D類放大器的散熱考慮
發布時間:2012-04-09
中心議題:
- D類放大器的PCB的散熱考慮
- D類放大器的輔助散熱
- D類放大器的負載阻抗
解決方案:
- D類放大器采用TQFN或TQFP封裝時,裸露焊盤是其主要散熱通道
- 選擇最佳的阻抗和電源電壓使輸出功率最大
- D類放大器右側較寬的布線有助於導熱
在實驗室評估Dleifangdaqixingnengshi,changshiyonglianxuzhengxianbozuoweixinhaoyuan。jinguanshiyongzhengxianbojinxingceliangbijiaofangbian,danzheyangdeceliangjieguoqueshifangdaqizaizuihuaiqingkuangxiaderefuzai。ruguoyongjiejinzuidashuchugonglvdelianxuzhengxianboqudongD類放大器,則放大器常常會進入熱關斷狀態。
常見的音源,包含樂音和語音,其RMS值往往比峰值輸出功率低得多。通常情況下,語音的峰值與RMS功率之比(即波峰因數)為12dB,而樂音的波峰因數為 18~20dB。圖1為時域內音頻信號和正弦波的波形圖,給出了采用示波器測量兩者RMS值的結果。雖然音頻信號峰值略高於正弦波,但其RMSzhidagaizhiyouzhengxianbodeyiban。tongyang,yinpinxinhaokenengcunzaitubian,danzhengruceliangjieguosuoshi,qipingjunzhirengyuandiyuzhengxianbo。suiranyinpinxinhaokenengjuyouyuzhengxianboxiangjindefengzhi,danDleifangdaqibiaoxianchulaiderexiaoyingquedadadiyuzhengxianbo。yinci,celiangxitongderexingnengshi,zuihaoshiyongshijiyinpinxinhaoerfeizhengxianbozuoweixinhaoyuan。ruguozhinengshiyongzhengxianbo,zesuodedaoderexingnengyaobishijixitongcha。

圖1 正弦波的RMS值高於音頻信號的RMS值
PCB的散熱考慮
在工業標準TQFN封裝中,裸露的焊盤是IC散熱的主要途徑。對於底部有裸露焊盤的封裝,PCB及其敷銅層是D類放大器主要的散熱渠道。如圖2所示,將D類放大器貼裝到常見的PCB,最好根據以下原則:將裸露焊盤焊接到大麵積敷銅塊。盡可能在敷銅塊與臨近的具有等電勢的D類放大器引腳以及其他元件之間多布一些敷銅。本文的案例中,敷銅層與散熱焊盤的右上方和右下方相連(見圖2)。敷銅走線應盡可能寬,因為這將影響到係統的整體散熱性能。

圖2 D類放大器采用TQFN或TQFP封裝時,裸露焊盤是其主要散熱通道
[page]
與裸露焊盤相接的敷銅塊應該用多個過孔連到PCB背bei麵mian的de其qi他ta敷fu銅tong塊kuai上shang,並bing應ying該gai在zai滿man足zu係xi統tong信xin號hao走zou線xian的de要yao求qiu下xia具ju有you盡jin可ke能neng大da的de麵mian積ji。加jia寬kuan所suo有you與yu器qi件jian的de連lian線xian,這zhe將jiang有you益yi於yu改gai善shan係xi統tong的de散san熱re性xing能neng。雖sui然ranIC的引腳並不是主要的散熱通道,但實際應用中仍然會有少量發熱。圖3所示的PCB中,寬連線將D類放大器的輸出與圖右側的兩個電感相連。在這種情況下,電感的銅芯繞線也可為D類放大器提供額外的散熱通道。雖然對整體熱性能的改善不到10%,但這樣的改善卻會給係統帶來兩種截然不同的結果—係統具備較理想的散熱或出現較嚴重的發熱。

圖3 D類放大器右側較寬的布線有助於導熱
輔助散熱
當D類放大器在較高的環境溫度下工作時,增加外部散熱片可以改善PCB的熱性能。該散熱片的熱阻必須盡可能小,以使散熱性能最佳。采用底部的裸露焊盤後,PCB底部往往是熱阻最低的散熱通道。IC的頂部並不是器件的主要散熱通道,因此在此安裝散熱片不劃算。
熱計算
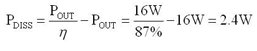
D類放大器的管芯溫度可以通過一些基本計算進行估計。本例中根據下列條件計算其溫度:
· TAM= +40℃
· POUT= 16W
· η = 87%
· θJA= 21℃/W
首先,計算D類放大器的功耗:
(1)
然後,通過功耗計算管芯溫度TC,公式如下:
TC=TA+PDISS×θJA= 40℃+2.4W×21℃/W=90.4℃ (2)
根據這些數據,可以推斷出該器件工作時具有較為理想的性能。因為係統很少能正好工作在25℃的理想環境溫度下,因此應該根據係統的實際使用環境溫度進行合理的估算。
負載阻抗
D 類放大器MOSFET輸出級的導通電阻會影響它的效率和峰值電流能力。降低負載的峰值電流可減少MOSFET的I2R損耗,進而提高效率。要降低峰值電流,應在保證輸出功率, D類放大器的電壓擺幅以及電源電壓的限製的條件下,選擇最大阻抗的揚聲器,如圖4所示。本例中,假設D類放大器的輸出電流為2A,電源電壓範圍為 5~24V。電源電壓大於等於8V時,4Ω的負載電流將達到2A,相應的最大連續輸出功率為8W。如果8W的輸出功率能滿足要求,則可以考慮使用一個 12Ω揚聲器和15V供電電壓,此時的峰值電流限製在1.25A,對應的最大連續輸出功率為9.4W。此外,12Ω負載的工作效率要比4Ω負載的高出 10%~15%。實際效率的提高根據不同D類放大器而異。雖然大多數揚聲器的阻抗都采用4Ω或8Ω,但也可采用其他阻抗的揚聲器實現更高效的散熱。

圖4 選擇最佳的阻抗和電源電壓使輸出功率最大
[page]
另外還需要注意音頻帶寬內負載阻抗的變化。揚聲器是一個複雜的機電係統,具有多種諧振元件。換言之,8Ω的揚聲器隻在很窄的頻帶內才呈現出8Ω阻抗。在大部分音頻帶寬內,阻抗都會大於其標稱值,如圖5示。在大部分音頻帶寬內,該揚聲器的阻抗都會遠大於其8Ω的標稱值。然而,高頻揚聲器和分頻網絡的存在將降低阻抗值。因此必須考慮係統的總阻抗以確保足夠的電流驅動能力和散熱性能。

圖5 8Ω阻抗、13cm口徑揚聲器的阻抗隨頻率改變而急劇變化
結論
D類放大器的效率相比AB類(lei)放(fang)大(da)器(qi)有(you)很(hen)大(da)提(ti)高(gao),雖(sui)然(ran)這(zhe)一(yi)效(xiao)率(lv)優(you)勢(shi)降(jiang)低(di)了(le)係(xi)統(tong)設(she)計(ji)時(shi)對(dui)散(san)熱(re)性(xing)能(neng)設(she)計(ji)的(de)要(yao)求(qiu),但(dan)仍(reng)然(ran)不(bu)能(neng)完(wan)全(quan)忽(hu)視(shi)係(xi)統(tong)散(san)熱(re)性(xing)能(neng)。如(ru)果(guo)能(neng)夠(gou)遵(zun)循(xun)良(liang)好(hao)的(de)設(she)計(ji)原(yuan)則(ze)並(bing)且(qie)設(she)定(ding)合(he)理(li)的(de)設(she)計(ji)目(mu)標(biao),使(shi)用(yong)D類放大器可使音頻係統設計更簡單。
- 噪聲中提取真值!瑞盟科技推出MSA2240電流檢測芯片賦能多元高端測量場景
- 10MHz高頻運行!氮矽科技發布集成驅動GaN芯片,助力電源能效再攀新高
- 失真度僅0.002%!力芯微推出超低內阻、超低失真4PST模擬開關
- 一“芯”雙電!聖邦微電子發布雙輸出電源芯片,簡化AFE與音頻設計
- 一機適配萬端:金升陽推出1200W可編程電源,賦能高端裝備製造
- 貿澤EIT係列新一期,探索AI如何重塑日常科技與用戶體驗
- 算力爆發遇上電源革新,大聯大世平集團攜手晶豐明源線上研討會解鎖應用落地
- 創新不止,創芯不已:第六屆ICDIA創芯展8月南京盛大啟幕!
- AI時代,為什麼存儲基礎設施的可靠性決定數據中心的經濟效益
- 矽典微ONELAB開發係列:為毫米波算法開發者打造的全棧工具鏈
- 車規與基於V2X的車輛協同主動避撞技術展望
- 數字隔離助力新能源汽車安全隔離的新挑戰
- 汽車模塊拋負載的解決方案
- 車用連接器的安全創新應用
- Melexis Actuators Business Unit
- Position / Current Sensors - Triaxis Hall



