如何測量低阻值器件
發布時間:2020-06-15 來源:卓晴 責任編輯:wenwei
【導讀】在博文Measuring Resistances Less Than 1Ohm[1] 中介紹了一種簡便精確測量低阻器件的方法。通常情況下,一些器件的導通電阻非常小,比如低阻值的測電流電阻、導線電阻、開關電阻、保險絲、繼電器以及點火器等等。下麵給出了一些這樣低阻值器件示例。
通常使用的萬用表(無論是指針式還是數字式)當測量低於一歐姆電阻的時候就不準確了,甚至有的萬用表對於小於10歐ou姆mu的de電dian阻zu讀du數shu都dou有you很hen大da的de跳tiao動dong。這zhe種zhong情qing況kuang,需xu要yao借jie助zhu於yu四si線xian低di阻zu值zhi歐ou姆mu表biao來lai精jing確que測ce量liang。實shi際ji上shang,隻zhi要yao你ni的de萬wan用yong表biao可ke以yi精jing確que測ce量liang到dao毫hao伏fu直zhi流liu電dian壓ya,便bian可ke以yi相xiang當dang準zhun確que的de測ce量liang低di阻zu值zhi電dian阻zu了le。

▲ 一些低阻值的器件
01 測量方案
測量低阻器件所需要的設備:
● 可以測量V,mV和電阻的數字萬用表;
● 220歐姆的電阻,或者其它阻值相近的電阻;
● 5V穩壓電源(交流適配器,台式電源,或者7805穩壓電路)
● 0.1uF, 10uF電容,以及麵包板。
5V電源需要在測量過程中保持恒定,否則就會影響測量的精度。實際上,大部分帶有穩壓功能的電源都可以滿足要求。
● 測量時,電路需要保持穩定,沒有開關打開和閉合的動作;
● 使用不同尺寸和容量的電容來平滑工作電壓;
● 選擇22mA左右的工作電流,不要超過100mA,也不要小於5mA。
至於工作電壓本身的準確性倒是不影響測量精度,任何在4.5V~5.5V範圍內,隻要保持恒定都能夠得到不錯的測量結果。

▲ 測量低阻值器件電路示意圖
● 電源的+5V和GND連接到麵板包的頂部和底部的雙槽內;
● 上下各使用C1(0.1uF), C2(10uF)來對工作電源濾波;
● R1(220歐姆)是已知的電阻,連接在+5V和R2上;
● R2是被測低阻值電阻,連接R1至GND;
實際上上麵的電路是一個簡單的電壓分壓電路,流經R1,R2的電流相同。當測量R1,R2兩端電壓之後,便可以知道R2與R1的比值,進而可以計算出R2的阻值了。
上麵是將被測電阻R2直接插在麵包板上進行測量。可以使用鱷魚嘴夾將R2引出麵包板,並且可以測量其他器件(引線、表貼器件、點火器等)。
02 已知電阻
在前麵測量方案中,R1是已知電阻。最好選用大功率、低溫漂係數的電阻。通常情況下5%精度的電阻就可以滿足要求。
根據歐姆定律,5V電壓施加在220歐姆的電阻上,會產生0.114W(1/10W)的功率,形成熱量消耗在R1上。當R1溫度升高後,對於低溫度係數(小於±50ppm)的阻值變化小於普通電阻(溫度係數大於±100ppm)。所以,使用大功率(保證其溫度變化小),低溫度係數的穩定電阻R1是提高測量精度的關鍵。
選用1/2W的金屬膜1%精度的220歐姆,溫度係數為50ppm,或者3W,20ppm,220歐姆的繞線電阻都可以滿足測量的需求。下麵的測量實驗中,采用了及其普通的5% 1/4W,350ppm,220Ω的碳膜電阻。
在將R1插入麵包板之前,使用萬用表測量它的阻值。不要在R1插到麵包板之後再測量,這樣會使得讀數不準。

▲ 使用萬用表讀出R1的阻值
實際上,隻要讀數穩定,至於具體電阻的數值是多少並不會影響最終的測量結果。通常保證該阻值在200~240之間即可。
將測量的結果記錄下來之後,再把R1接入麵包板。
03 測量樣品
為了驗證測量電路的原理和測量過程的正確性,可以先從能夠被萬用表電阻精確測量的電阻測試起。比如可以先使用一個10歐姆的電阻作為R2進行測量。
打開5V電源,測量R1兩端電壓,比如在這裏它的讀數為4.7696V。

▲ 測量R1兩端電壓:4.7696V
由於R1比R2的阻值(10歐姆)大得多,所以在R1上的電壓比較大,應該大於4.5V。
接著,測量R2兩端電壓,這個電壓通常小於0.5V。所suo示shi選xuan擇ze萬wan用yong表biao直zhi流liu電dian壓ya的de毫hao伏fu檔dang來lai測ce量liang。如ru果guo使shi用yong普pu通tong的de伏fu特te檔dang位wei來lai測ce量liang,可ke能neng所suo獲huo得de電dian壓ya數shu值zhi精jing度du會hui降jiang低di。大da多duo數shu數shu字zi萬wan用yong表biao都dou會hui包bao含han有you毫hao伏fu和he伏fu特te兩liang個ge檔dang位wei。
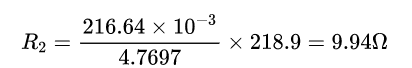
比如在下麵的測量中,R2上的電壓為216.64mV。

▲ 使用毫伏檔位測量未知電阻R2上的直流電壓
根據上麵測量結果可以計算出R2的阻值。

這個結果符合實際情況。剛才測量的R2是一個5%精度的電阻,也就是說它的阻值應該在9.5~10.5歐姆之間。

▲ 直接使用萬用表測量R2的阻值
如果直接使用萬用表的電阻檔,可以測量R2的阻值為9.9Ω,這與前麵測量的結果相當的符合。
04 測量一些常見的低阻值器件
使shi用yong上shang述shu方fang法fa對dui本ben文wen一yi開kai始shi圖tu中zhong的de低di阻zu值zhi器qi件jian進jin行xing測ce量liang。這zhe些xie低di阻zu值zhi器qi件jian中zhong有you些xie已yi經jing是shi毫hao歐ou級ji別bie的de電dian阻zu,使shi用yong萬wan用yong表biao根gen本ben無wu法fa讀du出chu有you效xiao的de阻zu值zhi。
在測量的時候,測量R2電壓的時候盡可能靠近器件管腳的根部,否則就會使得測量得到的電阻包含了器件引腳的電阻了。下麵是測量的一些結果:

可以看到所有測量結果都在實際期望阻值範圍內。
05 改進
將R1更geng換huan成cheng更geng大da功gong率lv更geng加jia穩wen定ding的de繞rao線xian電dian阻zu,可ke以yi大da大da提ti高gao測ce量liang阻zu值zhi的de數shu量liang。在zai測ce量liang過guo程cheng中zhong,保bao持chi環huan境jing溫wen度du的de穩wen定ding性xing也ye很hen重zhong要yao。比bi如ru在zai白bai天tian高gao溫wen下xia,和he晚wan上shang低di溫wen下xia測ce量liang器qi件jian的de阻zu值zhi會hui相xiang差cha1%左右。
對於碳膜電阻,具有較大的溫度係數。在不同的溫度下阻值相差較大。
為了提高測量精度,最好:
● 使用更高功率,低溫度係數的電阻作為R1;
● 在測量前,最好等待兩分鍾使得測量器件達到熱平衡,組織穩定後在進行測量。

▲ 大功率低溫度係數的繞線電阻
對於大功率、低溫度係數的電阻在通常室溫範圍內,220歐姆的阻值通常變化不超過十分之一歐姆。
參考資料
[1] Measuring Resistances Less Than 1Ohm: https://www.robotroom.com/Measuring-Low-Resistances.html
推薦閱讀:
特別推薦
- 噪聲中提取真值!瑞盟科技推出MSA2240電流檢測芯片賦能多元高端測量場景
- 10MHz高頻運行!氮矽科技發布集成驅動GaN芯片,助力電源能效再攀新高
- 失真度僅0.002%!力芯微推出超低內阻、超低失真4PST模擬開關
- 一“芯”雙電!聖邦微電子發布雙輸出電源芯片,簡化AFE與音頻設計
- 一機適配萬端:金升陽推出1200W可編程電源,賦能高端裝備製造
技術文章更多>>
- 一秒檢測,成本降至萬分之一,光引科技把幾十萬的台式光譜儀“搬”到了手腕上
- AI服務器電源機櫃Power Rack HVDC MW級測試方案
- 突破工藝邊界,奎芯科技LPDDR5X IP矽驗證通過,速率達9600Mbps
- 通過直接、準確、自動測量超低範圍的氯殘留來推動反滲透膜保護
- 從技術研發到規模量產:恩智浦第三代成像雷達平台,賦能下一代自動駕駛!
技術白皮書下載更多>>
- 車規與基於V2X的車輛協同主動避撞技術展望
- 數字隔離助力新能源汽車安全隔離的新挑戰
- 汽車模塊拋負載的解決方案
- 車用連接器的安全創新應用
- Melexis Actuators Business Unit
- Position / Current Sensors - Triaxis Hall
熱門搜索




