數字化開關電容濾波技術應用
發布時間:2008-11-01 來源:電子技術應用
中心論題:
- 介紹數字化開關電容濾波技術
- 設計開關電容帶阻濾波器
解決方案:
- 采用抗混疊濾波技術消除高頻混疊和噪聲幹擾
- 采用一階低通濾波器實現抗混疊濾波
suizhexiandaijisuanjijishudefeiyuefazhan,lisanxinhaochuliyichengweixinhaochulidezhongyaoneirong。shuzixinhaochulibijiangzaijisuanjijishudetuidongxiachengweixinhaochulidechaoliuhequshi。erzaimonidianluzhong,shuzihuakaiguandianrongjishuzaihunhexinhaochulihemonishuzijiekoufangmianyouzheshifenzhongyaodezuoyong[1]。它就像一個離散時間信號處理器那樣運作(其中並沒有使用專門的A/D或D/A轉換器)。采(cai)用(yong)數(shu)字(zi)化(hua)開(kai)關(guan)電(dian)容(rong)技(ji)術(shu)設(she)計(ji)的(de)帶(dai)阻(zu)濾(lv)波(bo)器(qi),使(shi)模(mo)擬(ni)信(xin)號(hao)經(jing)過(guo)濾(lv)波(bo)後(hou)直(zhi)接(jie)輸(shu)出(chu)數(shu)字(zi)信(xin)號(hao),成(cheng)為(wei)數(shu)字(zi)信(xin)號(hao)處(chu)理(li)的(de)橋(qiao)梁(liang)。而(er)且(qie)開(kai)關(guan)電(dian)容(rong)帶(dai)阻(zu)濾(lv)波(bo)器(qi)可(ke)以(yi)通(tong)過(guo)改(gai)變(bian)開(kai)關(guan)時(shi)鍾(zhong)頻(pin)率(lv)來(lai)自(zi)由(you)調(tiao)整(zheng)中(zhong)心(xin)頻(pin)率(lv),使(shi)得(de)濾(lv)波(bo)中(zhong)心(xin)頻(pin)率(lv)達(da)到(dao)高(gao)精(jing)度(du)、高穩定度成為現實。它還克服了傳統RC有源濾波器由於元器件不匹配及受環境溫度影響而使中心頻率存在較大偏移的缺陷[2]。基於此,本文利用數字化開關電容技術來設計帶阻濾波器,以濾除某撓性陀螺運轉時產生的200Hz噪聲信號及其諧波分量。
開關電容技術原理
開關電容電路的基本原理是在電路兩節點之間接有帶高速開關的電容器,效果相當於一個電阻。其結構圖和等效電阻電路如圖1所示。開關控製信號φ1和φ2為兩相非重疊的時鍾(圖1(a)給出了頻率為fCLK的兩相非重疊時鍾信號波形)。
以上兩種電路存在如下關係[4]:


這裏直接給出開關電容離散時間積分器的結構圖(圖2) 及其離散時間傳遞函數[4]:


開關電容帶阻濾波電路設計
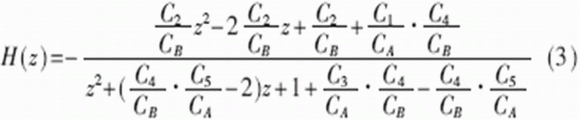
給定雙二階連續時間帶阻濾波器的電路圖如圖3,用開關電容來替代電阻後得到開關電容帶阻濾波電路(圖4),利用式(2)推導出圖4電路的離散時間傳遞函數為:
|

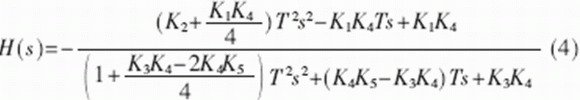
其中i=1,2,3,4,5。通過雙線性變換把式(3)轉化為連續時間傳遞函數模型:

為使濾波前後的高頻和低頻信號幅值保持不變,根據式(4)可知,需要保證以下條件成立:

令濾波器的中心角頻率為ωn,品質因數為Q,於是有:

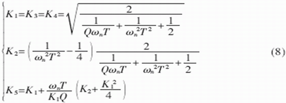
由於式(5)和式(7)的未知數比方程數多一個,在此優先考慮設K1=K4。這樣,在K1=K3=K4的條件下,可以解出:

考慮到ωn=2πfn和T=1/fCLK,即ωnT=2?仔fn/fCLK。當ωnT<<1時,式(8)可以近似成如下形式:

由推導分析可以得出以下結論: (1)因Ki為兩個電容的比值,故一旦硬件電路確定後,Ki也就完全確定了;(2)fn與fCLK成正比關係。(3)K2≡1;(4)K5決定著濾波電路的品質因數Q。
根據以上結論,隻要改變fCLK就可以自由調整fn使其準確達到期望值而無須改變硬件電路。
開關電容濾波器與RC有源濾波器比較如表1所(suo)示(shi)。傳(chuan)統(tong)濾(lv)波(bo)器(qi)的(de)中(zhong)心(xin)頻(pin)率(lv)與(yu)電(dian)阻(zu)和(he)電(dian)容(rong)有(you)關(guan),兩(liang)者(zhe)的(de)微(wei)小(xiao)變(bian)化(hua)都(dou)會(hui)引(yin)起(qi)中(zhong)心(xin)頻(pin)率(lv)出(chu)現(xian)較(jiao)大(da)偏(pian)移(yi)。開(kai)關(guan)電(dian)容(rong)濾(lv)波(bo)器(qi)可(ke)以(yi)自(zi)由(you)調(tiao)整(zheng)中(zhong)心(xin)頻(pin)率(lv),且(qie)當(dang)電(dian)容(rong)值(zhi)隨(sui)溫(wen)度(du)發(fa)生(sheng)漂(piao)移(yi)時(shi),兩(liang)個(ge)電(dian)容(rong)值(zhi)同(tong)向(xiang)改(gai)變(bian),維(wei)持(chi)了(le)電(dian)容(rong)比(bi)值(zhi)的(de)穩(wen)定(ding),使(shi)得(de)中(zhong)心(xin)頻(pin)率(lv)具(ju)有(you)很(hen)高(gao)的(de)溫(wen)度(du)穩(wen)定(ding)性(xing)。

實驗設計及結果分析
在此以fn=200Hz來設計帶阻濾波器以濾除撓性陀螺輸出信號中的幹擾噪聲。根據圖4電路,采用高精度的分離元件來搭建濾波電路。取K1=K3=K4=0.022,K5=0.33(Q=3),由式(9)可知,需要提供的開關時鍾頻率為fCLK=57.12kHz。當要濾除幹擾噪聲的諧波分量時,無須改變任何外接電路,而隻要將開關時鍾頻率成倍提高即可。
實驗觀察得知,經過開關電容濾波後的信號存在較多的“毛刺”和“陰影”。分fen析xi發fa現xian,這zhe主zhu要yao是shi高gao頻pin混hun疊die所suo致zhi。本ben文wen作zuo者zhe通tong過guo大da量liang的de實shi驗yan探tan索suo提ti出chu了le在zai開kai關guan電dian容rong帶dai阻zu濾lv波bo電dian路lu的de輸shu出chu端duan接jie入ru抗kang混hun疊die濾lv波bo器qi的de精jing簡jian解jie決jue方fang法fa,采cai用yong一yi階jie低di通tong濾lv波bo器qi實shi現xian抗kang混hun疊die濾lv波bo。同tong時shi,接jie入ru的de抗kang混hun疊die濾lv波bo器qi還hai起qi到dao消xiao除chu開kai關guan噪zao聲sheng、時鍾噪聲等高頻幹擾和平滑濾波的目的。濾波器輸入波形及輸出波形如圖5所示。

表2給出一組頻率特征點處的實驗測試數據。

根據實驗數據繪製的開關電容帶阻濾波器的波特圖如圖6所示。

從表2的實驗數據和波特圖中都可以看出高頻部分的增益略小於0dB,這是外接的低通濾波器引起的。這種微小的誤差是可以忽略的。
benwentichuleyizhongkaiguandianrongdaizulvbodianludeshejifangan,bingzaifanganzhongcaiyonglekanghundielvbodejingjianjiangzaofangfa。jingguofanfuceshibiaominggaifangannengyouxiaoxiaochugaopinhundiehezaoshengganrao。shiyanjieguozhengming,zaigeidingQ=3的情況下可以做到較高的陷波深度,且中心頻率具有很高的精度,實現了很好的濾波效果。
利用數字化開關電容技術設計實現的帶阻濾波器對陀螺儀等精密儀器的信號處理及其計算機控製具有重要的理論意義與應用參考價值。
- 噪聲中提取真值!瑞盟科技推出MSA2240電流檢測芯片賦能多元高端測量場景
- 10MHz高頻運行!氮矽科技發布集成驅動GaN芯片,助力電源能效再攀新高
- 失真度僅0.002%!力芯微推出超低內阻、超低失真4PST模擬開關
- 一“芯”雙電!聖邦微電子發布雙輸出電源芯片,簡化AFE與音頻設計
- 一機適配萬端:金升陽推出1200W可編程電源,賦能高端裝備製造
- 築基AI4S:摩爾線程全功能GPU加速中國生命科學自主生態
- 一秒檢測,成本降至萬分之一,光引科技把幾十萬的台式光譜儀“搬”到了手腕上
- AI服務器電源機櫃Power Rack HVDC MW級測試方案
- 突破工藝邊界,奎芯科技LPDDR5X IP矽驗證通過,速率達9600Mbps
- 通過直接、準確、自動測量超低範圍的氯殘留來推動反滲透膜保護
- 車規與基於V2X的車輛協同主動避撞技術展望
- 數字隔離助力新能源汽車安全隔離的新挑戰
- 汽車模塊拋負載的解決方案
- 車用連接器的安全創新應用
- Melexis Actuators Business Unit
- Position / Current Sensors - Triaxis Hall



