有效防止IGBT短路新設計
發布時間:2013-05-29 責任編輯:felixsong
【導讀】短路故障是IGBT裝置中常見的故障之一,本文針對高壓大容量IGBT的短路故障,分析了IGBT的短路特性,基於已有的IGBT驅動器和有源電壓箝位技術,設計了一種閉環控製IGBT關斷過電壓的驅動電路。通過實驗證明,這種電路可以提高IGBT短路保護的可靠性。
IGBT被廣泛用於各類pwm變流器,如ups、變頻器、有源電力濾波器等。隨著IGBT製造工藝的發展,如今,IGBT的額定電流和電壓已分別提升到3600a和6500v,由大功率IGBT構成的現代化兆瓦級變流器,廣泛出現在各類工業應用當中,尤其是近年來,隨著新能源發電技術的發展,中大功率IGBT得(de)到(dao)了(le)更(geng)為(wei)廣(guang)泛(fan)的(de)應(ying)用(yong)。隨(sui)著(zhe)變(bian)流(liu)器(qi)容(rong)量(liang)的(de)提(ti)升(sheng),變(bian)流(liu)器(qi)在(zai)整(zheng)個(ge)係(xi)統(tong)的(de)成(cheng)本(ben)以(yi)及(ji)可(ke)靠(kao)性(xing)中(zhong)所(suo)占(zhan)的(de)比(bi)重(zhong)日(ri)益(yi)增(zeng)大(da),因(yin)此(ci),兆(zhao)瓦(wa)級(ji)變(bian)流(liu)器(qi)的(de)可(ke)靠(kao)性(xing)成(cheng)為(wei)廣(guang)泛(fan)關(guan)注(zhu)的(de)問(wen)題(ti)。
短路時IGBT失效的原因
短路故障是電力電子裝置中常見的故障之一。電機繞組絕緣擊穿、電機電纜絕緣擊穿、誤操作、驅動指令錯誤、不足的死區時間,都會造成短路故障的發生。
通常,IGBT短路故障致使IGBT損壞的原因主要有以下三種。總的來說,這三種原因都可以歸結為器件中矽材料或焊接導線的熱效應所引起。
(1)超出矽材料的熱極限
短路過程中,IGBT承受整個vdc電壓,同時ic為正常電流的若幹倍。IGBT將承受遠大於正常運行狀態下的損耗,從而使得IGBT的結溫迅速升高。如果結溫超過了允許的最高結溫,IGBT將因熱積累作用失去阻斷能力。vce將迅速降低,隨後整個器件完全損壞。通常,IGBT生產廠家都會保證在特定情況下10μs的短路耐受時間。
(2)IGBT擎住效應
在IGBT中存在一個寄生的npn三極管,正常運行情況下,這個npn三極管被擴散電阻旁路,不會開通。然而,在ic很大的情況下,例如短路發生時,這個npn三極管將開通,這樣IGBT門極將失去對IGBT的控製力。最終,IGBT將因為過大的電流使芯片和焊接導線上產生過大的損耗而損壞。
(3)vce過電壓
在保護電路控製IGBT主動關斷由於短路引起的大電流時,由於分布電感的存在會產生vce過電壓,vce超過了特定的限製。IGBT將因雪崩擊穿而損壞;與短路電流相等的ic將集中於一塊很窄的矽上從而產生一個高溫的熱點,因此,IGBT失去它的阻斷能力,並在幾十ns內失去電壓。為了防止由於這類原因造成IGBT失效,除了主回路的分布電感應盡可能地小,還需要一種帶有vce控製的門極驅動器。
短路故障的關斷過電壓
通常情況下,IGBT短路故障被分為兩類,開通短路(hsf)和通態短路(ful)。
開通短路是指負載短路發生在IGBT開通過程中,如圖1a)所示。IGBT在t1時刻開始開通,ic迅速升高!dic/dt由門極驅動電路的特性和 IGBT的跨導決定。vce先下降,很短時間後重新開始上升,穩態時,vce略低於IGBT斷態電壓——直流側電壓vdc。

圖1:兩種IGBT短路故障特性
通態短路是指在IGBT已經開通進入穩定導通狀態之後,負載發生短路,如圖1b)所示。短路發生後,ic上升,dic/dt由短路阻抗和直流側電壓vdc決定。當ic升高至由門極電壓vge和IGBT跨導所決定的穩態最大電流後,IGBT將退出飽和區,vce開始升高。vce的升高將通過米勒電容cgc耦合一個電流對IGBT門極進行充電,從而使得vge升高。vge的升高將使得ic繼續增大,從而使得ic表現出很大的過衝,這將導致IGBT擎住現象發生甚至毀壞。
仔細觀察圖1中vce曲線,可以發現,在短路過程中,vce出現兩次過衝。第一次過衝是因為IGBT自身的限流作用,第二次是因為人為的IGBT關斷指令。通常,第二次電壓過衝是很高的,如果沒有進行妥善的處理,可能造成IGBT因為vce過電壓而損壞。本文主要針對解決此問題,從門極驅動器的角度,展示了一種解決方法,保護IGBT免於由於此類故障損壞。

圖2:換流回路的等效電路
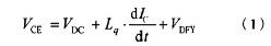
IGBT關斷過電壓是存儲在主回路分布電感中的能量重新分配的結果,無論何時,隻要流經IGBT、母排、直流側電容的電流發生換向,關斷過電壓都將出現。在如圖2所示的等效電路圖中,可得vce如下:
其中,lq包括了母排中的電感,直流側電容中的等效串聯電感以及IGBT封裝中的電感。vdfy表示反並聯二極管的正向恢複電壓,通常為10到50v。
為了保證vce在IGBT的額定範圍以內換流電流變化率必須滿足下式。

相關閱讀:
大功率開關電源IGBT短路保護的三種設計方法
http://m.0-fzl.cn/cp-art/80019306
一種新型的IGBT短路保護電路的設計
http://m.0-fzl.cn/motor-art/80000715
第二講:基於IGBT的高能效電源設計
http://m.0-fzl.cn/gptech-art/80020858
[page]
短路時關斷過電壓的抑製方法
傳統保護方法
傳統IGBT驅動器 的控製框圖如圖3所示。正常運行時,IGBT經rg_on開通,經rg_off關斷。當短路或過流故障發生時,為了限製關斷過電壓,IGBT經阻值較大的電阻rg_fault關斷。這將使vge緩慢下降,從而消除顯著的關斷過電壓。然而,這是一種開環的控製方法,無法完全保證IGBT在任何情況下都能夠安 全的關斷。同時,任何短路檢測方法都需要一定的檢測時間,如果IGBT關斷信號在短路故障檢測出之前使能,IGBT將經rg_off關斷,這樣一來,IGBT損壞將不可避免。

圖3:傳統的驅動電路
對於傳統驅動器中存在的問題,本文中使用一種被稱為“有源電壓箝位技術”的方法,設計了一種閉環的保護驅動電路,如圖4所示。

圖4:所采用的的閉環保護方法示意圖
圖4中z為瞬態抑製二極管,瞬態抑製二極管為一種瞬態衝擊電壓保護器件,反應時間可以達到ns級。相比壓敏電阻,其反應速度快,然而瞬態容量和穩態容量都遠小於壓敏電阻。
在檢測到短路故障之後,IGBT經rg_fault關斷,當vce升高至瞬態抑製二極管的擊穿電壓時,電流通過瞬態抑製二極管向IGBT門極充電,提升IGBT的門極電壓vge,隨著vce的繼續升高,流過瞬態抑製二極管的電流將增大,從而動態的改變dic/dt,實現了關於vce的閉環保護。
實驗結果
實驗的等效電路圖如圖2所示。驗證性實驗使用一隻Infineon公司的半橋IGBT模塊ff450r17me3作為功率開關,9隻低感薄膜電容——每隻225μf/1200v——組成直流側電容,功率開關與直流側電容通過基於印刷電路板的疊形母排連接,以保證較低的主回路分布電感。ff450r17me3為采用Infineon公司第三代IGBT芯片技術,具有更低的導通壓降,更快的開關速度,同時,采用了新的econodual封 裝模式,保證了IGBT封裝內部更低的分布電感。

圖5:試驗工作台
驅動板采用infineon的1700v IGBT驅動器2ed300c17作為核心器件,提供良好的隔離和兩路隔離的正負30a的峰值驅動電流能力,以及過流保護、欠壓保護等。通過實時檢測導通時的vce電壓,能夠快速判定短路故障,及時控製門極電平,實現IGBT的軟關斷。其故障狀態下的軟關斷功能和有源電壓箝位功能共同作用,有效地抑製了在故障狀態下關斷IGBT時產生的高di/dt,降低了IGBT兩端的關斷過電壓,保證在最嚴重的的短路下實現安全有效的保護。

圖6:短路試驗結果
在vdc=1200v下進行了短路試驗,試驗波形如圖6所示。可見,在關斷開通短路電流和通態短路電流時,vcemax被可靠地箝位在1350v,小於vces(1700v),使IGBT工作於安全工作區間內,有效地保護了IGBT,所采用的有源電壓箝位技術達到了預期的效果。
相關閱讀:
大功率開關電源IGBT短路保護的三種設計方法
http://m.0-fzl.cn/cp-art/80019306
一種新型的IGBT短路保護電路的設計
http://m.0-fzl.cn/motor-art/80000715
第二講:基於IGBT的高能效電源設計
http://m.0-fzl.cn/gptech-art/80020858
特別推薦
- 噪聲中提取真值!瑞盟科技推出MSA2240電流檢測芯片賦能多元高端測量場景
- 10MHz高頻運行!氮矽科技發布集成驅動GaN芯片,助力電源能效再攀新高
- 失真度僅0.002%!力芯微推出超低內阻、超低失真4PST模擬開關
- 一“芯”雙電!聖邦微電子發布雙輸出電源芯片,簡化AFE與音頻設計
- 一機適配萬端:金升陽推出1200W可編程電源,賦能高端裝備製造
技術文章更多>>
- 築基AI4S:摩爾線程全功能GPU加速中國生命科學自主生態
- 一秒檢測,成本降至萬分之一,光引科技把幾十萬的台式光譜儀“搬”到了手腕上
- AI服務器電源機櫃Power Rack HVDC MW級測試方案
- 突破工藝邊界,奎芯科技LPDDR5X IP矽驗證通過,速率達9600Mbps
- 通過直接、準確、自動測量超低範圍的氯殘留來推動反滲透膜保護
技術白皮書下載更多>>
- 車規與基於V2X的車輛協同主動避撞技術展望
- 數字隔離助力新能源汽車安全隔離的新挑戰
- 汽車模塊拋負載的解決方案
- 車用連接器的安全創新應用
- Melexis Actuators Business Unit
- Position / Current Sensors - Triaxis Hall
熱門搜索
微波功率管
微波開關
微波連接器
微波器件
微波三極管
微波振蕩器
微電機
微調電容
微動開關
微蜂窩
位置傳感器
溫度保險絲
溫度傳感器
溫控開關
溫控可控矽
聞泰
穩壓電源
穩壓二極管
穩壓管
無焊端子
無線充電
無線監控
無源濾波器
五金工具
物聯網
顯示模塊
顯微鏡結構
線圈
線繞電位器
線繞電阻


