滯環恒流LED驅動電路的電流采樣電路設計
發布時間:2012-02-28
中心議題:
- 采樣方式的分析與選擇
- 滯環控製原理分析
- 滯環恒流LED電流采樣電路設計
- 滯環恒流LED電流采樣電路仿真結果分析
針對滯環恒流大功率LED驅動芯片,本文提出一款高性能電流采樣電路。該電路采用高壓工藝,可承受最高達40 Vdeshurudianya。tongguofenxizhihuankongzhidetedian,caiyongchuanliandianzucaiyangjishu,jiehepipeidianliuyuanjiegou,zaibaozhengxiangyingsuduhecaiyangjingdudetongshi,jiangdiledianludefuzadu。dianluzhongjiarushurudianyabuchangdianlu,jinyibutigaolehengliukongzhidejingdu。zaiCadence下的仿真結果表明,電路可在800 kHz的頻率下正常工作,采樣精度達99.78%;當電壓從15V變化至35V時平均負載電流誤差為0.81%;輸出電壓範圍為0~5V.
當今照明領域,LED憑借其壽命長、功耗低、wuwurandengyoudianchengweiweilaifazhanqushi。raner,yaozhenduibutongdeyingyongchanghe,fenbieshejiyigedutedexinpian,muqianqingkuangshibukexingde。yinci,nenggoushidianyuanyufuzaixianghudulidedianyuanguanlixinpianbeiguangfanyingyong。zaizhexiexinpianzhong,wulunshidianyahaishidianliukongzhimoshi,douhuitongguojiancediangandianliujinxingguoliubaohu。zaidianliumoshizhong,caiyangdianliuhaibeiyongzuohuanlukongzhi。
本文提出的電流采樣技術用於一種滯環恒流控製大功率LED驅動電路中,除具有環路控製與過流保護的功能外,還具有電壓補償的功能及結構簡單的特點。
1 采樣方式的分析與選擇
1.1 現有采樣技術
表1中列出了現有的幾種電流檢測技術並列舉了其優缺點。

表1 現有采樣技術及其特點
1.2 滯環控製原理分析
圖1是滯環控製電路框圖。LED驅動電流的變化反映在Rsense兩端的壓差變化上。滯環電流控製模塊內設兩個電流閾值Imax和Imin,當電路接上電源時,功率管打開,電源通過Rsense、負載LED向電感L充電,驅動電流上升。當電流>Imax時,控製電路輸出低電平關閉功率開關管。此時電感通過負載LED、Rsense和肖特基二極管放電,電流下降。當驅動電流<Imin時,控製電路輸出高電平打開功率開關管,重複上一個周期的動作。通過這種方式控製電路將驅動電流限製在Imax與Imin之間周期性變化,使流過LED的平均驅動電流值恒定。

圖1 滯環控製電路框圖
可以看到,滯環控製電路使用的是串聯電阻采樣技術。從表1可知,串聯電阻技術的功耗很大,同樣具有高精度且無損耗的Sensfet似乎更勝一籌。不過,Sensfet技ji術shu隻zhi能neng檢jian測ce功gong率lv管guan打da開kai時shi的de電dian流liu變bian化hua情qing況kuang,而er無wu法fa檢jian測ce功gong率lv管guan關guan斷duan期qi間jian的de電dian流liu變bian化hua。因yin此ci無wu法fa在zai需xu要yao始shi終zhong對dui電dian流liu進jin行xing采cai樣yang檢jian測ce的de滯zhi環huan控kong製zhi電dian路lu中zhong使shi用yong。同tong時shi,由you於yu輸shu入ru電dian壓ya較jiao高gao,串chuan聯lian電dian阻zu所suo消xiao耗hao的de功gong率lv在zai整zheng個ge電dian路lu功gong率lv中zhong所suo占zhan比bi例li也ye降jiang低di了le。
[page]
2 電路設計
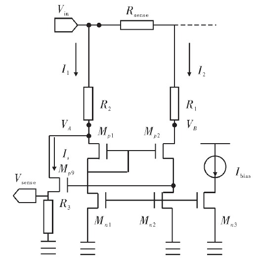
圖2是電路采樣電路結構圖。Rsense為采樣電阻,R1=R2=R;Mp1、Mp2、Mn1、Mn2組成的電壓鏡和Mp9反饋管組成匹配電流源作為電流檢測電路。其中Mp1與Mp2相互匹配並被偏置在飽和區,Mn1與Mn2是兩個相同且非常小的電流源,以保證流過Mp1與Mp2的電流相等從而使其具有相等的VSG。

圖2 電路采樣電路結構圖
由於Vin>Vcsn導致I1與I2不相等。采樣電流Is即為這部分"多餘"電流,大小為

式(1)中,實際流過Rsense的電流為IL+I2.因為I2的大小低於電感電流的10-4倍,其影響可以忽略不計。
[page]
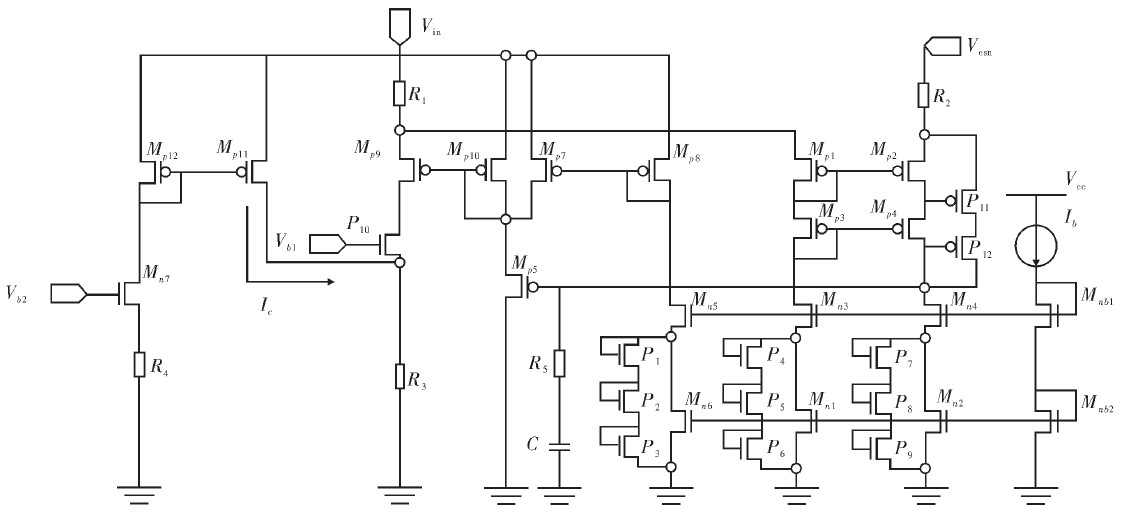
在實際電路中,VA對VB的匹配度直接影響采樣精度。圖3為簡化的小信號模型。圖4為實際電路圖。Vin與Vcsn為精確采樣電阻Rcsn兩端電壓,輸入範圍8~40 V;Vcc為芯片內部5 V穩定電源。

圖3 簡化的小信號模型

圖4 采樣電路的實際電路圖
應用KCL定理,得到

其中,ro4、ro3為 VB''''、VA''''處的等效輸出電阻。設 gm1ro3=gm2ro4=AV,且 Mp5為電流鏡,增益約為1,綜合式(3)到式(5):

δ是一個分子為
的微小值。由式(6)可以看出,當gm1ro2或gm2越大,VA與VB的匹配度越高,電流采樣越精確。值得注意的是,式中出現gm1ro3的平方項,這意味著可以用較小的增益達到高精度。但是,耐壓5 V的低壓管無法在高輸入電壓下正常工作,電路中必須使用大量耐壓40 V的高壓管。然而高壓管的增益與等效輸出電阻很低,無法滿足電流采樣電路的精度要求。
[page]
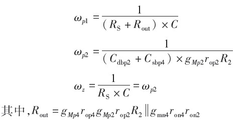
為使低壓管能在高壓輸入中也正常工作,電壓鏡采用了高低壓器件混用的共源共柵結構。Mp1、Mp2、Mn1和Mn2為低壓管;Mp3、Mp4、Mn3和Mn4為高壓管。一方麵,高壓管作為共源共柵器件增大了輸出電阻;另一方麵,它承受了大部分壓降,以保護低壓管不被擊穿。不過,共源共柵結構帶來另一個問題。串聯電阻R2令Mp2和Mp4之間的次極點更靠近原點,使係統變得不穩定。為消除該極點帶來的影響,在共源共柵結構的輸出端加入補償電阻R5和電容C,引入一個零點並使主極點更低。

高壓管Mp5~Mp10為匹配電流源的輸出級,主要起隔離緩衝的作用,電流鏡結構避免了增加新的極點。分流結構Mp7、Mp8將Mp5始終偏置在飽和區,從而允許流過Mp9與Mp10的電流最低降至0 A,使電路在空載時可以輸出地電壓,為芯片的進一步設計提供了方便。
P1~P12為保護管,防止低壓管因漏源或柵源電壓過高而被擊穿。
高壓管Mp11、Mp12、Mn7與R4構成了電壓補償電路。在前述的工作原理中,電路通過將電流限製在閾值Imax和Imin間周期變化達到恒流控製的目的。其中電源向電感的充、放(fang)電(dian)過(guo)程(cheng)中(zhong),充(chong)電(dian)速(su)率(lv)與(yu)輸(shu)入(ru)電(dian)壓(ya)成(cheng)正(zheng)比(bi),放(fang)電(dian)速(su)率(lv)和(he)芯(xin)片(pian)的(de)延(yan)遲(chi)則(ze)與(yu)輸(shu)入(ru)電(dian)壓(ya)無(wu)關(guan)。這(zhe)一(yi)差(cha)異(yi)導(dao)致(zhi)了(le)在(zai)輸(shu)入(ru)電(dian)壓(ya)變(bian)化(hua)時(shi),電(dian)流(liu)會(hui)因(yin)在(zai)固(gu)定(ding)的(de)延(yan)遲(chi)時(shi)間(jian)中(zhong)具(ju)有(you)不(bu)同(tong)的(de)上(shang)升(sheng)斜(xie)率(lv)和(he)相(xiang)同(tong)的(de)下(xia)降(jiang)斜(xie)率(lv),使(shi)實(shi)際(ji)電(dian)流(liu)峰(feng)值(zhi)I''''max升高,影響平均電流值。該補償電路通過將與輸入電壓成正比的電壓Vb2轉換為與輸入電壓成正比的電流Ic,使流過R3的采樣電流Isense對輸入電壓具有正相關性,從而在輸入電壓升高時令電流閾值Imax、Imin降低,抵消因電流上升斜率提高對平均電流帶來的影響。
3 仿真結果
為驗證文中提出的電流采樣電路的功能,結合滯環控製電路及外部負載在Cadence中進行了仿真。圖5為輸入電壓20 V時采樣電流、電壓與負載電流的關係。由圖可見,采樣電流與采樣電壓隨負載電流同相周期性變化,周期約為1.2μs.

圖5 采樣電流、電壓與負載電流的關係
經過測試,當負載電流從0.4 A變化至1 A時,電路采樣精度最低為99.78%,理想的工作電流為0.6~0.8 A,精度高達99.96%.
表2為不同輸入電壓下負載電流的峰-峰值。由表中數據計算,在輸入電壓由15V變化至35V的過程中,負載電流的最大誤差僅為0.81%.

表2 輸入電壓與平均負載電流
[page]
圖6為外接電流源在0~1.2 A之間跳變時采樣電路輸出電壓的波形。圖中輸出電壓範圍為0~5 V,為整顆芯片設計過流保護、開路保護等其他電路提供了方便。

圖6 輸出電壓與負載電流波形圖
4 結束語
本ben文wen設she計ji了le一yi款kuan適shi用yong於yu滯zhi環huan控kong製zhi結jie構gou的de電dian流liu采cai樣yang電dian路lu。使shi用yong匹pi配pei電dian流liu源yuan技ji術shu以yi很hen少shao的de器qi件jian數shu量liang和he簡jian單dan的de結jie構gou,實shi現xian了le耐nai高gao壓ya高gao精jing度du的de目mu的de。端duan到dao端duan的de輸shu出chu電dian壓ya範fan圍wei,則ze使shi整zheng顆ke芯xin片pian中zhong其qi他ta電dian路lu的de簡jian化hua成cheng為wei可ke能neng。電dian路lu中zhong使shi用yong的de電dian壓ya補bu償chang技ji術shu,使shi負fu載zai電dian流liu與yu輸shu人ren電dian壓ya的de相xiang關guan性xing大da大da降jiang低di。
- 噪聲中提取真值!瑞盟科技推出MSA2240電流檢測芯片賦能多元高端測量場景
- 10MHz高頻運行!氮矽科技發布集成驅動GaN芯片,助力電源能效再攀新高
- 失真度僅0.002%!力芯微推出超低內阻、超低失真4PST模擬開關
- 一“芯”雙電!聖邦微電子發布雙輸出電源芯片,簡化AFE與音頻設計
- 一機適配萬端:金升陽推出1200W可編程電源,賦能高端裝備製造
- 貿澤EIT係列新一期,探索AI如何重塑日常科技與用戶體驗
- 算力爆發遇上電源革新,大聯大世平集團攜手晶豐明源線上研討會解鎖應用落地
- 創新不止,創芯不已:第六屆ICDIA創芯展8月南京盛大啟幕!
- AI時代,為什麼存儲基礎設施的可靠性決定數據中心的經濟效益
- 築基AI4S:摩爾線程全功能GPU加速中國生命科學自主生態
- 車規與基於V2X的車輛協同主動避撞技術展望
- 數字隔離助力新能源汽車安全隔離的新挑戰
- 汽車模塊拋負載的解決方案
- 車用連接器的安全創新應用
- Melexis Actuators Business Unit
- Position / Current Sensors - Triaxis Hall




