熱電偶基礎知識
發布時間:2018-07-30 責任編輯:wenwei
【導讀】熱電偶是一種常見的被動測溫元件。它也是一種有源傳感器,測量時不需外加電源,並且測量溫度範圍(高達2000°C)很廣。它可以快速響應,故係統運行幾乎沒有顯著的延遲。

熱電偶結構圖:熱電偶結構簡單,主要由兩根金屬導線組成一個回路。
一般熱電偶產生的輸出電壓很小(K型為約〜40μV/每°C),故需要精確的運放支持。否則,外部噪聲(尤其是在熱電偶和測量電路之間使用長導線時)可能會使信號失真。下表顯示了一些常見的熱電偶類型和特性。
另一個問題是“冷端”,它是熱電偶導線與信號電路的線連接的地方,如同線路中的第二個熱電偶。

為了補償冷端的影響,可以嚐試測量冷端溫度,並將得出的電壓加上熱電偶電壓(Vout),讓熱電偶測量端感測得出的電壓(Vcj)能正式被顯示
Vtc = Vout + Vcj
其中Vtc = 由熱電感得到的電壓
Vcj =於“冷端”得出的電壓
以下是典型的熱電偶補償電路。溫度傳感器位於冷端進行監視,ADC以所需的分辨率提供輸出數據。

(來源:Digi-Key)
更多資料:
熱電偶測量原理
redianoushichangjiandewenduceliangyuanjian,redianouyuanlibijiaojiandan,tazhijiebawenduxinhaozhuanhuanchengrediandongshixinhao,tongguodianqiyibiaozhuanhuanchengbeicejiezhidewendu,suiranyuanlijiandan,danceliangbingbujiandan。
熱電偶測溫原理
熱電偶產生的熱電勢由接觸電勢和溫差電勢兩部分組成。
接觸電勢:兩liang種zhong不bu同tong材cai料liao的de導dao體ti,其qi電dian子zi密mi度du是shi不bu同tong的de。當dang兩liang種zhong不bu同tong材cai料liao的de導dao體ti兩liang端duan接jie合he在zai一yi起qi時shi,在zai連lian接jie處chu,會hui發fa生sheng電dian子zi擴kuo散san,電dian子zi擴kuo散san的de速su率lv與yu自zi由you電dian子zi的de密mi度du以yi及ji導dao體ti的de溫wen度du成cheng正zheng比bi。於yu是shi就jiu在zai連lian接jie處chu形xing成cheng電dian位wei差cha,即ji接jie觸chu電dian勢shi。
溫差電勢:當dang一yi根gen導dao體ti的de兩liang端duan溫wen度du不bu同tong時shi,在zai導dao體ti內nei部bu兩liang端duan的de自zi由you電dian子zi相xiang互hu擴kuo散san的de速su率lv不bu同tong,這zhe個ge在zai高gao低di溫wen端duan之zhi間jian一yi個ge靜jing電dian場chang。此ci時shi導dao體ti上shang產chan生sheng一yi個ge相xiang應ying的de電dian位wei差cha,稱cheng為wei溫wen差cha電dian勢shi。此ci電dian勢shi隻zhi與yu導dao體ti的de性xing質zhi和he導dao體ti兩liang端duan的de溫wen度du有you關guan,與yu導dao體ti的de長chang度du、截麵大小、沿導體長度上的溫度分布無關。
熱電偶的示意圖

圖1 熱電偶的示意圖
熱電偶的測量電路圖

圖2 熱電偶的測量電路圖
直接用作測量介質溫度的一端叫做工作端(也稱為測量端),另一端叫做冷端(也稱為補償端);冷端與顯示儀表或配套儀表連接,顯示儀表會指出熱電偶所產生的熱電勢。
在實際熱電偶的測量中,熱電偶的測量電路一般由熱電偶(A、B兩種導體)、連接導線C和測量儀器組成。測量時將熱電偶置於被測環境中,如圖2所示,形成有J1、J2、J3三個接觸電勢,以及兩個溫差電勢,整個熱電偶的電勢由這幾部分構成。
為了更好的理解這幾部分的電勢,我們需要了解一個定律:中間導體定律。
中間導體定律:在熱電偶回路中接入中間導體(第三導體),隻要中間導體兩端溫度相同,中間導體的引入對熱電偶回路總電勢沒有影響。
由中間導體定義推導出:
1、組成熱電偶回路的兩種導體材料相同時,無論兩接點溫度如何,回路總熱電勢等於零。
2、如果熱電偶兩接點的溫度相同,則盡管導體A,B材料不同,熱電偶回路的總電勢亦為零。
所以J2和J3處於同一溫度點,接觸電勢等於零。同時,在測量時,為了消除溫差電勢對測量影響,我們對連接導線C會有比較嚴格的要求,連接導線C我們稱之為補償導線,補償導線實際上是同分度熱電偶是同材質的導線,這樣回路中溫差電勢也為零。這樣整個回路的電勢隻與J1的電勢有關。由於熱電偶技術條件都是指冷端(非工作端)處在0℃時的電動勢,要求工作時,保持0℃,這樣熱電勢才能正確反映熱端溫度大小,否則就會產生誤差。為了修正在室溫下的測量誤差,熱電偶一般進行溫度補償。
熱電偶的溫度補償
熱電偶冷端溫度補償的方法主要有:
01 冷端恒溫法
這種方法將熱電偶的冷端放在恒溫場合,有0℃恒溫器和其他恒溫器兩種。
02 電橋補償法
redianoujingbuchangdaoxianjiezhibuchangdianqiao,redianoulengduanyudianqiaochuyutongyihuanjingwenduzhong,liyongbupinghengdianyalaizidongbuchangredianouyinlengduanwendubianhuaeryinqideredianshibianhuazhi。
03 計算修正法
由於熱電偶E-T之間通常呈非線性關係,當冷端溫度不為0攝氏度時,不能利用已知回路實際熱電勢E(t,t0)直接查表求取熱端溫度值;也不能利用已知回路實際熱電勢E(t,t0)直接查表求取的溫度值,再加上冷端溫度確定熱端被測溫度值,需按中間溫度定律進行修正。
中間溫度定律:熱電偶回路兩接點(溫度為T、T0)間的熱電勢,等於熱電偶在溫度為T、Tn時的熱電勢與在溫度為Tn、T0時的熱電勢的代數和。Tn稱中間溫度。
熱電偶的測量優點
熱電偶的測量相對熱電阻來說要複雜得多,但是以其獨特的優點得到廣泛應用。
1、測量精度高。因熱電偶直接與被測對象接觸,不受中間介質的影響。
2、測量範圍廣。常用的熱電偶從-50~+1600℃均連續測量,某些特殊熱電偶最低可測到-269℃(如金鐵鎳鉻),最高可達+2800℃(如鎢-錸)。
3、構造簡單,使用方便。熱電偶通常是由兩種不同的金屬絲組成,而且不受大小的限製,外有保護套管,用起來非常方便。
熱電偶四大基本定律及證明
熱電偶的基本定律包括均質導體定律、中間導體定律、中間溫度定律以及參考電極定律,熱電偶的這四大基本定律對熱電偶的應用有及其重要的作用。
均質導體定律
定義:由同一種均質材料(導體或半導體)兩端焊接組成閉合回路,無論導體截麵如何以及溫度如何分布,將不產生接觸電勢,溫差電勢相抵消,回路中總電勢為零。
可見,熱電偶必須由兩種不同的均質導體或半導體構成。若熱電極材料不均勻,由於溫度梯存在,將會產生附加熱電勢。
證明:熱電偶的電勢由兩個接觸電勢和兩個溫差電勢構成。即:

由於材料相同,沒有接觸電勢;而溫差電勢為大小相同,方向相反的兩個電勢,相互抵消,也為零。
應用:根據這個定律,可以檢驗兩個熱電極材料成分是否相同(稱為同名極檢驗法),也可以檢查熱電極材料的均勻性。
中間導體定律
定義:在熱電偶回路中接入中間導體(第三導體),隻要中間導體兩端溫度相同,中間導體的引入對熱電偶回路總電勢沒有影響。
證明:證明過程參考熱電偶中間定律的證明
應用:依據中間導體定律,在熱電偶實際測溫應用中,常采用熱端焊接、冷端開路的形式,冷端經連接導線與顯示儀表連接構成測溫係統。例如,用銅導線連接熱電偶冷端到儀表讀取mV值zhi,在zai導dao線xian與yu熱re電dian偶ou連lian接jie處chu產chan生sheng的de接jie觸chu電dian勢shi是shi不bu會hui對dui測ce量liang產chan生sheng附fu加jia誤wu差cha。再zai比bi如ru可ke以yi將jiang熱re電dian偶ou的de兩liang端duan不bu焊han接jie而er直zhi接jie插cha入ru液ye態tai金jin屬shu中zhong或huo直zhi接jie焊han在zai金jin屬shu表biao麵mian進jin行xing溫wen度du測ce量liang。
中間溫度定律
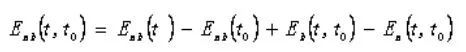
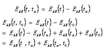
定義:熱電偶回路兩接點(溫度為t,t0)間的熱電勢,等於熱電偶在溫度為t、tn時的熱電勢與在溫度為tn、t0時的熱電勢的代數和。tn稱中間溫度。
證明:

應用:由於熱電偶E-T之間通常呈非線性關係,當冷端溫度不為0攝氏度時,不能利用已知回路實際熱電勢E(t,t0)直接查表求取熱端溫度值;也不能利用已知回路實際熱電勢E(t,t0)直接查表求取的溫度值,再加上冷端溫度確定熱端被測溫度值,需按中間溫度定律進行修正。初學者經常不按中間溫度定律來修正!
參考電極定律
定義:如果兩種導體分別與第三種導體組成的熱電偶所產生的熱電動勢已知,則由這兩種導體組成的熱電偶所產生的熱電動勢也就已知。
證明:
導體A、B分別與標準電極C組成熱電偶,若它們所產生的熱電動勢為已知,即
那麼,導體A與B組成的熱電偶,其熱電動勢為
應用:biaozhundianjidinglvshiyigejiweishiyongdedinglv。chunjinshudezhongleihenduo,erhejinleixinggengduo。yinci,yaodechuzhexiejinshuzhijianzuheerchengredianouderediandongshi,qigongzuoliangshijidade。youyubodewuli、化hua學xue性xing質zhi穩wen定ding,熔rong點dian高gao,易yi提ti純chun,所suo以yi,我wo們men通tong常chang選xuan用yong高gao純chun鉑bo絲si作zuo為wei標biao準zhun電dian極ji,隻zhi要yao測ce得de各ge種zhong金jin屬shu與yu純chun鉑bo組zu成cheng的de熱re電dian偶ou的de熱re電dian動dong勢shi,則ze各ge種zhong金jin屬shu之zhi間jian相xiang互hu組zu合he而er成cheng的de熱re電dian偶ou的de熱re電dian動dong勢shi就jiu可ke以yi得de到dao。
例如:熱端為100℃,冷端為0℃時,鎳鉻合金與純鉑組成的熱電偶的熱電動勢為2.95mV,而考銅與純鉑組成的熱電偶的熱電動勢為-4.0mV,則鎳鉻和考銅組合而成的熱電偶所產生的熱電動勢則為 2.95mV-(-4.0mV)=6.95mV。
熱電偶和熱電阻的差別
熱電偶簡介
熱電偶是工業上最常用的溫度檢測元件之一,熱電偶工作原理是基於賽貝克seeback效應,即兩種不同成分的導體兩端連接成回路,如兩連接端溫度不同,則在回路內產生熱電流的物理現象。
01 熱電偶基本測溫原理
熱(re)電(dian)偶(ou)測(ce)溫(wen)基(ji)本(ben)原(yuan)理(li)是(shi)將(jiang)兩(liang)種(zhong)不(bu)同(tong)材(cai)料(liao)的(de)導(dao)體(ti)或(huo)半(ban)導(dao)體(ti)焊(han)接(jie)起(qi)來(lai),構(gou)成(cheng)一(yi)個(ge)閉(bi)合(he)回(hui)路(lu)。由(you)於(yu)兩(liang)種(zhong)不(bu)同(tong)金(jin)屬(shu)所(suo)攜(xie)帶(dai)的(de)電(dian)子(zi)數(shu)不(bu)同(tong),當(dang)兩(liang)個(ge)導(dao)體(ti)的(de)二(er)個(ge)連(lian)接(jie)點(dian)之(zhi)間(jian)存(cun)在(zai)溫(wen)差(cha)時(shi),就(jiu)會(hui)發(fa)生(sheng)高(gao)電(dian)位(wei)向(xiang)低(di)電(dian)位(wei)放(fang)電(dian)現(xian)象(xiang),因(yin)而(er)在(zai)回(hui)路(lu)中(zhong)形(xing)成(cheng)電(dian)流(liu),溫(wen)度(du)差(cha)越(yue)大(da),電(dian)流(liu)越(yue)大(da),這(zhe)種(zhong)現(xian)象(xiang)稱(cheng)為(wei)熱(re)電(dian)效(xiao)應(ying),也(ye)叫(jiao)塞(sai)貝(bei)克(ke)效(xiao)應(ying)。熱(re)電(dian)偶(ou)就(jiu)是(shi)利(li)用(yong)這(zhe)一(yi)效(xiao)應(ying)來(lai)工(gong)作(zuo)的(de)。
02 熱電偶種類及結構構成
(1) 熱電偶的種類
常用熱電偶可分為標準熱電偶和非標準熱電偶兩大類。標準熱電偶是指國家標準規定了其熱電勢與溫度的關係、允許誤差、並(bing)有(you)統(tong)一(yi)的(de)標(biao)準(zhun)分(fen)度(du)表(biao)的(de)熱(re)電(dian)偶(ou),它(ta)有(you)與(yu)其(qi)配(pei)套(tao)的(de)顯(xian)示(shi)儀(yi)表(biao)可(ke)供(gong)選(xuan)用(yong)。非(fei)標(biao)準(zhun)化(hua)熱(re)電(dian)偶(ou)在(zai)使(shi)用(yong)範(fan)圍(wei)或(huo)數(shu)量(liang)級(ji)上(shang)均(jun)不(bu)及(ji)標(biao)準(zhun)化(hua)熱(re)電(dian)偶(ou),一(yi)般(ban)也(ye)沒(mei)有(you)統(tong)一(yi)的(de)分(fen)度(du)表(biao),主(zhu)要(yao)用(yong)於(yu)某(mou)些(xie)特(te)殊(shu)場(chang)合(he)的(de)測(ce)量(liang)。
標準化熱電偶我國從1988年1月1日起,熱電偶和熱電阻全部按IEC國際標準生產,並指定S、B、E、K、R、J、T七種標準化熱電偶為我國統一設計型熱電偶。
(2) 熱電偶的結構形式為了保證熱電偶可靠、穩定地工作,對它的結構要求如下:
①組成熱電偶的兩個熱電極的焊接必須牢固;
②兩個熱電極彼此之間應很好地絕緣,以防短路;
③補償導線與熱電偶自由端的連接要方便可靠;
④保護套管應能保證熱電極與有害介質充分隔離。
熱電阻簡介
熱(re)電(dian)阻(zu)是(shi)中(zhong)低(di)溫(wen)區(qu)最(zui)常(chang)用(yong)的(de)一(yi)種(zhong)溫(wen)度(du)檢(jian)測(ce)器(qi)。它(ta)的(de)主(zhu)要(yao)特(te)點(dian)是(shi)測(ce)量(liang)精(jing)度(du)高(gao),性(xing)能(neng)穩(wen)定(ding)。其(qi)中(zhong)鉑(bo)熱(re)電(dian)阻(zu)的(de)測(ce)量(liang)精(jing)確(que)度(du)是(shi)最(zui)高(gao)的(de),它(ta)不(bu)僅(jin)廣(guang)泛(fan)應(ying)用(yong)於(yu)工(gong)業(ye)測(ce)溫(wen),而(er)且(qie)被(bei)製(zhi)成(cheng)標(biao)準(zhun)的(de)基(ji)準(zhun)儀(yi)。
01 熱電阻測溫原理及材料
熱re電dian阻zu測ce溫wen是shi基ji於yu金jin屬shu導dao體ti的de電dian阻zu值zhi隨sui溫wen度du的de增zeng加jia而er增zeng加jia這zhe一yi特te性xing來lai進jin行xing溫wen度du測ce量liang的de。熱re電dian阻zu大da都dou由you純chun金jin屬shu材cai料liao製zhi成cheng,目mu前qian應ying用yong最zui多duo的de是shi鉑bo和he銅tong,此ci外wai,現xian在zai已yi開kai始shi采cai用yong鎳nie、錳和銠等材料製造熱電阻。
02 熱電阻的類型
(1) 普通型熱電阻
從(cong)熱(re)電(dian)阻(zu)的(de)測(ce)溫(wen)原(yuan)理(li)可(ke)知(zhi),被(bei)測(ce)溫(wen)度(du)的(de)變(bian)化(hua)是(shi)直(zhi)接(jie)通(tong)過(guo)熱(re)電(dian)阻(zu)阻(zu)值(zhi)的(de)變(bian)化(hua)來(lai)測(ce)量(liang)的(de),因(yin)此(ci),熱(re)電(dian)阻(zu)體(ti)的(de)引(yin)出(chu)線(xian)等(deng)各(ge)種(zhong)導(dao)線(xian)電(dian)阻(zu)的(de)變(bian)化(hua)會(hui)給(gei)溫(wen)度(du)測(ce)量(liang)帶(dai)來(lai)影(ying)響(xiang)。
(2) 鎧裝熱電阻
鎧裝熱電阻是由感溫元件(電阻體)、引線、絕緣材料、不鏽鋼套管組合而成的堅實體,它的外徑一般為φ2--φ8mm。與普通型熱電阻相比,它有下列優點:①體積小,內部無空氣隙,熱慣性上,測量滯後小;②機械性能好、耐振,抗衝擊;③能彎曲,便於安裝;④使用壽命長。
(3) 端麵熱電阻
端(duan)麵(mian)熱(re)電(dian)阻(zu)感(gan)溫(wen)元(yuan)件(jian)由(you)特(te)殊(shu)處(chu)理(li)的(de)電(dian)阻(zu)絲(si)材(cai)繞(rao)製(zhi),緊(jin)貼(tie)在(zai)溫(wen)度(du)計(ji)端(duan)麵(mian)。它(ta)與(yu)一(yi)般(ban)軸(zhou)向(xiang)熱(re)電(dian)阻(zu)相(xiang)比(bi),能(neng)更(geng)正(zheng)確(que)和(he)快(kuai)速(su)地(di)反(fan)映(ying)被(bei)測(ce)端(duan)麵(mian)的(de)實(shi)際(ji)溫(wen)度(du),適(shi)用(yong)於(yu)測(ce)量(liang)軸(zhou)瓦(wa)和(he)其(qi)他(ta)機(ji)件(jian)的(de)端(duan)麵(mian)溫(wen)度(du)。
(4)隔爆型熱電阻
隔(ge)爆(bao)型(xing)熱(re)電(dian)阻(zu)通(tong)過(guo)特(te)殊(shu)結(jie)構(gou)的(de)接(jie)線(xian)盒(he),把(ba)其(qi)外(wai)殼(ke)內(nei)部(bu)爆(bao)炸(zha)性(xing)混(hun)合(he)氣(qi)體(ti)因(yin)受(shou)到(dao)火(huo)花(hua)或(huo)電(dian)弧(hu)等(deng)影(ying)響(xiang)而(er)發(fa)生(sheng)的(de)爆(bao)炸(zha)局(ju)限(xian)在(zai)接(jie)線(xian)盒(he)內(nei),生(sheng)產(chan)現(xian)場(chang)不(bu)會(hui)引(yin)超(chao)爆(bao)炸(zha)。隔(ge)爆(bao)型(xing)熱(re)電(dian)阻(zu)可(ke)用(yong)於(yu)Bla--B3c級區內具有爆炸危險場所的溫度測量。
熱電阻和熱電偶的差別
1. 雖然都是接觸式測溫儀表,但它們的測溫範圍不同,熱電偶使用在溫度較高的環境,幾種常見熱電偶的測量範圍如下:

除了表中的幾種熱電偶,還有J型,T型等。熱電偶一般用於500度以上的較高溫度,因它們在低溫區時輸出熱電勢很小(查表可以看一下),當(dang)電(dian)勢(shi)小(xiao)時(shi),對(dui)抗(kang)幹(gan)擾(rao)措(cuo)施(shi)和(he)二(er)次(ci)表(biao)和(he)要(yao)求(qiu)很(hen)高(gao),否(fou)則(ze)測(ce)量(liang)不(bu)準(zhun),還(hai)有(you),在(zai)較(jiao)低(di)的(de)溫(wen)度(du)區(qu)域(yu),冷(leng)端(duan)溫(wen)度(du)的(de)變(bian)化(hua)和(he)環(huan)境(jing)溫(wen)度(du)的(de)變(bian)化(hua)所(suo)引(yin)起(qi)的(de)相(xiang)對(dui)誤(wu)差(cha)就(jiu)顯(xian)得(de)很(hen)突(tu)出(chu),不(bu)易(yi)得(de)到(dao)全(quan)補(bu)償(chang)。這(zhe)時(shi)在(zai)中(zhong)低(di)溫(wen)度(du)時(shi),一(yi)般(ban)使(shi)用(yong)熱(re)電(dian)阻(zu)測(ce)溫(wen),範(fan)圍(wei)為(wei)-200℃~500℃,甚至還可測更低的溫度(如用碳電阻可測到1K左右的低溫)。現在正常使用鉑熱電阻Pt100,在工業上也有用銅電阻,分度號為CU50和CU100,但測溫範圍較小,在-50℃~150℃之間,在一些特殊場合還有銦電阻,錳電阻。
1. 熱re電dian偶ou測ce量liang溫wen度du的de基ji本ben原yuan理li是shi熱re電dian效xiao應ying。二er次ci表biao是shi一yi個ge檢jian伏fu計ji或huo為wei了le提ti高gao精jing度du時shi使shi用yong電dian子zi電dian位wei差cha計ji。熱re電dian阻zu是shi基ji於yu導dao體ti和he半ban導dao體ti的de電dian阻zu值zhi隨sui溫wen度du而er變bian化hua的de特te性xing而er工gong作zuo的de。
2. 由you熱re電dian偶ou測ce溫wen原yuan理li可ke知zhi,隻zhi有you在zai其qi冷leng端duan溫wen度du恒heng定ding時shi,被bei測ce溫wen度du才cai與yu熱re電dian勢shi成cheng單dan值zhi函han數shu關guan係xi。在zai實shi際ji使shi用yong中zhong,就jiu用yong一yi種zhong熱re電dian特te性xing與yu相xiang應ying熱re電dian偶ou特te性xing相xiang似si的de廉lian價jia的de連lian接jie導dao線xian(也稱為補償導線),使熱電偶冷端引伸到溫度相對恒定的地方(最好為0度),如用銅--康銅做補償導線來引申鎳鉻---鎳nie矽gui熱re電dian阻zu。因yin此ci,熱re電dian偶ou到dao二er次ci表biao延yan長chang線xian是shi兩liang根gen。熱re電dian阻zu與yu二er次ci表biao之zhi間jian是shi用yong銅tong導dao線xian連lian接jie的de,為wei了le減jian小xiao環huan境jing變bian化hua引yin起qi的de測ce量liang誤wu差cha,一yi般ban均jun采cai用yong三san線xian製zhi接jie法fa,其qi中zhong有you兩liang根gen導dao線xian將jiang熱re電dian阻zu串chuan聯lian於yu相xiang鄰lin的de兩liang個ge橋qiao臂bi上shang,另ling一yi根gen導dao線xian是shi引yin來lai電dian源yuan。使shi用yong時shi要yao求qiu每mei根gen導dao線xian的de電dian阻zu值zhi與yu調tiao整zheng電dian阻zu之zhi和he都dou保bao證zheng為wei5歐姆(±0.01)。
推薦閱讀:
特別推薦
- 噪聲中提取真值!瑞盟科技推出MSA2240電流檢測芯片賦能多元高端測量場景
- 10MHz高頻運行!氮矽科技發布集成驅動GaN芯片,助力電源能效再攀新高
- 失真度僅0.002%!力芯微推出超低內阻、超低失真4PST模擬開關
- 一“芯”雙電!聖邦微電子發布雙輸出電源芯片,簡化AFE與音頻設計
- 一機適配萬端:金升陽推出1200W可編程電源,賦能高端裝備製造
技術文章更多>>
- 算力爆發遇上電源革新,大聯大世平集團攜手晶豐明源線上研討會解鎖應用落地
- 築基AI4S:摩爾線程全功能GPU加速中國生命科學自主生態
- 一秒檢測,成本降至萬分之一,光引科技把幾十萬的台式光譜儀“搬”到了手腕上
- AI服務器電源機櫃Power Rack HVDC MW級測試方案
- 突破工藝邊界,奎芯科技LPDDR5X IP矽驗證通過,速率達9600Mbps
技術白皮書下載更多>>
- 車規與基於V2X的車輛協同主動避撞技術展望
- 數字隔離助力新能源汽車安全隔離的新挑戰
- 汽車模塊拋負載的解決方案
- 車用連接器的安全創新應用
- Melexis Actuators Business Unit
- Position / Current Sensors - Triaxis Hall
熱門搜索
微波功率管
微波開關
微波連接器
微波器件
微波三極管
微波振蕩器
微電機
微調電容
微動開關
微蜂窩
位置傳感器
溫度保險絲
溫度傳感器
溫控開關
溫控可控矽
聞泰
穩壓電源
穩壓二極管
穩壓管
無焊端子
無線充電
無線監控
無源濾波器
五金工具
物聯網
顯示模塊
顯微鏡結構
線圈
線繞電位器
線繞電阻


