峰值電流限流的優化方案
發布時間:2011-12-12
中心議題:
引言
電流限製是開關式電源轉換器的一個重要保護功能,它可以在電流限製模式下限製可用的輸出電流,以防止出現係統故障。峰值電流限製是目前業內普遍采用的電流限製方法。每當電感的電流IL超出閾值IV時,電源轉換器的開關(如圖1所示)便會關斷,以製止電流從輸入電壓源VIN注入,直至IL小於IV時,開關才會重新開通。由於輸出電流IOUT總是等於IL的平均值(在工作期間IL呈線型紋波),故在電流限製模式下的IOUT(CL,DES) 為:
(1)
式中的IL(RIPPLE)是IL紋波的峰峰值。
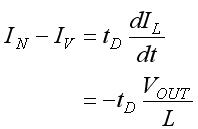
一般而言,通常采用比較器來檢測IL是否超出IV,以決定關斷或重新開通。可是,比較器會帶來延時tD,影響閾值的有效值。如圖2所示,比較器在t1時刻檢測到IL< p> V,可是偶遇延時tD,開關會在t2時刻被恢複。基於這個原因,有效閥值IN便會低於IV,這樣,實際的輸出IOUT(CL)為:
(2)
當IN<> V時,上述數值便會小於IOUT(CL,DES)。結果,在比較器中的tD會消減IOUT(CL) 。
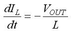
進一步研究,可發現IN會受電感L的影響。考慮到IL的電流變化率為:
(3)
式中的t是時間,而VOUT是電源轉換器(如圖1所示)的輸出電壓。當L減小時,便會相應減少。由於tD不會受ILS、L和VOUT影響,並且VOUT也不受L影響,所以IN會隨著L而下降。這種關係可用下式表示:
(4)
圖 1 降壓電源轉換器

從式(4)中可清楚地看到IN-IV由增大L或減少tD來降低。可是高級電源轉換器為減少元件尺寸,已傾向於朝著高頻化發展。因此,預計L會比較小。另一方麵,tD的減少會導致比較器的轉換速率增大,這會增加功率的損耗,從而降低整體的轉換效率。再者,工作頻率有可能超出1MHz,使開關周期達至1ms 。毫無疑問,tD的減少意味著比較器的帶寬很高,這在現實中很難實現。由此可以看出,在這種情況下,較小的L會被使用,加上tD也與開關周期相匹配,所以IN將會在工作頻率較高時降低。
[page]
結果,IOUT(CL)會在工作頻率較高時明顯小於IOUT(CL,DES),並會在低工作頻率時維持正常水平。盡管IV可設定為較高值,以確保IOUT(CL)可達到IOUT(CL, DES),但這種超常的設計會為MOSFET帶來一些問題。比如說,為了在電流限製模式下處理更多的電流,需要更大的電感和電路板尺寸。前者將會增加整體電路的大小和成本,而後者則會增加電路的生產成本。
優化方案
要減少IOUT(CL)的下降,建議使用一個可變的IV來取代一個固定的IV。IV的變化取決於IL(RIPPLE)的平均值:即輸出電流IOUT。在電流限製模式下,假如IOUT(CL)由於tD而減少,那麼IV將會增加,直至IOUT(CL)達到ILR參考值。這樣,IOUT(CL)將不會再受到tD的影響。優化提案的框圖如圖3所示。當中采用一個低通濾波器(LPF)來均化IL及其輸出,並且給出一個誤差放大器的ILR參考值。采用一個積分器,通過誤差放大器的輸出可以產生一個可變IV。結果,I可達到一個令IOUT(CL)與ILR相等的值,而IOUT(CL)也可脫離tD的影響。
為了說明這個方案,圖1中的降壓轉換器會采用這些配置:L=20mH、COUT=47mF、RL值在2.64W(正常模式)~1.1W(電流限製模式)間轉換,並會使用一個tD=100ns的比較器,而IOUT(CL,DES)和IL(RIPPLE)分別是2.5A和0.3A。不過,如果使用傳統的峰值電流限製方法,那麼式(1)中的IV便會設定為2.35A,傳統方法的模擬結果如圖4所示。由此可以看到,IOUT(CL)會由於tD的影響而低於2.5A。然而,使用新方法並將ILR設定在2.5A,IOUT(CL)便可如圖5所示達到2.5A。於是,傳統方法中出現的問題便能夠在該方案中解決。
- 探究峰值電流限流的優化方案
- 采用峰值電流限流的方法
- 采用比較器來檢測IL是否超出IV
引言
電流限製是開關式電源轉換器的一個重要保護功能,它可以在電流限製模式下限製可用的輸出電流,以防止出現係統故障。峰值電流限製是目前業內普遍采用的電流限製方法。每當電感的電流IL超出閾值IV時,電源轉換器的開關(如圖1所示)便會關斷,以製止電流從輸入電壓源VIN注入,直至IL小於IV時,開關才會重新開通。由於輸出電流IOUT總是等於IL的平均值(在工作期間IL呈線型紋波),故在電流限製模式下的IOUT(CL,DES) 為:
式中的IL(RIPPLE)是IL紋波的峰峰值。
一般而言,通常采用比較器來檢測IL是否超出IV,以決定關斷或重新開通。可是,比較器會帶來延時tD,影響閾值的有效值。如圖2所示,比較器在t1時刻檢測到IL< p> V,可是偶遇延時tD,開關會在t2時刻被恢複。基於這個原因,有效閥值IN便會低於IV,這樣,實際的輸出IOUT(CL)為:
當IN<> V時,上述數值便會小於IOUT(CL,DES)。結果,在比較器中的tD會消減IOUT(CL) 。
進一步研究,可發現IN會受電感L的影響。考慮到IL的電流變化率為:
(3)式中的t是時間,而VOUT是電源轉換器(如圖1所示)的輸出電壓。當L減小時,便會相應減少。由於tD不會受ILS、L和VOUT影響,並且VOUT也不受L影響,所以IN會隨著L而下降。這種關係可用下式表示:
(4)圖 1 降壓電源轉換器

[page]
結果,IOUT(CL)會在工作頻率較高時明顯小於IOUT(CL,DES),並會在低工作頻率時維持正常水平。盡管IV可設定為較高值,以確保IOUT(CL)可達到IOUT(CL, DES),但這種超常的設計會為MOSFET帶來一些問題。比如說,為了在電流限製模式下處理更多的電流,需要更大的電感和電路板尺寸。前者將會增加整體電路的大小和成本,而後者則會增加電路的生產成本。
圖2 電感器電流波形(檢測到IL

優化方案
要減少IOUT(CL)的下降,建議使用一個可變的IV來取代一個固定的IV。IV的變化取決於IL(RIPPLE)的平均值:即輸出電流IOUT。在電流限製模式下,假如IOUT(CL)由於tD而減少,那麼IV將會增加,直至IOUT(CL)達到ILR參考值。這樣,IOUT(CL)將不會再受到tD的影響。優化提案的框圖如圖3所示。當中采用一個低通濾波器(LPF)來均化IL及其輸出,並且給出一個誤差放大器的ILR參考值。采用一個積分器,通過誤差放大器的輸出可以產生一個可變IV。結果,I可達到一個令IOUT(CL)與ILR相等的值,而IOUT(CL)也可脫離tD的影響。

圖 3 改良方案的模塊圖

圖 4 傳統方案的模擬結果

圖 5 改良方案的模擬結果
為了說明這個方案,圖1中的降壓轉換器會采用這些配置:L=20mH、COUT=47mF、RL值在2.64W(正常模式)~1.1W(電流限製模式)間轉換,並會使用一個tD=100ns的比較器,而IOUT(CL,DES)和IL(RIPPLE)分別是2.5A和0.3A。不過,如果使用傳統的峰值電流限製方法,那麼式(1)中的IV便會設定為2.35A,傳統方法的模擬結果如圖4所示。由此可以看到,IOUT(CL)會由於tD的影響而低於2.5A。然而,使用新方法並將ILR設定在2.5A,IOUT(CL)便可如圖5所示達到2.5A。於是,傳統方法中出現的問題便能夠在該方案中解決。
特別推薦
- 噪聲中提取真值!瑞盟科技推出MSA2240電流檢測芯片賦能多元高端測量場景
- 10MHz高頻運行!氮矽科技發布集成驅動GaN芯片,助力電源能效再攀新高
- 失真度僅0.002%!力芯微推出超低內阻、超低失真4PST模擬開關
- 一“芯”雙電!聖邦微電子發布雙輸出電源芯片,簡化AFE與音頻設計
- 一機適配萬端:金升陽推出1200W可編程電源,賦能高端裝備製造
技術文章更多>>
- 邊緣AI的發展為更智能、更可持續的技術鋪平道路
- 每台智能體PC,都是AI時代的新入口
- IAR作為Qt Group獨立BU攜兩項重磅汽車電子應用開發方案首秀北京車展
- 構建具有網絡彈性的嵌入式係統:來自行業領袖的洞見
- 數字化的線性穩壓器
技術白皮書下載更多>>
- 車規與基於V2X的車輛協同主動避撞技術展望
- 數字隔離助力新能源汽車安全隔離的新挑戰
- 汽車模塊拋負載的解決方案
- 車用連接器的安全創新應用
- Melexis Actuators Business Unit
- Position / Current Sensors - Triaxis Hall
熱門搜索
Future
GFIVE
GPS
GPU
Harting
HDMI
HDMI連接器
HD監控
HID燈
I/O處理器
IC
IC插座
IDT
IGBT
in-cell
Intersil
IP監控
iWatt
Keithley
Kemet
Knowles
Lattice
LCD
LCD模組
LCR測試儀
lc振蕩器
Lecroy
LED
LED保護元件
LED背光




