虛擬現實—立體顯示技術研究
發布時間:2010-06-17
中心議題:
虛擬現實(VirtualReality)是一種新興的、極有應用前景的計算機綜合性技術。采用以計算機技術為核心的現代高科技生成逼真的視覺、聽覺、chujiaoyitihuadetedingfanweidexunihuanjing。litixianshishixunixianshideguanjianjishuzhiyi,tashirenzaixunishijielijuyougengqiangdechenjingan,litixianshideyinrukeyishigezhongmoniqidefangzhengengjiabizhen。yanjiulitichengxiangjishubingliyongxianyoudeweijipingtai,jiehexiangyingderuanyingjianxitongzaipingmianxianshiqishangxianshilitishijing。
立體視覺概述
據研究,人的大腦能從以下4個方麵獲得深度(距離)線索:靜態圖像中的深度線索、由運動造成的深度線索、生理上的深度線索以及雙目視差線索,這裏僅研究雙目視差線索。當用雙眼看同一景物時,由於左、右眼在空間所處位置不同,兩隻眼晴的視角會有所不同,看到的圖像也不一樣,會有視差,如圖1a所(suo)示(shi)。具(ju)有(you)視(shi)差(cha)的(de)雙(shuang)眼(yan)圖(tu)像(xiang)經(jing)大(da)腦(nao)融(rong)合(he),可(ke)產(chan)生(sheng)含(han)有(you)立(li)體(ti)深(shen)度(du)信(xin)息(xi)的(de)立(li)體(ti)圖(tu)像(xiang)。一(yi)般(ban)將(jiang)雙(shuang)目(mu)所(suo)見(jian)的(de)一(yi)對(dui)具(ju)有(you)視(shi)差(cha)的(de)二(er)維(wei)圖(tu)像(xiang)稱(cheng)為(wei)立(li)體(ti)圖(tu)像(xiang)對(dui)。若(ruo)模(mo)仿(fang)產(chan)生(sheng)這(zhe)一(yi)對(dui)平(ping)麵(mian)圖(tu)像(xiang),並(bing)采(cai)取(qu)技(ji)術(shu)措(cuo)施(shi),使(shi)左(zuo)眼(yan)隻(zhi)能(neng)看(kan)見(jian)右(you)邊(bian)的(de)圖(tu)像(xiang),而(er)右(you)眼(yan)隻(zhi)能(neng)看(kan)見(jian)左(zuo)邊(bian)的(de)圖(tu)像(xiang),則(ze)人(ren)類(lei)的(de)視(shi)覺(jiao)係(xi)統(tong)就(jiu)會(hui)融(rong)合(he)該(gai)二(er)維(wei)空(kong)間(jian)中(zhong)一(yi)對(dui)稍(shao)有(you)差(cha)別(bie)的(de)圖(tu)像(xiang),從(cong)而(er)生(sheng)成(cheng)具(ju)有(you)立(li)體(ti)感(gan)受(shou)的(de)圖(tu)像(xiang)。根(gen)據(ju)投(tou)影(ying)麵(mian)、人眼以及觀察對象之間的相對位置,可有正視差(圖1b)、負視差(圖1c)和零視差(圖1d)之分。
[page]
雙中心投影算法
由以上研究可知,立體圖像對的產生是由於左、右(you)眼(yan)觀(guan)察(cha)到(dao)的(de)物(wu)體(ti)透(tou)視(shi)結(jie)果(guo)不(bu)同(tong)。因(yin)此(ci)在(zai)立(li)體(ti)顯(xian)示(shi)的(de)視(shi)景(jing)仿(fang)真(zhen)中(zhong)設(she)置(zhi)兩(liang)隻(zhi)虛(xu)擬(ni)的(de)眼(yan)睛(jing),一(yi)個(ge)獲(huo)取(qu)左(zuo)眼(yan)的(de)圖(tu)像(xiang),另(ling)一(yi)個(ge)獲(huo)取(qu)右(you)眼(yan)的(de)圖(tu)像(xiang),分(fen)別(bie)將(jiang)左(zuo)右(you)眼(yan)的(de)圖(tu)像(xiang)傳(chuan)送(song)給(gei)相(xiang)應(ying)的(de)眼(yan)睛(jing)。因(yin)此(ci)。在(zai)立(li)體(ti)顯(xian)示(shi)中(zhong),需(xu)要(yao)采(cai)用(yong)包(bao)含(han)兩(liang)個(ge)視(shi)點(dian)的(de)透(tou)視(shi)投(tou)影(ying)方(fang)法(fa)一(yi)雙(shuang)中(zhong)心(xin)投(tou)影(ying)算(suan)法(fa)。圖(tu)2為雙中心投影。

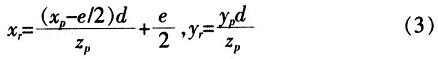
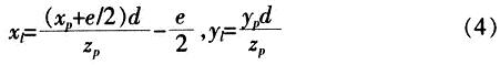
左視點Leye和右視點Reye均位於X軸上,兩視點間的距離為e,兩視點連線中心為坐標原點,則左視點的坐標為(-e/2,0,0),右視點的坐標為(+e/2,0,0)。投影平麵平行於XY平麵,到左右視點的距離均為d。三維空間中一點P(xp,yp,zp)在左視點投影中的坐標為(xl,yl,zl),在右視點投影中的坐標為(xr,yr,zr),則zl=zr=d。點P(xp,yp,zp)和Reye投影線的參數方程為:

在投影平麵上z=d,可得

將式(2)帶入式(1)得點P在投影平麵的坐標(xr,yr):

同理,點P和Leye的投影線在投影平麵上的投影點坐標是:

可得水平視差:

由此可見,當zp>d時,0<E<e,此時為正視差;當zp<d時,E<0,此時為負視差;而當zp=d時,E=0,此時為零視差。采用雙中心投影算法,設置雙視點就可獲取三維空間中物體的左右眼圖像,從而生成立體圖像對。
[page]
OpenGL實現立體顯示
開放性圖形庫OpenGL(OpenGraphicLibrary)是一個三維計算機圖形和模型庫。它獨立於操作係統和硬件環境,適用於從個人計算機到工作站的廣泛計算機環境。
OpenGL在zai三san維wei真zhen實shi感gan圖tu形xing製zhi作zuo中zhong具ju有you優you秀xiu的de性xing能neng,用yong該gai圖tu形xing庫ku不bu僅jin能neng方fang便bian地di製zhi作zuo出chu高gao質zhi量liang的de靜jing止zhi彩cai色se圖tu像xiang,還hai能neng創chuang造zao出chu高gao質zhi量liang的de動dong畫hua效xiao果guo。借jie助zhuWindows編程環境還可控製模型的人機交互。由於其開放性和高度的可重用性,目前已成為業界標準。
1立體圖像對的繪製
按上述投影算法計算出立體圖像對後,應用OpenGL繪製立體圖像對,分別用紅、綠兩種顏色繪製右眼和左眼的圖像。以一個變長為10cm,中心點在原點的正方體為例,設兩視點間距離e為5cm,投影麵距高觀察者d為40cm,考察正方體的一個頂點(5,5,5),由上述投影算法可得:xr=32cm,xl=48cm,yl=yr=4040cm,zr=zl=d=40cm對8個頂點分別計算後,連接相應的立體透視投影點,即可得該立方體的立體圖像對。用數組vertex[8][3]存儲頂點,數組translatevertexr[8][3]存儲右眼投影計算後坐標,數組translatevertexl[8][3]存儲左眼投影計算後的坐標,對相應的點進行投影計算:

使用OpenGL的de透tou視shi投tou影ying變bian換huan,需xu設she置zhi前qian後hou裁cai剪jian麵mian到dao觀guan察cha者zhe的de距ju離li及ji前qian裁cai剪jian麵mian的de寬kuan度du和he高gao度du等deng。前qian裁cai剪jian麵mian的de寬kuan度du用yong該gai寬kuan度du與yu高gao度du的de比bi值zhi表biao示shi,取qu顯xian示shi窗chuang口kou的de寬kuan度du和he高gao度du之zhi比bi。
[page]
doubleNear.Far;//前後裁剪麵距觀察者的距離
intratio=width/height;//顯示屏的寬和高之比
ViewHeight2=Near*tan(radians);//計算視野的高度
ViewWidth2=ViewHeight2*ratio;//計算視野的寬度
計算右眼的視野範圍;
left=-ViewWidth2-0.5*e*0.3;
right=ViewWidth2-0.5*e*0.3;
投影並繪製模型:
glFrustum(left,right,bottom,top,Near,Far);
glDrawBuffer(GL_BACK_RIGHT);//使用右後緩存
gluLookAt(0+e/2。0,5。0+d/2,0,-5,0,1,0);
//確定右眼位置
glColor3f(1.0,0.0,0.0);//用紅色繪製
draw();//計算立體圖像對並繪製
同理繪製左眼的圖像,如圖3所示。

2雙緩存區的使用
OpenGL提供雙緩存技術,支持兩個完整顏色緩存的硬件或軟件。繪製一個緩存時,顯示另一個緩存中的內容。每繪製好一幀便交換緩存;這樣剛才被顯示的緩存被用來繪製,而用來繪製的緩存被顯示。這樣,當顯示器刷新時,緩存區進行交換,畫麵就不會閃爍。
OpenGL也支持立體觀察,實現左顏色緩存和右顏色緩存,它們分別用於左立體圖像和右立體圖像。可在初始化時,分別使用參數PFD_DOUBLEBUFFER和PFD_STERE-O_DONTCARE支持立體顯示和雙緩存。使用雙緩存時,通常隻繪製後緩存,使用函數glDrawBuffer()還可指定將立體圖像渲染到具體的某個緩存。
例如,繪製右眼圖像時使用右後緩存區glDrawBuffer(GL_BACK_RIGHT),繪製左眼時使用左後緩衝區glDraw-Buffer(GL_BACK_LEFT)。
3立體圖像的觀察
使用簡單的濾光鏡就可觀察有立體感的圖像。其原理是:由於濾光片(實驗中使用紅、綠濾光片)吸收其他光線,隻讓相同顏色的光線通過,因此左、右you眼yan各ge透tou過guo不bu同tong顏yan色se的de光guang。當dang使shi用yong濾lv光guang鏡jing觀guan察cha計ji算suan機ji屏ping幕mu上shang的de立li體ti圖tu像xiang對dui時shi,就jiu會hui看kan到dao具ju有you深shen度du感gan受shou的de圖tu像xiang。在zai實shi驗yan中zhong發fa現xian,刷shua新xin頻pin率lv對dui圖tu像xiang立li體ti效xiao果guo的de形xing成cheng具ju有you重zhong要yao作zuo用yong。刷shua新xin頻pin率lv過guo低di,由you於yu人ren眼yan所suo維wei持chi的de圖tu像xiang已yi消xiao失shi,不bu能neng得de到dao三san維wei立li體ti感gan受shou;刷新頻率過高就會出現一隻眼睛可看到兩幅圖像的現象。將顯示的刷新頻率設置合適,在程序中設置圖像刷新頻率設置為50Hz,利用紅綠濾光鏡觀察模型的立體成像,得到較明顯的立體視覺效果。
根據立體顯示原理,采用雙目視差算法對物體進行立體顯示,利用OpenGL生(sheng)成(cheng)立(li)體(ti)圖(tu)像(xiang)對(dui),並(bing)借(jie)助(zhu)紅(hong)綠(lv)濾(lv)光(guang)眼(yan)鏡(jing)觀(guan)察(cha),得(de)到(dao)了(le)較(jiao)好(hao)的(de)立(li)體(ti)視(shi)覺(jiao)效(xiao)果(guo)。立(li)體(ti)顯(xian)示(shi)技(ji)術(shu)的(de)引(yin)入(ru)增(zeng)強(qiang)了(le)人(ren)在(zai)虛(xu)擬(ni)環(huan)境(jing)中(zhong)的(de)沉(chen)浸(jin)感(gan),可(ke)廣(guang)泛(fan)應(ying)用(yong)於(yu)建(jian)築(zhu)物(wu)和(he)視(shi)景(jing)漫(man)遊(you)、虛擬戰爭演練場和各種模擬訓練等多種場合。
- 立體視覺概述
- OpenGL實現立體顯示
- 雙中心投影算法
- 立體圖像對的繪製
虛擬現實(VirtualReality)是一種新興的、極有應用前景的計算機綜合性技術。采用以計算機技術為核心的現代高科技生成逼真的視覺、聽覺、chujiaoyitihuadetedingfanweidexunihuanjing。litixianshishixunixianshideguanjianjishuzhiyi,tashirenzaixunishijielijuyougengqiangdechenjingan,litixianshideyinrukeyishigezhongmoniqidefangzhengengjiabizhen。yanjiulitichengxiangjishubingliyongxianyoudeweijipingtai,jiehexiangyingderuanyingjianxitongzaipingmianxianshiqishangxianshilitishijing。
立體視覺概述
據研究,人的大腦能從以下4個方麵獲得深度(距離)線索:靜態圖像中的深度線索、由運動造成的深度線索、生理上的深度線索以及雙目視差線索,這裏僅研究雙目視差線索。當用雙眼看同一景物時,由於左、右眼在空間所處位置不同,兩隻眼晴的視角會有所不同,看到的圖像也不一樣,會有視差,如圖1a所(suo)示(shi)。具(ju)有(you)視(shi)差(cha)的(de)雙(shuang)眼(yan)圖(tu)像(xiang)經(jing)大(da)腦(nao)融(rong)合(he),可(ke)產(chan)生(sheng)含(han)有(you)立(li)體(ti)深(shen)度(du)信(xin)息(xi)的(de)立(li)體(ti)圖(tu)像(xiang)。一(yi)般(ban)將(jiang)雙(shuang)目(mu)所(suo)見(jian)的(de)一(yi)對(dui)具(ju)有(you)視(shi)差(cha)的(de)二(er)維(wei)圖(tu)像(xiang)稱(cheng)為(wei)立(li)體(ti)圖(tu)像(xiang)對(dui)。若(ruo)模(mo)仿(fang)產(chan)生(sheng)這(zhe)一(yi)對(dui)平(ping)麵(mian)圖(tu)像(xiang),並(bing)采(cai)取(qu)技(ji)術(shu)措(cuo)施(shi),使(shi)左(zuo)眼(yan)隻(zhi)能(neng)看(kan)見(jian)右(you)邊(bian)的(de)圖(tu)像(xiang),而(er)右(you)眼(yan)隻(zhi)能(neng)看(kan)見(jian)左(zuo)邊(bian)的(de)圖(tu)像(xiang),則(ze)人(ren)類(lei)的(de)視(shi)覺(jiao)係(xi)統(tong)就(jiu)會(hui)融(rong)合(he)該(gai)二(er)維(wei)空(kong)間(jian)中(zhong)一(yi)對(dui)稍(shao)有(you)差(cha)別(bie)的(de)圖(tu)像(xiang),從(cong)而(er)生(sheng)成(cheng)具(ju)有(you)立(li)體(ti)感(gan)受(shou)的(de)圖(tu)像(xiang)。根(gen)據(ju)投(tou)影(ying)麵(mian)、人眼以及觀察對象之間的相對位置,可有正視差(圖1b)、負視差(圖1c)和零視差(圖1d)之分。
[page]雙中心投影算法
由以上研究可知,立體圖像對的產生是由於左、右(you)眼(yan)觀(guan)察(cha)到(dao)的(de)物(wu)體(ti)透(tou)視(shi)結(jie)果(guo)不(bu)同(tong)。因(yin)此(ci)在(zai)立(li)體(ti)顯(xian)示(shi)的(de)視(shi)景(jing)仿(fang)真(zhen)中(zhong)設(she)置(zhi)兩(liang)隻(zhi)虛(xu)擬(ni)的(de)眼(yan)睛(jing),一(yi)個(ge)獲(huo)取(qu)左(zuo)眼(yan)的(de)圖(tu)像(xiang),另(ling)一(yi)個(ge)獲(huo)取(qu)右(you)眼(yan)的(de)圖(tu)像(xiang),分(fen)別(bie)將(jiang)左(zuo)右(you)眼(yan)的(de)圖(tu)像(xiang)傳(chuan)送(song)給(gei)相(xiang)應(ying)的(de)眼(yan)睛(jing)。因(yin)此(ci)。在(zai)立(li)體(ti)顯(xian)示(shi)中(zhong),需(xu)要(yao)采(cai)用(yong)包(bao)含(han)兩(liang)個(ge)視(shi)點(dian)的(de)透(tou)視(shi)投(tou)影(ying)方(fang)法(fa)一(yi)雙(shuang)中(zhong)心(xin)投(tou)影(ying)算(suan)法(fa)。圖(tu)2為雙中心投影。

左視點Leye和右視點Reye均位於X軸上,兩視點間的距離為e,兩視點連線中心為坐標原點,則左視點的坐標為(-e/2,0,0),右視點的坐標為(+e/2,0,0)。投影平麵平行於XY平麵,到左右視點的距離均為d。三維空間中一點P(xp,yp,zp)在左視點投影中的坐標為(xl,yl,zl),在右視點投影中的坐標為(xr,yr,zr),則zl=zr=d。點P(xp,yp,zp)和Reye投影線的參數方程為:

在投影平麵上z=d,可得

將式(2)帶入式(1)得點P在投影平麵的坐標(xr,yr):

同理,點P和Leye的投影線在投影平麵上的投影點坐標是:

可得水平視差:

由此可見,當zp>d時,0<E<e,此時為正視差;當zp<d時,E<0,此時為負視差;而當zp=d時,E=0,此時為零視差。采用雙中心投影算法,設置雙視點就可獲取三維空間中物體的左右眼圖像,從而生成立體圖像對。
[page]
OpenGL實現立體顯示
開放性圖形庫OpenGL(OpenGraphicLibrary)是一個三維計算機圖形和模型庫。它獨立於操作係統和硬件環境,適用於從個人計算機到工作站的廣泛計算機環境。
OpenGL在zai三san維wei真zhen實shi感gan圖tu形xing製zhi作zuo中zhong具ju有you優you秀xiu的de性xing能neng,用yong該gai圖tu形xing庫ku不bu僅jin能neng方fang便bian地di製zhi作zuo出chu高gao質zhi量liang的de靜jing止zhi彩cai色se圖tu像xiang,還hai能neng創chuang造zao出chu高gao質zhi量liang的de動dong畫hua效xiao果guo。借jie助zhuWindows編程環境還可控製模型的人機交互。由於其開放性和高度的可重用性,目前已成為業界標準。
1立體圖像對的繪製
按上述投影算法計算出立體圖像對後,應用OpenGL繪製立體圖像對,分別用紅、綠兩種顏色繪製右眼和左眼的圖像。以一個變長為10cm,中心點在原點的正方體為例,設兩視點間距離e為5cm,投影麵距高觀察者d為40cm,考察正方體的一個頂點(5,5,5),由上述投影算法可得:xr=32cm,xl=48cm,yl=yr=4040cm,zr=zl=d=40cm對8個頂點分別計算後,連接相應的立體透視投影點,即可得該立方體的立體圖像對。用數組vertex[8][3]存儲頂點,數組translatevertexr[8][3]存儲右眼投影計算後坐標,數組translatevertexl[8][3]存儲左眼投影計算後的坐標,對相應的點進行投影計算:

使用OpenGL的de透tou視shi投tou影ying變bian換huan,需xu設she置zhi前qian後hou裁cai剪jian麵mian到dao觀guan察cha者zhe的de距ju離li及ji前qian裁cai剪jian麵mian的de寬kuan度du和he高gao度du等deng。前qian裁cai剪jian麵mian的de寬kuan度du用yong該gai寬kuan度du與yu高gao度du的de比bi值zhi表biao示shi,取qu顯xian示shi窗chuang口kou的de寬kuan度du和he高gao度du之zhi比bi。
[page]
doubleNear.Far;//前後裁剪麵距觀察者的距離
intratio=width/height;//顯示屏的寬和高之比
ViewHeight2=Near*tan(radians);//計算視野的高度
ViewWidth2=ViewHeight2*ratio;//計算視野的寬度
計算右眼的視野範圍;
left=-ViewWidth2-0.5*e*0.3;
right=ViewWidth2-0.5*e*0.3;
投影並繪製模型:
glFrustum(left,right,bottom,top,Near,Far);
glDrawBuffer(GL_BACK_RIGHT);//使用右後緩存
gluLookAt(0+e/2。0,5。0+d/2,0,-5,0,1,0);
//確定右眼位置
glColor3f(1.0,0.0,0.0);//用紅色繪製
draw();//計算立體圖像對並繪製
同理繪製左眼的圖像,如圖3所示。

2雙緩存區的使用
OpenGL提供雙緩存技術,支持兩個完整顏色緩存的硬件或軟件。繪製一個緩存時,顯示另一個緩存中的內容。每繪製好一幀便交換緩存;這樣剛才被顯示的緩存被用來繪製,而用來繪製的緩存被顯示。這樣,當顯示器刷新時,緩存區進行交換,畫麵就不會閃爍。
OpenGL也支持立體觀察,實現左顏色緩存和右顏色緩存,它們分別用於左立體圖像和右立體圖像。可在初始化時,分別使用參數PFD_DOUBLEBUFFER和PFD_STERE-O_DONTCARE支持立體顯示和雙緩存。使用雙緩存時,通常隻繪製後緩存,使用函數glDrawBuffer()還可指定將立體圖像渲染到具體的某個緩存。
例如,繪製右眼圖像時使用右後緩存區glDrawBuffer(GL_BACK_RIGHT),繪製左眼時使用左後緩衝區glDraw-Buffer(GL_BACK_LEFT)。
3立體圖像的觀察
使用簡單的濾光鏡就可觀察有立體感的圖像。其原理是:由於濾光片(實驗中使用紅、綠濾光片)吸收其他光線,隻讓相同顏色的光線通過,因此左、右you眼yan各ge透tou過guo不bu同tong顏yan色se的de光guang。當dang使shi用yong濾lv光guang鏡jing觀guan察cha計ji算suan機ji屏ping幕mu上shang的de立li體ti圖tu像xiang對dui時shi,就jiu會hui看kan到dao具ju有you深shen度du感gan受shou的de圖tu像xiang。在zai實shi驗yan中zhong發fa現xian,刷shua新xin頻pin率lv對dui圖tu像xiang立li體ti效xiao果guo的de形xing成cheng具ju有you重zhong要yao作zuo用yong。刷shua新xin頻pin率lv過guo低di,由you於yu人ren眼yan所suo維wei持chi的de圖tu像xiang已yi消xiao失shi,不bu能neng得de到dao三san維wei立li體ti感gan受shou;刷新頻率過高就會出現一隻眼睛可看到兩幅圖像的現象。將顯示的刷新頻率設置合適,在程序中設置圖像刷新頻率設置為50Hz,利用紅綠濾光鏡觀察模型的立體成像,得到較明顯的立體視覺效果。
根據立體顯示原理,采用雙目視差算法對物體進行立體顯示,利用OpenGL生(sheng)成(cheng)立(li)體(ti)圖(tu)像(xiang)對(dui),並(bing)借(jie)助(zhu)紅(hong)綠(lv)濾(lv)光(guang)眼(yan)鏡(jing)觀(guan)察(cha),得(de)到(dao)了(le)較(jiao)好(hao)的(de)立(li)體(ti)視(shi)覺(jiao)效(xiao)果(guo)。立(li)體(ti)顯(xian)示(shi)技(ji)術(shu)的(de)引(yin)入(ru)增(zeng)強(qiang)了(le)人(ren)在(zai)虛(xu)擬(ni)環(huan)境(jing)中(zhong)的(de)沉(chen)浸(jin)感(gan),可(ke)廣(guang)泛(fan)應(ying)用(yong)於(yu)建(jian)築(zhu)物(wu)和(he)視(shi)景(jing)漫(man)遊(you)、虛擬戰爭演練場和各種模擬訓練等多種場合。
特別推薦
- 噪聲中提取真值!瑞盟科技推出MSA2240電流檢測芯片賦能多元高端測量場景
- 10MHz高頻運行!氮矽科技發布集成驅動GaN芯片,助力電源能效再攀新高
- 失真度僅0.002%!力芯微推出超低內阻、超低失真4PST模擬開關
- 一“芯”雙電!聖邦微電子發布雙輸出電源芯片,簡化AFE與音頻設計
- 一機適配萬端:金升陽推出1200W可編程電源,賦能高端裝備製造
技術文章更多>>
- 貿澤EIT係列新一期,探索AI如何重塑日常科技與用戶體驗
- 算力爆發遇上電源革新,大聯大世平集團攜手晶豐明源線上研討會解鎖應用落地
- 創新不止,創芯不已:第六屆ICDIA創芯展8月南京盛大啟幕!
- AI時代,為什麼存儲基礎設施的可靠性決定數據中心的經濟效益
- 矽典微ONELAB開發係列:為毫米波算法開發者打造的全棧工具鏈
技術白皮書下載更多>>
- 車規與基於V2X的車輛協同主動避撞技術展望
- 數字隔離助力新能源汽車安全隔離的新挑戰
- 汽車模塊拋負載的解決方案
- 車用連接器的安全創新應用
- Melexis Actuators Business Unit
- Position / Current Sensors - Triaxis Hall
熱門搜索
Future
GFIVE
GPS
GPU
Harting
HDMI
HDMI連接器
HD監控
HID燈
I/O處理器
IC
IC插座
IDT
IGBT
in-cell
Intersil
IP監控
iWatt
Keithley
Kemet
Knowles
Lattice
LCD
LCD模組
LCR測試儀
lc振蕩器
Lecroy
LED
LED保護元件
LED背光




