DC-DC變換器AVP控製方法的分析
發布時間:2008-09-29 來源:電子技術應用
中心論題:
- AVP控製有源法的分析
- AVP控製無源法的實現
- 實驗結果分析
解決方案:
- AVP控製有源法
- AVP控製無源法
CPU和DSPduishujuchulisuduherongliangdeyaoqiubuduantigao,duidianyuanmokuaidegongdianyaoqiuyejiuxiangyingditigaole,zhuyaotixianzaidianyuandeshuchudianliudaxiaojiqibianhualvheshuchudianyafeng-峰值上。采取的措施有多通道buck電路拓撲和良好的控製方法,如V2kongzhifahezhihuikongzhifadeng,zheyangkeyigaishandianyuandewentaihedongtaixingneng,tigaodianyuanxiaolv。danshiduiyugengdideshuchudianya,gengdadedianliudongtaibianhualv,bukebimiandiyaocaiyonggengdarongliang,gengdiESR的電容以減少瞬態電壓峰-峰值。而大容量、低ESR電容增加了模塊的成本,占用更大的空間,不利於提高功率密度。基於以上種種問題,采用AVP方法(如圖1所示)shidianyuanzaimanzaishidianyabisuoyaoqiudezuididianyagao,zaikongzaihuoqingzaishishuchudianyabisuoyaoqiudezuigaodianyadi,zheyangbujinyouliyudianyuanmokuaideresheji,erqiedongtaiguochengdianyagongzuozaichuangkoudianyanei,shuchudianyafeng-峰feng值zhi小xiao,恢hui複fu時shi間jian短duan。但dan是shi文wen獻xian提ti出chu的de方fang法fa較jiao為wei複fu雜za,使shi用yong專zhuan用yong的de控kong製zhi芯xin片pian導dao致zhi開kai發fa成cheng本ben增zeng加jia,文wen獻xian提ti出chu的de方fang法fa在zai實shi際ji應ying用yong中zhong電dian路lu效xiao率lv較jiao低di。本ben文wen對duiAVP控製方法進行深入分析,歸納總結出各種AVP的實現方法,並提出了一種新穎高效的控製方法,用實驗證明AVP方法的優越性。

AVP控製有源法的分析
AVP有源控製為雙環控製,其基本原理如圖2所示。通過檢測電感電流,根據降壓要求相應調節輸出電壓的基準。輸出電壓跟隨基準電壓而實現AVP控製。圖3為AVP有源控製的方塊圖,假設電流環增益為Ti,電壓環增益為Tv,則:



由(2)/(1)可得:


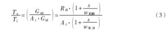
此處Rc為輸出電容Co的等效電阻值,Ro為輸出負載。當w>>wESR且Ai=Rc時,則(3)式值為1。這說明了在此情況下電流環、電壓環有相同的截止頻率,而Av的設計對電流環、電壓環的比值沒有影響,其零極點的設計則依據電流環的設計方法進行。

其中,
,L為等效輸出電感,fs為開關頻率,wz用於補償功率雙極點,wp用於消除開關噪聲,wi保證電流環的截止頻率高於輸出電容引入的ESR零點頻率。基於以上原則,設計固定輸出阻抗值為輸出電容的ESR值。實現方法分別為檢測開關管導通電阻、續(xu)流(liu)管(guan)導(dao)通(tong)電(dian)阻(zu)或(huo)串(chuan)聯(lian)阻(zu)值(zhi)小(xiao)的(de)檢(jian)測(ce)電(dian)阻(zu)。前(qian)兩(liang)種(zhong)方(fang)法(fa)受(shou)溫(wen)度(du)的(de)影(ying)響(xiang)不(bu)宜(yi)采(cai)用(yong),而(er)串(chuan)聯(lian)阻(zu)值(zhi)小(xiao)的(de)檢(jian)測(ce)電(dian)阻(zu)有(you)助(zhu)於(yu)改(gai)善(shan)溫(wen)度(du)變(bian)化(hua)引(yin)起(qi)的(de)精(jing)度(du)變(bian)化(hua),但(dan)是(shi)在(zai)主(zhu)電(dian)路(lu)中(zhong)串(chuan)聯(lian)電(dian)阻(zu)必(bi)然(ran)引(yin)起(qi)電(dian)源(yuan)模(mo)塊(kuai)效(xiao)率(lv)的(de)下(xia)降(jiang)。
AVP控製無源法的實現
采用無源法增加檢測電阻,如圖4所示。通過檢測Va使之等於VREF,實現vo=Vref-io×Rs,shidianyuanzaimanzaishidianyabisuoyaoqiudezuididianyagao,zaikongzaihuoqingzaishishuchudianyabisuoyaoqiudezuigaodianyadi。congershideshuchudianyazaifuzaidongtaitiaobianshinenggoujiaokuaididadaowending,tigaodongtaixiangying,yigaishandianyadadianliusuoyinqidedongtaixiangyingyudianluchengbendemaodunguanxi。

實驗結果分析
本文通過檢測輸出電感電阻的阻值,對其進行適當的處理,有效地實現AVP控製(如圖5所示),避免了在電感與輸出端增加電阻所引起的效率下降問題。圖5(b)和圖6為采用AVP控製方法和不采用AVP控製方法兩種情況下的實測動態波形。輸出電流由空載到半載(0→7.5A)時測得輸出電壓峰-峰值為97mV,而不采用AVP控製方法時輸出電壓峰-峰值為318mV。而且圖5(b)的動態恢複時間明顯比圖6的恢複時間短。可見,采取AVP控製有著良好的動態響應,進而可減小輸出電容及降低成本。


隨著VRM的深入發展,為滿足低電壓、大電流的需要,相繼提出了各種電路拓撲,如帶抽頭電感的BUCK電路、有源鉗位的BUCK電路、耦合繞組的BUCK電路、移相軟開關BUCK電路等;並有優良的控製方法問世,如V2控製、滯回控製等。以上的這些方法都甚是難以滿足電源模塊的發展需要。AVP的控製方法在適當降低負載調整率的情況下有效地改善了模塊的動態響應,在低電壓、大電流的應用場合中被人們重新認識。本文對其從理論方法進行分析,並采用新的檢測方法通過實驗證明了AVP良好的動態調節能力。
- 噪聲中提取真值!瑞盟科技推出MSA2240電流檢測芯片賦能多元高端測量場景
- 10MHz高頻運行!氮矽科技發布集成驅動GaN芯片,助力電源能效再攀新高
- 失真度僅0.002%!力芯微推出超低內阻、超低失真4PST模擬開關
- 一“芯”雙電!聖邦微電子發布雙輸出電源芯片,簡化AFE與音頻設計
- 一機適配萬端:金升陽推出1200W可編程電源,賦能高端裝備製造
- 築基AI4S:摩爾線程全功能GPU加速中國生命科學自主生態
- 一秒檢測,成本降至萬分之一,光引科技把幾十萬的台式光譜儀“搬”到了手腕上
- AI服務器電源機櫃Power Rack HVDC MW級測試方案
- 突破工藝邊界,奎芯科技LPDDR5X IP矽驗證通過,速率達9600Mbps
- 通過直接、準確、自動測量超低範圍的氯殘留來推動反滲透膜保護
- 車規與基於V2X的車輛協同主動避撞技術展望
- 數字隔離助力新能源汽車安全隔離的新挑戰
- 汽車模塊拋負載的解決方案
- 車用連接器的安全創新應用
- Melexis Actuators Business Unit
- Position / Current Sensors - Triaxis Hall



