技術分析:LCL濾波器參數性能的比較
發布時間:2015-06-01 責任編輯:sherry
【導讀】本文根據LCL濾波器L1 + L2 ,C2 兩者之間的關係,提出了一種在濾波電容以及總電感值較低且不變的情況下,通過改變濾波電感L1,L2 的值設計出滿足並網要求且諧波抑製最為顯著的濾波器。最後在10 kVA的單相並網逆變器樣機上驗證了當濾波電感L1 大於L2 的時候,LCL濾波器的實際性能更加顯著。
光guang伏fu並bing網wang逆ni變bian器qi輸shu出chu的de並bing網wang電dian流liu中zhong含han有you大da量liang的de諧xie波bo,這zhe些xie諧xie波bo會hui導dao致zhi電dian能neng質zhi量liang的de惡e化hua,繼ji而er引yin發fa大da規gui模mo的de事shi故gu。因yin而er濾lv波bo器qi的de設she計ji對dui於yu改gai善shan電dian能neng質zhi量liang尤you為wei重zhong要yao。就jiu現xian階jie段duan而er言yan,LCL濾波器的設計方法也層出不窮。文獻[1]提出了分裂電容法,將LCL型濾波器的中間旁通電容分成並聯的前後兩部分,取兩電流的加權平均值的方法;文獻[2]根據濾波器的限製條件來確定具體參數範圍,但是具有很強的經驗性不利於設計;利用被動阻尼比的方法進行相關驗證等均存在相應的缺點。
本文依據LCL 型濾波器中濾波總電感值L1 + L2 與濾波電容C2 兩者之間的關係提出了一種在濾波電容以及總電感值較低且不變的情況下,通過改變濾波電感L1 ,L2 的值即當濾波電感L1 大於濾波電感L2 時設計出滿足並網要求且諧波含有量較少的濾波器。並且通過實驗驗證了在濾波電容以及總電感值較低且不變的情況下,濾波電感L1 大於濾波電感L2 的濾波效果明顯優於濾波電感L2 大於濾波電感L1 所設計的LCL濾波器。
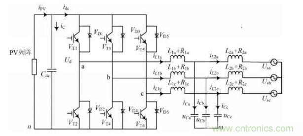
1 三相並網逆變器拓撲結構
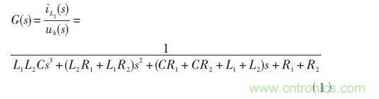
圖1 為三相並網逆變器的拓撲結構圖,iPV 為直流電流,Cdc 為直流母線電容,Ud 為直流母線電壓;VT1~VT6為三相逆變的6個IGBT橋臂。R1 ,R2 分別為兩側濾波電感的內阻。該拓撲結構中LCL型濾波器的傳遞函數可以表示為如下:

2 濾波器參數性能分析
由於LCL濾波器在抑製諧波方麵效果顯著,故本文就LCL濾波器的參數性能進行相關比較,最後設計出一種滿足並網要求且諧波抑製最為顯著的濾波器。依據圖1所示的並網逆變器拓撲結構中濾波電感L1 、L2 和濾波電容C2 ,通過Matlab 仿真得到LCL 型濾波器中濾波總電感值L1 + L2 與濾波電容C2 兩者之間的關係如圖2 所示,並且可以看出:在濾波電容C2 值越大的時候,L1 + L2 總電感量值越小。

圖1 三相並網逆變器並網拓撲結構

圖2 濾波器中C2 與L1 + L2 之間的關係
依據上述仿真結果,本文在保持濾波電容、總電感值較小且不變的情況下,通過改變L1 ,L2 進行相關性能比較,最後提出在濾波電容C2 值以及L1 + L2 總電感量值不變的情況下,L1 電感值大於L2 電感值的時候,此時LCL濾波器的性能達到最優。並且依據濾波器的限製條件對濾波器的參數進行如下設計:
(1)諧振頻率可以表示為:

3 實驗驗證
在額定容量10 kVA的單相並網逆變器樣機上其電路拓撲如圖1所示,給定電網額定電壓230 V,直流電壓580 V,調製頻率5 kHz,並且保持濾波電容C1 為20 μF且總電感值L1 + L2 為2.5 mH 不變的情況下,通過改變L1 ,L2 的參數進行相關比較實驗,分別得到了逆變電壓以及並網電流的波形圖如圖3所示。



圖3 實驗波形
通過上述實驗可以明顯看出在濾波電容、總電感值不變的情況下,當濾波電感L1 大於L2 的時候相比L2 大於L1 時所設計的LCL 濾波器的實際性能更加優越,即逆變器逆變輸出電壓以及並網電流的電能質量更加優化。
特別推薦
- 噪聲中提取真值!瑞盟科技推出MSA2240電流檢測芯片賦能多元高端測量場景
- 10MHz高頻運行!氮矽科技發布集成驅動GaN芯片,助力電源能效再攀新高
- 失真度僅0.002%!力芯微推出超低內阻、超低失真4PST模擬開關
- 一“芯”雙電!聖邦微電子發布雙輸出電源芯片,簡化AFE與音頻設計
- 一機適配萬端:金升陽推出1200W可編程電源,賦能高端裝備製造
技術文章更多>>
- 一秒檢測,成本降至萬分之一,光引科技把幾十萬的台式光譜儀“搬”到了手腕上
- AI服務器電源機櫃Power Rack HVDC MW級測試方案
- 突破工藝邊界,奎芯科技LPDDR5X IP矽驗證通過,速率達9600Mbps
- 通過直接、準確、自動測量超低範圍的氯殘留來推動反滲透膜保護
- 從技術研發到規模量產:恩智浦第三代成像雷達平台,賦能下一代自動駕駛!
技術白皮書下載更多>>
- 車規與基於V2X的車輛協同主動避撞技術展望
- 數字隔離助力新能源汽車安全隔離的新挑戰
- 汽車模塊拋負載的解決方案
- 車用連接器的安全創新應用
- Melexis Actuators Business Unit
- Position / Current Sensors - Triaxis Hall
熱門搜索




