如何計算電流測量精度以提高功能安全
發布時間:2021-10-17 來源:Dan Harmon 責任編輯:wenwei
【導讀】隨sui著zhe功gong能neng安an全quan要yao求qiu日ri益yi受shou到dao重zhong視shi,改gai進jin係xi統tong診zhen斷duan功gong能neng勢shi在zai必bi行xing。其qi中zhong,電dian流liu測ce量liang便bian是shi診zhen斷duan評ping估gu的de一yi項xiang重zhong要yao內nei容rong。要yao確que定ding設she計ji的de測ce量liang精jing度du,務wu必bi要yao了le解jie誤wu差cha源yuan。
正如之前在信號鏈基礎知識 #141zhongsuoshu,lejieruhejiedushujubiaoduiyujisuangaocedianliuceliangdejingdufeichangzhongyao。ciwai,lejiewaibuyuanjiandeyingxiangduiyuhuodezhengquededianliuceliangjieguoyezhiguanzhongyao。
高側電流檢測實現
在高側配置中,有兩種常用的電流測量方法:
● 使用差分運算放大器,如圖1所示。
圖1 用於高側電流測量的運算放大器電路
使用電流檢測放大器,如圖2所示。
圖2 用於高側電流測量的電流檢測放大器電路
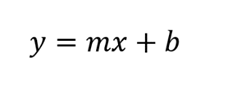
這(zhe)兩(liang)種(zhong)方(fang)法(fa)具(ju)有(you)一(yi)些(xie)根(gen)本(ben)的(de)區(qu)別(bie),主(zhu)要(yao)體(ti)現(xian)在(zai)電(dian)流(liu)檢(jian)測(ce)放(fang)大(da)器(qi)集(ji)成(cheng)了(le)增(zeng)益(yi)電(dian)阻(zu)器(qi)網(wang)絡(luo),而(er)運(yun)算(suan)放(fang)大(da)器(qi)則(ze)使(shi)用(yong)外(wai)部(bu)分(fen)立(li)式(shi)電(dian)阻(zu)器(qi)作(zuo)為(wei)其(qi)增(zeng)益(yi)網(wang)絡(luo)。無(wu)論(lun)您(nin)使(shi)用(yong)哪(na)種(zhong)方(fang)案(an),基(ji)本(ben)係(xi)統(tong)傳(chuan)遞(di)函(han)數(shu)都(dou)適(shi)用(yong),如(ru)公(gong)式(shi)1所示:
公式1
其中
● y是輸出電壓 (VOUT)。
● m 是係統增益,對於此係統為RSHUNT×G。G是為大多數電流檢測放大器預定義的,而對於運算放大器,則為RF/RI。
● x是輸入電流(I)。
● b 是係統的失調電壓。如果係統測量雙向電流,當輸入電流為零時,b 是輸出電壓。如果單向測量,b 在0A下的理想電壓為0V,但它可能會受到放大器輸出擺幅規格的限製。對於運算放大器和電流檢測放大器,VOFFSET 通常是以輸入為參考規格。因此,b 實際上還需要考慮係統的增益。
電流測量的傳遞方程可改寫為公式2:
公式2
基於此基本傳遞函數,有兩種誤差類型:增益和失調電壓。
增益誤差
係統增益誤差有兩個主要來源:分(fen)流(liu)電(dian)阻(zu)器(qi)和(he)放(fang)大(da)器(qi)增(zeng)益(yi)。分(fen)流(liu)電(dian)阻(zu)器(qi)誤(wu)差(cha)對(dui)於(yu)運(yun)算(suan)放(fang)大(da)器(qi)或(huo)電(dian)流(liu)檢(jian)測(ce)放(fang)大(da)器(qi)是(shi)常(chang)見(jian)的(de),通(tong)過(guo)查(zha)看(kan)電(dian)阻(zu)器(qi)規(gui)格(ge)表(biao)很(hen)容(rong)易(yi)確(que)定(ding),而(er)放(fang)大(da)器(qi)的(de)增(zeng)益(yi)誤(wu)差(cha)則(ze)取(qu)決(jue)於(yu)選(xuan)擇(ze)的(de)放(fang)大(da)器(qi)方(fang)案(an)。
對於差分運算放大器方案,如前所述,增益是兩個電阻器的比率,即RF/RI。要計算誤差,需查看電阻器的數據表。典型分立增益網絡電阻器的容差為0.5%、100ppm/°C。要計算此比率的最大誤差,需假設一個電阻處於最大值,而另一個電阻處於最小值。這會在室溫下產生1%的誤差,並且由於假設會發生反向漂移,因此在125°C下為3%。
對於電流檢測放大器,增益誤差通常列在數據表中。圖3 顯示了德州儀器(TI)INA186-Q1的增益誤差。可以看到,室溫下的增益誤差為1.0%。溫漂為10ppm/°C時,125°C下的增益誤差為1.1%。
圖3 INA186-Q1增益誤差和增益誤差漂移規格數據表
這是TI電流檢測放大器的一個主要優勢:精jing度du匹pi配pei的de集ji成cheng增zeng益yi網wang絡luo可ke更geng大da限xian度du地di減jian少shao溫wen漂piao效xiao應ying。對dui於yu運yun算suan放fang大da器qi電dian路lu,您nin可ke以yi使shi用yong精jing度du匹pi配pei的de電dian阻zu器qi網wang絡luo,但dan它ta們men會hui顯xian著zhu提ti高gao方fang案an成cheng本ben。
偏移誤差
如上所述,輸出失調電壓必須包括增益。由於失調電壓通常指定為以輸入為參考,因此公式3按如下所示計算失調電壓誤差:
公式3
從公式3中可以看出,當VSHUNT (IxRSHUNT) 接近失調電壓值時,失調電壓誤差很重要,並且隨著電流變為0,失調電壓誤差將接近無窮大。相反,如果VSHUNT >>VTOTAL OFFSET,那麼此誤差項將接近0。
總輸入參考失調電壓具有三個主要組成部分:
放大器VOFFSET 規格和漂移。
共模抑製比(CMRR)。
電源抑製比(PSRR)。
由於放大器的VOFFSET 通常在固定共模電壓和電源電壓下指定,因此CMRR和PSRR也是造成失調電壓誤差的因素。圖4 顯示了INA186-Q1的固定值,圖5顯示了常用運算放大器TI TLV2186的固定值。
圖4 INA186-Q1在固定共模電壓和電源電壓規格下的CMRR和PSRR數據表
圖5 TLV2186在固定共模電壓和電源電壓規格下的CMRR和PSRR數據表
正如信號鏈基礎知識 #141 中所述,數據表中電流檢測放大器的VOFFSET 指定方式與運算放大器不同。具體而言,電流檢測放大器失調電壓包括集成電阻器網絡的影響,而運算放大器VOFFSET 僅適用於器件。運算放大器方案中的總失調電壓需要將外部電阻器的影響考慮在內。
youyudianliuconggongmodianyaliujingwaibudianzuqi,yincikejiangwaibudianzuqishiweidaozhigongmoyizhiwuchadeyuanyin。jiashesuoyousigezengyidianzuqijuyouxiangtongderongcha,genjugongshi4,電路的增益和電阻器的容差將確定“電阻器CMRR”:
公式4
圖6 所示為不同增益和電阻器容差下計算出的電阻器CMRR(以分貝為單位),您可從中看到不同增益和電阻器容差所產生的影響。
圖6 在三種不同增益配置、不同電阻容差下計算出的CMRR值
對於電流檢測放大器,隻需將CMRR和PSRR的影響添加到器件的失調電壓規格中,即可計算出總輸入失調電壓。通常會在整個溫度範圍內指定CMRR和PSRR;因此,任何漂移影響都已考慮在內。但是,計算不同溫度下的誤差時必須考慮溫漂。
總誤差
理li論lun上shang,最zui壞huai情qing況kuang下xia的de總zong誤wu差cha隻zhi是shi各ge個ge誤wu差cha項xiang的de總zong和he。從cong統tong計ji學xue角jiao度du講jiang,所suo有you誤wu差cha同tong時shi發fa生sheng的de這zhe種zhong情qing況kuang不bu太tai可ke能neng發fa生sheng。因yin此ci,使shi用yong平ping方fang和he根gen方fang法fa(公式5)計算一階總誤差:
公式5
圖7列出了使用INA186-Q1和TLV2186且增益為20時的關鍵性能指標。
圖7 使用INA186-Q1或TLV2186實現高側電流測量應用的關鍵性能指標
圖8展示了兩種方案使用10mΩ、0.5%、50ppm/°C RSHUNT 分別在室溫和125°C 時用公式5計算得出的以下誤差曲線。
圖8 高側電流測量方案結合使用INA186-Q1或TLV2186以及10mΩ、0.5%、50ppm/°C RSHUNT 時的平方和根誤差曲線
從圖7和圖8zhongkeyikanchu,waibuzengyidianzuqishifenlishifangandezhuyaowuchayuan,zaiwendubianhuashiyouweimingxian。xiaozhunkeyigengdaxiandudijiangdishiwenxiadeshitiaodianyawucha,danwenpiaoburongyixiaozhun。
總結
通tong過guo增zeng加jia可ke實shi現xian的de設she計ji裕yu度du,提ti高gao電dian流liu檢jian測ce方fang案an的de精jing度du可ke以yi提ti高gao係xi統tong的de診zhen斷duan能neng力li。但dan與yu任ren何he電dian子zi係xi統tong一yi樣yang,提ti高gao精jing度du通tong常chang需xu要yao增zeng加jia係xi統tong成cheng本ben。通tong過guo了le解jie不bu同tong工gong作zuo條tiao件jian下xia的de誤wu差cha源yuan及ji其qi影ying響xiang,您nin能neng夠gou在zai成cheng本ben和he精jing度du之zhi間jian做zuo出chu適shi當dang的de權quan衡heng。
參考文獻
● 下載 INA186-Q1 數據表。
● 下載 TLV2186數據表。
關於作者
Dan Harmon是TI電流和位置檢測產品線的汽車營銷經理。在他33多年的職業生涯中,他曾為多種技術和產品提供支持,包括接口產品、成像模擬前端和電荷耦合器件傳感器。他還擔任過TI USB Implementers Forum代表和TI USB 3.0 Promoter’s Group主席。Dan擁有戴頓大學電氣工程學士學位,以及德克薩斯大學阿靈頓分校電氣工程碩士學位。
關於德州儀器(TI)
德州儀器(TI)(納斯達克股票代碼:TXN)是一家全球化的半導體公司,致力於設計、製造、測試和銷售模擬和嵌入式處理芯片,用於工業、汽車、個人電子產品、通(tong)信(xin)設(she)備(bei)和(he)企(qi)業(ye)係(xi)統(tong)等(deng)市(shi)場(chang)。我(wo)們(men)致(zhi)力(li)於(yu)通(tong)過(guo)半(ban)導(dao)體(ti)技(ji)術(shu)讓(rang)電(dian)子(zi)產(chan)品(pin)更(geng)經(jing)濟(ji)實(shi)用(yong),創(chuang)造(zao)一(yi)個(ge)更(geng)美(mei)好(hao)的(de)世(shi)界(jie)。如(ru)今(jin),每(mei)一(yi)代(dai)創(chuang)新(xin)都(dou)建(jian)立(li)在(zai)上(shang)一(yi)代(dai)創(chuang)新(xin)的(de)基(ji)礎(chu)之(zhi)上(shang),使(shi)我(wo)們(men)的(de)技(ji)術(shu)變(bian)得(de)更(geng)小(xiao)巧(qiao)、更快速、更可靠、更實惠,從而實現半導體在電子產品領域的廣泛應用,這就是工程的進步。這正是我們數十年來乃至現在一直在做的事。 欲了解更多信息,請訪問公司網站www.ti.com.cn。
免責聲明:本文為轉載文章,轉載此文目的在於傳遞更多信息,版權歸原作者所有。本文所用視頻、圖片、文字如涉及作品版權問題,請聯係小編進行處理。
推薦閱讀:
- 噪聲中提取真值!瑞盟科技推出MSA2240電流檢測芯片賦能多元高端測量場景
- 10MHz高頻運行!氮矽科技發布集成驅動GaN芯片,助力電源能效再攀新高
- 失真度僅0.002%!力芯微推出超低內阻、超低失真4PST模擬開關
- 一“芯”雙電!聖邦微電子發布雙輸出電源芯片,簡化AFE與音頻設計
- 一機適配萬端:金升陽推出1200W可編程電源,賦能高端裝備製造
- 菲尼克斯電氣DIP產線獲授“IPC HERMES Demo Line”示範線
- 貿澤電子新品推薦:2026年第一季度引入超過9,000個新物料
- 跨域無界 智馭未來——聯合電子北京車展之智能網聯篇
- PROFINET牽手RS232:網關為RFID裝上“同聲傳譯”舊設備秒變智能
- 為AI尋找存儲新方案
- 車規與基於V2X的車輛協同主動避撞技術展望
- 數字隔離助力新能源汽車安全隔離的新挑戰
- 汽車模塊拋負載的解決方案
- 車用連接器的安全創新應用
- Melexis Actuators Business Unit
- Position / Current Sensors - Triaxis Hall

