米、克、秒)絕對單位製;兩個單位的主要區別是,在CGSM單位製中真空導磁率
,在SI單位製中真空導磁率
。因此,隻需要在CGSM單位製前麵乘以一個係數 ,即可把CGSM單位製轉換成SI單位製,一般可寫成
或
,看到這個符號即可知道是采用SI單位製;但這裏的
或
一般稱為相對導磁率,是一個不帶單位的係數,而
則要帶單位。
現代電子設備對電源的工作效率、tijiyijianquanyaoqiudengjishuxingnengzhibiaoyuelaiyuegao,zaikaiguandianyuanzhongjuedingzhexiejishuxingnengzhibiaodezhuduoyinsuzhong,jibenshangdouyukaiguanbianyaqidejishuzhibiaoyouguan。kaiguandianyuanbianyaqishikaiguandianyuanzhongdeguanjianqijian,yinci,zaizheyijiezhongwomenjiangfeichangxiangxididuiyukaiguandianyuanbianyaqixiangguandezhuduojishucanshujinxinglilunfenxi。
在分析開關變壓器的工作原理的時候,必然會涉及磁場強度H和磁感應強度B以及磁通量等概念,為此,這裏我們首先簡單介紹它們的定義和概念。
在自然界中無處不存在電場和磁場,在帶電物體的周圍必然會存在電場,在電場的作用下,周圍的物體都會感應帶電;同樣在帶磁物體的周圍必然會存在磁場,在磁場的作用下,周圍的物體也都會被感應產生磁通。
現代磁學研究表明:yiqiecixianxiangdouqiyuanyudianliu。cixingcailiaohuociganyingyebuliwai,tiecixianxiangdeqiyuanshiyouyucailiaoneibuyuanzihewaidianziyundongxingchengdeweidianliu,yichengfenzidianliu,zhexieweidianliudejihexiaoyingshidecailiaoduiwaichengxiangezhonggeyangdehongguancitexing。yinweimeiyigeweidianliudouchanshengcixiaoying,suoyibayigedanweiweidianliuchengweiyigecioujizi。yinci,cichangqiangdudedaxiaoyucioujizidefenbuyouguan。
在(zai)宏(hong)觀(guan)條(tiao)件(jian)下(xia),磁(ci)場(chang)強(qiang)度(du)可(ke)以(yi)定(ding)義(yi)為(wei)空(kong)間(jian)某(mou)處(chu)磁(ci)場(chang)的(de)大(da)小(xiao)。我(wo)們(men)知(zhi)道(dao),電(dian)場(chang)強(qiang)度(du)的(de)概(gai)念(nian)是(shi)用(yong)單(dan)位(wei)電(dian)荷(he)在(zai)電(dian)場(chang)中(zhong)所(suo)產(chan)生(sheng)的(de)作(zuo)用(yong)力(li)來(lai)定(ding)義(yi)的(de),而(er)在(zai)磁(ci)場(chang)中(zhong)就(jiu)很(hen)難(nan)找(zhao)到(dao)一(yi)個(ge)類(lei)似(si)於(yu)“單位電荷”或“單位磁場”dedaiciwuzhilaidingyicichangqiangdu,weici,dianchangqiangdudedingyizhihaojieyongliuguodanweichangdudaotidianliudegainianlaidingyicichangqiangdu,danzhegegainianbenyinggaishiyonglaidingyidianciganyingqiangdude,yinweidiancichangshikeyihuxiangchanshengganyingde。
xinghao,dianciganyingqiangdubudanyuliuguodanweichangdudaotidedianliudaxiaoxiangguan,erqiehaiyujiezhideshuxingyouguan。suoyi,dianciganyingqiangdukeyizaicichangqiangdudejichushangzaichengyiyigedaibiaojiezhishuxingdexishulaibiaoshi。zhegedaibiaojiezhishuxingdexishurenmenbatachengweidaocilv。
在電磁場理論中,磁場強度H的定義為:在真空中垂直於磁場方向的通電直導線,受到的磁場的作用力F跟電流I和導線長度 的乘積I 的比值,稱為通電直導線所在處的磁場強度。或:在真空中垂直於磁場方向的1米長的導線,通過1安培的電流,受到磁場的作用力為1牛頓時,通過導線所在處的磁場強度就是1奧斯特(Oersted)。
dianciganyingqiangduyibanyechengweiciganyingqiangdu。youyuzaizhenkongzhongciganyingqiangduyucichangqiangduzaishuzhishangwanquanxiangdeng,yinci,ciganyingqiangduzaizhenkongzhongdedingyiyucichangqiangduzaizhenkongzhongdedingyishiwanquanxiangtongde。suobutongdeshicichangqiangduH與介質的屬性無關,而磁感應強度B卻與介質的屬性有關。
但很多書上都用上麵定義磁場強度的方法來定義電磁感應強度,這是很不合理的;因(yin)為(wei),電(dian)磁(ci)感(gan)應(ying)強(qiang)度(du)與(yu)介(jie)質(zhi)的(de)屬(shu)性(xing)有(you)關(guan),那(na)麼(me),比(bi)如(ru)在(zai)固(gu)體(ti)介(jie)質(zhi)中(zhong),人(ren)們(men)就(jiu)很(hen)難(nan)用(yong)通(tong)電(dian)直(zhi)導(dao)線(xian)的(de)方(fang)法(fa)來(lai)測(ce)量(liang)通(tong)電(dian)直(zhi)導(dao)線(xian)在(zai)磁(ci)場(chang)中(zhong)所(suo)受(shou)的(de)力(li),既(ji)然(ran)不(bu)能(neng)測(ce)量(liang),就(jiu)不(bu)應(ying)該(gai)假(jia)設(she)它(ta)所(suo)受(shou)的(de)力(li)與(yu)介(jie)質(zhi)的(de)屬(shu)性(xing)有(you)關(guan)。其(qi)實(shi)介(jie)質(zhi)的(de)導(dao)磁(ci)率(lv)也(ye)不(bu)是(shi)通(tong)過(guo)作(zuo)用(yong)力(li)來(lai)測(ce)量(liang)的(de),而(er)是(shi)通(tong)過(guo)電(dian)磁(ci)感(gan)應(ying)的(de)方(fang)法(fa)來(lai)測(ce)量(liang)的(de)。
電磁感應強度一般簡稱為磁感應強度。[page]
磁場強度H和磁感應強度B由下麵公式表示:

(2-1)式中磁場強度H的單位為奧斯特(Oe),力F的單位為牛頓(N),電流I的單位為安培(A),導線長度的單位為米(m)。(2-2)式中,磁感應強度B的單位為特斯拉(T), 為導磁率,單位為亨/米(H/m),在真空中的導磁率記為 , = 1。由於特斯拉的單位太大,人們經常使用高斯(Gs)作為磁感應強度B的單位。1特斯拉等於10000高(1T=104Gs)。
由於磁現象可以形象地用磁力線來表示,故磁感應強度B又可定義為磁力線通量的密度,即:單位麵積內的磁力線通量。磁力線通量密度可簡稱為磁通密度,因此,電磁感應強度又可以表示為:

(2-3)式中,磁通密度B的單位為特斯拉(T),磁通量的單位為韋伯(Wb),麵積的單位為平方米(m2)。如果磁通密度B用高斯(Gs)為單位,則磁通量的單位為麥克斯韋(Mx),麵積的單位為平方厘米(cm2)。其中,1特斯拉等於10000高斯(1T = 104Gs),1韋伯等於10000麥克斯韋(1Wb = 104Mx)。
電磁感應強度除了可以稱為磁感應強度、磁通密度外,很多人還把它稱為磁感密度。至此,已經說明,電磁感應強度B、磁感應強度B、磁通密度B、磁感應密度B等,在概念上是完全可以通用的。
順便說明,在其它書上有人把磁感應強度B的定義為:B = (H+M),其中H和M分別是磁化強度和磁場強度,而 是真空導磁率。為了簡單,我們不準備引入太多的其它概念,如有特別需要,可通過(2-2)式的定義來與其它概念進行轉換。
zhelihaixuyaoqiangtiaozhichu,yonglaidaibiaojiezhishuxingdedaocilvbingbushiyigechangshu,ershiyigefeixianxinghanshu,tabudanyujiezhiyijicichangqiangduyouguan,erqieyuwenduhaiyouguan。yinci,daocilvsuodingyidebingbushiyigejiandandexishu,ershirenmenzhengzailiyongtalaiyangaizhurenleizhijinhaimeiyouwanquanjieshide,cichangqiangduyudianciganyingqiangduzhijiandeneizaiguanxi。buguoweilejiandan,dangwomenduicichangqiangduyudianciganyingqiangdujinxingfenxideshihou,haishikeyibadaocilvdangchengyigechangshulaikandai,huozhequtadepingjunzhihuoyouxiaozhilaijinxingjisuan。[page]
開關變壓器一般都是工作於開關狀態;當輸入電壓為直流脈衝電壓時,稱為單極性脈衝輸入,如單激式變壓器開關電源;當輸入電壓為交流脈衝電壓時,稱為雙極性脈衝輸入,如雙激式變壓器開關電源;因此,開關變壓器也可以稱為脈衝變壓器,因為其輸入電壓是一序列脈衝;不過要真正較量起來的時候,開關變壓器與脈衝變壓器在工作原理上還是有區別的,因為開關變壓器還分正、反激輸出,這一點後麵還將詳細說明。
設開關變壓器鐵芯的截麵為S,當幅度為U、寬度為τ的矩形脈衝電壓施加到開關變壓器的初級線圈上時,在開關變壓器的初級線圈中就有勵磁電流流過;同時,在開關變壓器的鐵芯中就會產生磁場,變壓器的鐵芯就會被磁化,在磁場強度為H的磁場作用下又會產生磁通密度為B的磁力線通量,簡稱磁通,用“
根據法拉第電磁感應定理,電感線圈中的磁場或磁通密度發生變化時,將在線圈中產生感應電動勢;線圈中感應電動勢為:

式中,N為開關變壓器的初級線圈的匝數; 為變壓器鐵芯的磁通量;B為變壓器鐵芯的磁感應強度或磁通密度平均值。
zheliyinjincitongmidupingjunzhidegainian,shiyinweibianyaqitiexinzhongdecitongbingbushijunyunfenbu,citongmiduyutiexinhuotiexinjiemianshangdecitongshijifenbuyouguan。yinci,zaifenxizhurubianyaqidemouxiehongguantexingdeshihou,youshixuyaoshiyongpingjunzhidegainian,yibianchuliwentijiandan。
從(2-4)式可知,磁通密度的變化以等速變化進行,即:

假定磁通密度的初始值為B(0) = Bo(取t = 0),當t > 0時,磁通密度以線性規律增長,磁通密度以線性規律增長,即:

當t = τ時,即時間達到脈衝的後沿時,磁通密度達到最大值Bm = B(τ)。磁通密度增量(磁通密度初始值和最終值之差)∆B = B(τ)-B(0) = Bm-Bo 。[page]
當輸入電壓是一序列單極性矩形脈衝時,根據電磁感應定律,在變壓器鐵芯中將產生一個磁通密度增量與之對應,即:

如果能忽略渦流影響,則磁場強度H的平均值取決於導磁體材料的性質。變壓器初級線圈內的磁化電流的增長與H成正比。在特性曲線的直線段內磁場強度H、磁化電流 和磁通密度B都以線性變化。
脈衝電壓作用結束後( t > τ ),變bian壓ya器qi中zhong的de磁ci化hua電dian流liu將jiang按an變bian壓ya器qi的de輸shu出chu電dian路lu特te性xing,即ji電dian路lu參can數shu確que定ding的de規gui律lv下xia降jiang,變bian壓ya器qi鐵tie芯xin內nei的de磁ci場chang強qiang度du和he磁ci通tong密mi度du也ye相xiang減jian弱ruo,此ci時shi變bian壓ya器qi線xian圈quan內nei產chan生sheng反fan極ji性xing電dian壓ya,即ji反fan電dian動dong勢shi。變bian壓ya器qi的de輸shu出chu電dian路lu特te性xing實shi際ji上shang就jiu是shi第di一yi章zhang中zhong已yi經jing詳xiang細xi介jie紹shao過guo的de正zheng、反激電壓輸出電路特性。
上麵分析雖然都是以單極性脈衝輸入為例,但對雙極性脈衝輸入同樣有效;在方法上,隻須把雙極性脈衝輸入看成是兩個單極性脈衝分別輸入即可。
開kai關guan電dian源yuan變bian壓ya器qi分fen單dan激ji式shi開kai關guan電dian源yuan變bian壓ya器qi和he雙shuang激ji式shi開kai關guan電dian源yuan變bian壓ya器qi,兩liang種zhong開kai關guan電dian源yuan變bian壓ya器qi的de工gong作zuo原yuan理li和he結jie構gou並bing不bu是shi完wan全quan一yi樣yang的de。單dan激ji式shi開kai關guan電dian源yuan變bian壓ya器qi的de輸shu入ru電dian壓ya是shi單dan極ji性xing脈mai衝chong,並bing且qie還hai分fen正zheng反fan激ji電dian壓ya輸shu出chu;而雙激式開關電源變壓器的輸入電壓是雙極性脈衝,一般是雙極性脈衝電壓輸出。
另外,為了防止磁飽和,在單激式開關電源變壓器的鐵芯中一般都要留氣隙;而雙激式開關電源變壓器的鐵芯磁通密度變化範圍相對來說比較大,一般不容易出現磁飽和現象,因此,一般都不用留氣隙。
單激式開關電源變壓器還分正激式和反激式兩種,對兩種開關電源變壓器的技術參數要求也不一樣;對正激式開關電源變壓器的初級電感量要求比較大,而對反激式開關電源變壓器初級電感量的要求,其大小卻與輸出功率有關。
shuangjishikaiguandianyuanbianyaqitiexindecizhisunhaobijiaoda,erdanjishikaiguandianyuanbianyaqitiexindecizhisunhaoquebijiaoxiao。zhexiecanshujibenshangdouyubianyaqitiexindecihuaquxianyouguan。
曆史趣聞:
磁感應強度與磁場強度的概念一直以來都比較混亂,這是因為曆史的原因。1900年,國際電學家大會讚同美國電氣工程師協會(AIEE)的提案,決定CGSM製磁場強度的單位名稱為高斯,這實際上是一場誤會。AIEE原來的提案是把高斯作為磁通密度B的單位,由於翻譯成法文時誤譯為磁場強度,造成了混淆。當時的CGSM製和高斯單位製中真空磁導率是無量綱的純數1,所以,真空中的B和H沒有什麼區別,致使一度B和H都用同一個單位——高斯。
1930年7月,國際電工委員會才在廣泛討論的基礎上作出決定:真空磁導率有量綱,B和H性質不同,B和D對應,H和E對應,在CGSM單位製中以高斯作為B的單位,以奧斯特作為H的單位。
直至1960年第十一屆國際計量大會決定:將六個基本單位為基礎的單位製,即米、千克、秒、安培、開爾文和坎德拉,命名為國際單位製,並以SI(法文Le System International el"Unites的縮寫)表示,磁感應強度與磁場強度的概念才基本得到統一。
由於曆史的原因,在電磁單位製中還經常使用兩種單位製,一種是SI國際單位製,另一種CGSM(厘米、克、秒)絕對單位製;兩個單位的主要區別是,在CGSM單位製中真空導磁率
特別推薦
- 噪聲中提取真值!瑞盟科技推出MSA2240電流檢測芯片賦能多元高端測量場景
- 10MHz高頻運行!氮矽科技發布集成驅動GaN芯片,助力電源能效再攀新高
- 失真度僅0.002%!力芯微推出超低內阻、超低失真4PST模擬開關
- 一“芯”雙電!聖邦微電子發布雙輸出電源芯片,簡化AFE與音頻設計
- 一機適配萬端:金升陽推出1200W可編程電源,賦能高端裝備製造
技術文章更多>>
- 一秒檢測,成本降至萬分之一,光引科技把幾十萬的台式光譜儀“搬”到了手腕上
- AI服務器電源機櫃Power Rack HVDC MW級測試方案
- 突破工藝邊界,奎芯科技LPDDR5X IP矽驗證通過,速率達9600Mbps
- 通過直接、準確、自動測量超低範圍的氯殘留來推動反滲透膜保護
- 從技術研發到規模量產:恩智浦第三代成像雷達平台,賦能下一代自動駕駛!
技術白皮書下載更多>>
- 車規與基於V2X的車輛協同主動避撞技術展望
- 數字隔離助力新能源汽車安全隔離的新挑戰
- 汽車模塊拋負載的解決方案
- 車用連接器的安全創新應用
- Melexis Actuators Business Unit
- Position / Current Sensors - Triaxis Hall
熱門搜索



