鎖相環的組成和工作原理
發布時間:2011-11-07
中心議題:
1.鎖相環的基本組成
許多電子設備要正常工作,通常需要外部的輸入信號與內部的振蕩信號同步,利用鎖相環路就可以實現這個目的。
鎖相環路是一種反饋控製電路,簡稱鎖相環(PLL)。鎖相環的特點是:利用外部輸入的參考信號控製環路內部振蕩信號的頻率和相位。
因(yin)鎖(suo)相(xiang)環(huan)可(ke)以(yi)實(shi)現(xian)輸(shu)出(chu)信(xin)號(hao)頻(pin)率(lv)對(dui)輸(shu)入(ru)信(xin)號(hao)頻(pin)率(lv)的(de)自(zi)動(dong)跟(gen)蹤(zong),所(suo)以(yi)鎖(suo)相(xiang)環(huan)通(tong)常(chang)用(yong)於(yu)閉(bi)環(huan)跟(gen)蹤(zong)電(dian)路(lu)。鎖(suo)相(xiang)環(huan)在(zai)工(gong)作(zuo)的(de)過(guo)程(cheng)中(zhong),當(dang)輸(shu)出(chu)信(xin)號(hao)的(de)頻(pin)率(lv)與(yu)輸(shu)入(ru)信(xin)號(hao)的(de)頻(pin)率(lv)相(xiang)等(deng)時(shi),輸(shu)出(chu)電(dian)壓(ya)與(yu)輸(shu)入(ru)電(dian)壓(ya)保(bao)持(chi)固(gu)定(ding)的(de)相(xiang)位(wei)差(cha)值(zhi),即(ji)輸(shu)出(chu)電(dian)壓(ya)與(yu)輸(shu)入(ru)電(dian)壓(ya)的(de)相(xiang)位(wei)被(bei)鎖(suo)住(zhu),這(zhe)就(jiu)是(shi)鎖(suo)相(xiang)環(huan)名(ming)稱(cheng)的(de)由(you)來(lai)。
鎖相環通常由鑒相器(PD)、環路濾波器(LF)和壓控振蕩器(VCO)三部分組成,鎖相環組成的原理框圖如圖8-4-1所示。鎖相環中的鑒相器又稱為相位比較器,它的作用是檢測輸入信號和輸出信號的相位差,並將檢測出的相位差信號轉換成uD(t)電壓信號輸出,該信號經低通濾波器濾波後形成壓控振蕩器的控製電壓uC(t),對振蕩器輸出信號的頻率實施控製。
2.鎖相環的工作原理
鎖相環中的鑒相器通常由模擬乘法器組成,利用模擬乘法器組成的鑒相器電路如圖8-4-2所示。
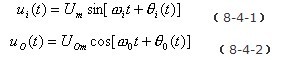
鑒相器的工作原理是:設外界輸入的信號電壓和壓控振蕩器輸出的信號電壓分別為:
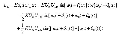
式中的ω0為壓控振蕩器在輸入控製電壓為零或為直流電壓時的振蕩角頻率,稱為電路的固有振蕩角頻率。則模擬乘法器的輸出電壓uD為:
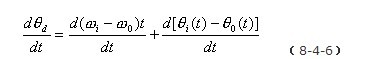
式中的ωi為輸入信號的瞬時振蕩角頻率,θi(t)和θO(t)分別為輸入信號和輸出信號的瞬時位相,根據相量的關係可得瞬時頻率和瞬時位相的關係為:
上式等於零,說明鎖相環進入相位鎖定的狀態,此時輸出和輸入信號的頻率和相位保持恒定不變的狀態,uc(t)為恒定值。當上式不等於零時,說明鎖相環的相位還未鎖定,輸入信號和輸出信號的頻率不等,uc(t)隨時間而變。
[page]
因壓控振蕩器的壓控特性如圖8-4-3所示,該特性說明壓控振蕩器的振蕩頻率ωu以ω0為中心,隨輸入信號電壓uc(t)的變化而變化。該特性的表達式
上式說明當uc(t)隨時間而變時,壓控振蕩器的振蕩頻率ωu也隨時間而變,鎖相環進入“頻率牽引”,自動跟蹤捕捉輸入信號的頻率,使鎖相環進入鎖定的狀態,並保持ω0=ωi的狀態不變。
8.4.2鎖相環的應用
1.鎖相環在調製和解調中的應用
(1)調製和解調的概念
為了實現信息的遠距離傳輸,在發信端通常采用調製的方法對信號進行調製,收信端接收到信號後必須進行解調才能恢複原信號。
所謂的調製就是用攜帶信息的輸入信號ui來控製載波信號uC的參數,使載波信號的某一個參數隨輸入信號的變化而變化。載波信號的參數有幅度、頻率和位相,所以,調製有調幅(AM)、調頻(FM)和調相(PM)三種。
調幅波的特點是頻率與載波信號的頻率相等,幅度隨輸入信號幅度的變化而變化;調頻波的特點是幅度與載波信號的幅度相等,頻率隨輸入信號幅度的變化而變化;調相波的特點是幅度與載波信號的幅度相等,相位隨輸入信號幅度的變化而變化。調幅波和調頻波的示意圖如圖8-4-4所示。
上圖的(a)是輸入信號,又稱為調製信號;圖(b)是載波信號,圖(c)是調幅波和調頻波信號。
解調是調製的逆過程,它可將調製波uO還原成原信號ui。
[page]
2.鎖相環在調頻和解調電路中的應用
調頻波的特點是頻率隨調製信號幅度的變化而變化。由8-4-6式可知,壓控振蕩器的振蕩頻率取決於輸入電壓的幅度。當載波信號的頻率與鎖相環的固有振蕩頻率ω0相等時,壓控振蕩器輸出信號的頻率將保持ω0不變。若壓控振蕩器的輸入信號除了有鎖相環低通濾波器輸出的信號uc外,還有調製信號ui,則壓控振蕩器輸出信號的頻率就是以ω0為中心,隨調製信號幅度的變化而變化的調頻波信號。由此可得調頻電路可利用鎖相環來組成,由鎖相環組成的調頻電路組成框圖如圖8-4-5所示。
根據鎖相環的工作原理和調頻波的特點可得解調電路組成框圖如圖8-4-6所示。3.鎖相環在頻率合成電路中的應用
在現代電子技術中,為了得到高精度的振蕩頻率,通常采用石英晶體振蕩器。但石英晶體振蕩器的頻率不容易改變,利用鎖相環、倍頻、分頻等頻率合成技術,可以獲得多頻率、高穩定的振蕩信號輸出。
輸出信號頻率比晶振信號頻率大的稱為鎖相倍頻器電路;輸出信號頻率比晶振信號頻率小的稱為鎖相分頻器電路。鎖相倍頻和鎖相分頻電路的組成框圖如圖8-4-7所示。
- 探究鎖相環的組成和工作原理
- 鎖相環在調製和解調中的應用
- 鎖相環在調頻和解調電路中的應用
1.鎖相環的基本組成
許多電子設備要正常工作,通常需要外部的輸入信號與內部的振蕩信號同步,利用鎖相環路就可以實現這個目的。
鎖相環路是一種反饋控製電路,簡稱鎖相環(PLL)。鎖相環的特點是:利用外部輸入的參考信號控製環路內部振蕩信號的頻率和相位。
因(yin)鎖(suo)相(xiang)環(huan)可(ke)以(yi)實(shi)現(xian)輸(shu)出(chu)信(xin)號(hao)頻(pin)率(lv)對(dui)輸(shu)入(ru)信(xin)號(hao)頻(pin)率(lv)的(de)自(zi)動(dong)跟(gen)蹤(zong),所(suo)以(yi)鎖(suo)相(xiang)環(huan)通(tong)常(chang)用(yong)於(yu)閉(bi)環(huan)跟(gen)蹤(zong)電(dian)路(lu)。鎖(suo)相(xiang)環(huan)在(zai)工(gong)作(zuo)的(de)過(guo)程(cheng)中(zhong),當(dang)輸(shu)出(chu)信(xin)號(hao)的(de)頻(pin)率(lv)與(yu)輸(shu)入(ru)信(xin)號(hao)的(de)頻(pin)率(lv)相(xiang)等(deng)時(shi),輸(shu)出(chu)電(dian)壓(ya)與(yu)輸(shu)入(ru)電(dian)壓(ya)保(bao)持(chi)固(gu)定(ding)的(de)相(xiang)位(wei)差(cha)值(zhi),即(ji)輸(shu)出(chu)電(dian)壓(ya)與(yu)輸(shu)入(ru)電(dian)壓(ya)的(de)相(xiang)位(wei)被(bei)鎖(suo)住(zhu),這(zhe)就(jiu)是(shi)鎖(suo)相(xiang)環(huan)名(ming)稱(cheng)的(de)由(you)來(lai)。
鎖相環通常由鑒相器(PD)、環路濾波器(LF)和壓控振蕩器(VCO)三部分組成,鎖相環組成的原理框圖如圖8-4-1所示。鎖相環中的鑒相器又稱為相位比較器,它的作用是檢測輸入信號和輸出信號的相位差,並將檢測出的相位差信號轉換成uD(t)電壓信號輸出,該信號經低通濾波器濾波後形成壓控振蕩器的控製電壓uC(t),對振蕩器輸出信號的頻率實施控製。


2.鎖相環的工作原理
鎖相環中的鑒相器通常由模擬乘法器組成,利用模擬乘法器組成的鑒相器電路如圖8-4-2所示。
鑒相器的工作原理是:設外界輸入的信號電壓和壓控振蕩器輸出的信號電壓分別為:

式中的ω0為壓控振蕩器在輸入控製電壓為零或為直流電壓時的振蕩角頻率,稱為電路的固有振蕩角頻率。則模擬乘法器的輸出電壓uD為:
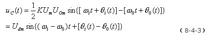
用低通濾波器LF將上式中的和頻分量濾掉,剩下的差頻分量作為壓控振蕩器的輸入控製電壓uC(t)。即uC(t)為:

式中的ωi為輸入信號的瞬時振蕩角頻率,θi(t)和θO(t)分別為輸入信號和輸出信號的瞬時位相,根據相量的關係可得瞬時頻率和瞬時位相的關係為:

[page]
因壓控振蕩器的壓控特性如圖8-4-3所示,該特性說明壓控振蕩器的振蕩頻率ωu以ω0為中心,隨輸入信號電壓uc(t)的變化而變化。該特性的表達式
上式說明當uc(t)隨時間而變時,壓控振蕩器的振蕩頻率ωu也隨時間而變,鎖相環進入“頻率牽引”,自動跟蹤捕捉輸入信號的頻率,使鎖相環進入鎖定的狀態,並保持ω0=ωi的狀態不變。
8.4.2鎖相環的應用
1.鎖相環在調製和解調中的應用
(1)調製和解調的概念
為了實現信息的遠距離傳輸,在發信端通常采用調製的方法對信號進行調製,收信端接收到信號後必須進行解調才能恢複原信號。
所謂的調製就是用攜帶信息的輸入信號ui來控製載波信號uC的參數,使載波信號的某一個參數隨輸入信號的變化而變化。載波信號的參數有幅度、頻率和位相,所以,調製有調幅(AM)、調頻(FM)和調相(PM)三種。
調幅波的特點是頻率與載波信號的頻率相等,幅度隨輸入信號幅度的變化而變化;調頻波的特點是幅度與載波信號的幅度相等,頻率隨輸入信號幅度的變化而變化;調相波的特點是幅度與載波信號的幅度相等,相位隨輸入信號幅度的變化而變化。調幅波和調頻波的示意圖如圖8-4-4所示。


解調是調製的逆過程,它可將調製波uO還原成原信號ui。

2.鎖相環在調頻和解調電路中的應用
調頻波的特點是頻率隨調製信號幅度的變化而變化。由8-4-6式可知,壓控振蕩器的振蕩頻率取決於輸入電壓的幅度。當載波信號的頻率與鎖相環的固有振蕩頻率ω0相等時,壓控振蕩器輸出信號的頻率將保持ω0不變。若壓控振蕩器的輸入信號除了有鎖相環低通濾波器輸出的信號uc外,還有調製信號ui,則壓控振蕩器輸出信號的頻率就是以ω0為中心,隨調製信號幅度的變化而變化的調頻波信號。由此可得調頻電路可利用鎖相環來組成,由鎖相環組成的調頻電路組成框圖如圖8-4-5所示。


在現代電子技術中,為了得到高精度的振蕩頻率,通常采用石英晶體振蕩器。但石英晶體振蕩器的頻率不容易改變,利用鎖相環、倍頻、分頻等頻率合成技術,可以獲得多頻率、高穩定的振蕩信號輸出。

特別推薦
- 噪聲中提取真值!瑞盟科技推出MSA2240電流檢測芯片賦能多元高端測量場景
- 10MHz高頻運行!氮矽科技發布集成驅動GaN芯片,助力電源能效再攀新高
- 失真度僅0.002%!力芯微推出超低內阻、超低失真4PST模擬開關
- 一“芯”雙電!聖邦微電子發布雙輸出電源芯片,簡化AFE與音頻設計
- 一機適配萬端:金升陽推出1200W可編程電源,賦能高端裝備製造
技術文章更多>>
- 2026藍牙亞洲大會暨展覽在深啟幕
- 新市場與新場景推動嵌入式係統研發走向統一開發平台
- 維智捷發布中國願景
- 2秒啟動係統 • 資源受限下HMI最優解,米爾RK3506開發板× LVGL Demo演示
- H橋降壓-升壓電路中的交替控製與帶寬優化
技術白皮書下載更多>>
- 車規與基於V2X的車輛協同主動避撞技術展望
- 數字隔離助力新能源汽車安全隔離的新挑戰
- 汽車模塊拋負載的解決方案
- 車用連接器的安全創新應用
- Melexis Actuators Business Unit
- Position / Current Sensors - Triaxis Hall
熱門搜索
Tektronix
Thunderbolt
TI
TOREX
TTI
TVS
UPS電源
USB3.0
USB 3.0主控芯片
USB傳輸速度
usb存儲器
USB連接器
VGA連接器
Vishay
WCDMA功放
WCDMA基帶
Wi-Fi
Wi-Fi芯片
window8
WPG
XILINX
Zigbee
ZigBee Pro
安規電容
按鈕開關
白色家電
保護器件
保險絲管
北鬥定位
北高智

