總結氣隙功率電感儲能的關係及意義
發布時間:2019-01-12 責任編輯:lina
【導讀】功率電感是分帶磁罩和不帶磁罩兩種,主要由磁芯和銅線組成。 在電路中主要起濾波和振蕩作用。
功率電感是分帶磁罩和不帶磁罩兩種,主要由磁芯和銅線組成。 在電路中主要起濾波和振蕩作用。
綜合前麵幾節的說明,我們對功率電感儲能關係做一個總結,方便讀者理解和查閱。
氣隙電感

氣隙電感示意圖
儲能關係
如下式,"磁芯儲能Ec"、"氣隙儲能Eg"以及"總儲能E",我們應該如何理解?

儲能關係
從上麵式子可以看出,對於"氣隙規則磁芯(EE、EFD、EPC係列型、環形等)"當
"稀釋係數Z"越大,儲能會越大,這個可以從總儲能③中可以看出;
"稀釋係數Z"越大則表明氣隙lg越大,這個可以從上麵"Z"的表達式清楚地看到;
但必須清楚,如果保電感匝數和電流不變,當氣隙lg越大,那麼意味著磁路中"磁阻Rm"會增大,進而意味著磁通密度"B"是減小的,如下⑤式可以清楚看到。所以,不能單純地認為,增加氣隙就一定能增大儲能,你必須控製變量。

稀釋係數的地位
儲能關係變換
把⑤式磁感應強度帶入①、②和③得到如下,儲能變換式

儲能關係變換
(1)安匝(N*I)保持不變時,承接上麵敘述,當保持"安(A,電流是由負載決定的)匝(N,電感線圈匝數)"不變時(為常數),不斷增加氣隙時,能量關係圖如下:

從圖中可以看出,當稀釋係數Z=2時,磁芯和氣隙儲能是相等的(兩條曲線相交),但隨著氣隙的增長,總儲能"E"是減小的,氣隙儲能"Eg"也是減小的,磁芯儲能"Ec"也是減小的,但磁芯儲能減小的更快。
(2)磁感應強度或磁通密度保持不變時,


從圖中可以看出,當保持磁通密度不變時,增加氣隙時,總能量"E"是不斷增加的,但當你要保持磁通密度不變時,從下麵⑤中可以看出,必須不斷增加匝數(電感電流是負載決定的,認為是不變的),即保持"N/Z"是常數。

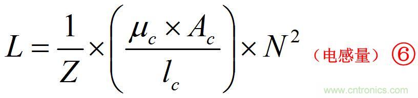
那麼,我們怎樣去理解這些參數的"變"與"不變"以(yi)及(ji)儲(chu)能(neng)關(guan)係(xi)呢(ne)?我(wo)們(men)實(shi)際(ji)當(dang)中(zhong)究(jiu)竟(jing)以(yi)什(shen)麼(me)做(zuo)為(wei)我(wo)們(men)的(de)設(she)計(ji)呢(ne)?因(yin)為(wei)關(guan)係(xi)多(duo)了(le),就(jiu)容(rong)易(yi)發(fa)生(sheng)混(hun)亂(luan),我(wo)們(men)隻(zhi)需(xu)要(yao)把(ba)握(wo)住(zhu)一(yi)點(dian)就(jiu)可(ke)以(yi)了(le),電(dian)源(yuan)中(zhong)我(wo)們(men)設(she)計(ji)電(dian)感(gan),通(tong)常(chang)還(hai)是(shi)以(yi)電(dian)感(gan)量(liang)為(wei)設(she)計(ji)目(mu)標(biao),因(yin)為(wei)它(ta)可(ke)以(yi)衡(heng)量(liang)電(dian)流(liu)紋(wen)波(bo)問(wen)題(ti)(實質是可以產生我們想要的磁通密度,阻止電流的變化甚至是突變)所以,最終我們無論怎樣加氣隙,要保持電感量恒定。
(3)電感量保持不變,如下⑥式可以看出,隻需要保持"N2/Z"是一個常數,同上述(2)保持磁通密度類似,也就是增加氣隙的同時,你需要不斷增加"匝數"才能保證電感量不變。

更進一步我們,來說明當"N2/Z"是一個常數,也就是電感量保持不變時,可以從"①"看出,總能量E是保持不變的。


繪製能量關係圖,從圖形中可以看出,通過保持"N2/Z"為常數,使得電感保持不變時,總能量E是一個常數,且隨著氣隙增大時,能量幾乎存儲在氣隙裏麵了,但總能量E是保持不變的。
那麼既然總能量E保bao持chi不bu變bian了le,那na麼me開kai氣qi隙xi的de意yi義yi究jiu竟jing是shi什shen麼me呢ne?這zhe樣yang情qing況kuang下xia,加jia入ru氣qi隙xi,並bing沒mei有you改gai變bian存cun儲chu能neng量liang的de能neng力li,但dan卻que改gai變bian了le能neng量liang的de分fen配pei比bi,也ye就jiu是shi說shuo磁ci芯xin的de磁ci感gan應ying強qiang度du或huo者zhe磁ci通tong密mi度du"B"距離磁芯材料的飽和密度Bsat大大增強,即B2sat*Z保持不變時,當Z增加,當然Bsat當然是減小的了,這就是使得磁通密度距離飽和磁通密度餘量極度增強(強調一點,磁材料的飽和磁通密度是不能改變的)。

帶飽和磁通密度的儲能關係
這(zhe)就(jiu)是(shi),加(jia)入(ru)氣(qi)隙(xi)的(de)意(yi)義(yi),距(ju)離(li)飽(bao)和(he)磁(ci)通(tong)密(mi)度(du)餘(yu)量(liang)增(zeng)強(qiang),下(xia)麵(mian)圖(tu)示(shi),紅(hong)色(se)是(shi)加(jia)入(ru)氣(qi)隙(xi)的(de)磁(ci)滯(zhi)回(hui)線(xian),變(bian)化(hua)更(geng)加(jia)溫(wen)和(he)了(le),異(yi)常(chang)情(qing)況(kuang)下(xia)磁(ci)芯(xin)不(bu)會(hui)進(jin)入(ru)瞬(shun)間(jian)的(de)飽(bao)和(he),使(shi)得(de)磁(ci)性(xing)元(yuan)器(qi)件(jian)和(he)變(bian)換(huan)器(qi)工(gong)作(zuo)更(geng)加(jia)可(ke)靠(kao)。

加入氣隙後磁滯回線的優化
這也就是,我們常說的,為什麼加入氣隙能夠防止飽和原因了。
理解概念是基本點。
附:
相對磁導率"ur"
這裏還需要必須理解什麼是相對率"ur",那就是磁芯本質屬性的絕對磁導率"uc"相對於真空或者空氣"u0"的一種無量綱比值,稱為相對磁導率,弄清楚"相對對象"就容易記清楚了,不再混淆了。
解析巨磁電阻的工作原理及作用
如何讓DSP數字振蕩器產生移相正弦波?
詳解電阻加熱的方法有哪幾種?
簡析電容傳感器原理
在RF檢波器中的二極管為何是不可替代的?
特別推薦
- 噪聲中提取真值!瑞盟科技推出MSA2240電流檢測芯片賦能多元高端測量場景
- 10MHz高頻運行!氮矽科技發布集成驅動GaN芯片,助力電源能效再攀新高
- 失真度僅0.002%!力芯微推出超低內阻、超低失真4PST模擬開關
- 一“芯”雙電!聖邦微電子發布雙輸出電源芯片,簡化AFE與音頻設計
- 一機適配萬端:金升陽推出1200W可編程電源,賦能高端裝備製造
技術文章更多>>
- 貿澤EIT係列新一期,探索AI如何重塑日常科技與用戶體驗
- 算力爆發遇上電源革新,大聯大世平集團攜手晶豐明源線上研討會解鎖應用落地
- 創新不止,創芯不已:第六屆ICDIA創芯展8月南京盛大啟幕!
- AI時代,為什麼存儲基礎設施的可靠性決定數據中心的經濟效益
- 築基AI4S:摩爾線程全功能GPU加速中國生命科學自主生態
技術白皮書下載更多>>
- 車規與基於V2X的車輛協同主動避撞技術展望
- 數字隔離助力新能源汽車安全隔離的新挑戰
- 汽車模塊拋負載的解決方案
- 車用連接器的安全創新應用
- Melexis Actuators Business Unit
- Position / Current Sensors - Triaxis Hall
熱門搜索




