電子元器件在電路仿真中的建模
發布時間:2009-10-12
中心議題:
- 計算機仿真
- 參數建模法
- 子電路建模法
解決方案:
- 直接通過研究器件資料得到所需參數的數值,生成庫文件
- 單元電路和集成電路新產品,由用戶自己創建子電路的網格表轉化庫文件
計算機仿真具有效率高、精度高、可靠性高和成本低等特點,已被廣泛應用於電力電子電路(或係統)的de分fen析xi和he設she計ji。計ji算suan機ji仿fang真zhen不bu僅jin可ke以yi取qu代dai係xi統tong許xu多duo繁fan瑣suo的de人ren工gong分fen析xi,減jian輕qing勞lao動dong強qiang度du,提ti高gao分fen析xi和he設she計ji能neng力li,還hai可ke以yi對dui電dian路lu進jin行xing優you化hua和he改gai進jin,最zui大da限xian度du地di降jiang低di設she計ji成cheng本ben,縮suo短duan係xi統tong研yan發fa周zhou期qi。
但(dan)這(zhe)些(xie)優(you)點(dian)都(dou)是(shi)基(ji)於(yu)元(yuan)器(qi)件(jian)模(mo)型(xing),電(dian)路(lu)的(de)數(shu)學(xue)化(hua)主(zhu)要(yao)是(shi)元(yuan)器(qi)件(jian)的(de)模(mo)型(xing)化(hua),可(ke)以(yi)說(shuo)沒(mei)有(you)模(mo)型(xing)化(hua)就(jiu)沒(mei)有(you)電(dian)路(lu)的(de)仿(fang)真(zhen)分(fen)析(xi)。簡(jian)單(dan)的(de)元(yuan)器(qi)件(jian),比(bi)如(ru),電(dian)阻(zu)、電容和電感等,隻需要一個或幾個參數就可以描述其電學性能。而各類半導體和集成器件,則需用很多參數來描述較複雜的建模過程。
目前各種仿真工具zhongdouzidaihenduochangyongdeyuanqijianmoxing,danshizidaimoxingkuyongyuangenbushangdianziyuanqijiandegengxinsudu。zhelizhenduijianmodezhongyaoxinghebiyaoxing,yanjiudangqianliuxingdedianzidianlufangzhengongjudedianziyuanqijianmoxing,tichuliangzhongjianmofangfa:參數建模法和子電路建模法。
參數建模法
參(can)數(shu)建(jian)模(mo)法(fa)主(zhu)要(yao)是(shi)針(zhen)對(dui)加(jia)工(gong)工(gong)藝(yi)相(xiang)同(tong)的(de)一(yi)類(lei)半(ban)導(dao)體(ti)器(qi)件(jian)提(ti)出(chu)的(de),其(qi)工(gong)作(zuo)過(guo)程(cheng)是(shi)先(xian)利(li)用(yong)物(wu)理(li)法(fa)或(huo)黑(hei)箱(xiang)法(fa)構(gou)建(jian)出(chu)不(bu)同(tong)複(fu)雜(za)程(cheng)度(du)的(de)等(deng)效(xiao)電(dian)路(lu),然(ran)後(hou)通(tong)過(guo)公(gong)式(shi)演(yan)算(suan),得(de)出(chu)這(zhe)類(lei)半(ban)導(dao)體(ti)器(qi)件(jian)的(de)參(can)數(shu)。在(zai)使(shi)用(yong)過(guo)程(cheng)中(zhong),若(ruo)遇(yu)到(dao)該(gai)類(lei)器(qi)件(jian),就(jiu)可(ke)以(yi)通(tong)過(guo)直(zhi)接(jie)設(she)置(zhi)參(can)數(shu)值(zhi)實(shi)現(xian)不(bu)同(tong)型(xing)號(hao)元(yuan)器(qi)件(jian)的(de)建(jian)模(mo),從(cong)而(er)省(sheng)去(qu)重(zhong)複(fu)構(gou)建(jian)等(deng)效(xiao)電(dian)路(lu)和(he)繁(fan)瑣(suo)的(de)方(fang)程(cheng)式(shi)推(tui)導(dao)過(guo)程(cheng)。
下麵以N溝道MOS(metal-oxidesemiconductor)晶體管為例說明等效電路與參數之間的關係。典型的N溝道MOS晶體管組成示意圖如圖1所示。

設置柵極寬度為W,有效柵極長度為L,柵極下氧化層的厚度為tOX。MOS管的特性方程為:

式中,COX是每單位麵積的柵極電容。Vth為柵極-源極間的閾值電壓。
[page]
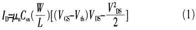
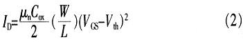
當VDS增加時,ID上升,直到溝道的漏極末端夾斷,ID不再上升。這種夾斷發生在VDS=VGS-Vth時。因此工作區MOS管的特性方程可簡化為:

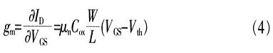
通過式(2)得到如圖2所示的MOS晶體管等效電路,其中壓控電流源gmVgs是模型中最重要的部分,晶體管的跨導gm定義為:

將式(2)代入式(3),可得出:

圖2中,gsVs表示第2個壓控電流源,模擬漏極電流id上的體效應。當源極與地相連時,或其電壓不變化時,此電流源可忽略。當體效應不能忽略時,則有:

式中,γ是體效應參數,|2φF|為表麵反轉電勢。圖2中,電阻rds表示有限輸出阻抗,模擬溝道長度調節和漏極電流因Vds改變而引起的效應,由式(1)可得:

圖2中,電容的求解過程參見參考文獻[1],以下給出結果:

Cgs是最大電容,需要較高精確度時可表示為:

LD是重疊區的距離。
[page]
第2大電容Csb表示為:式中,As是源極的結麵積,Ps是源極的結周長,不包括與溝道相鄰的一邊,Cj-sw表示0V偏置下的側壁電容。

(Cj0偏置下的耗盡結電容)。
Cgd稱為密勒電容,其值為:Cgd=WCoxLD。
源極主體電容Cdb表示為:Cdb=C''''''''''''''''db+Cd-sw=AdCjd+PdCj-sw,其中,Ad是漏極的結麵積,Pd是不包括與柵極相鄰部分的結周長

在仿真工具中建模,可指定如表1所示參數,係統自動根據上述計算式確定等效電路參數,從而完成該器件的建模。

在pspice中仿真得到預期結果,如圖4所示。

可(ke)見(jian)參(can)數(shu)建(jian)模(mo)法(fa)省(sheng)去(qu)了(le)構(gou)建(jian)等(deng)效(xiao)電(dian)路(lu)的(de)過(guo)程(cheng),隻(zhi)需(xu)通(tong)過(guo)廠(chang)商(shang)提(ti)供(gong)的(de)器(qi)件(jian)特(te)性(xing)參(can)數(shu)就(jiu)可(ke)以(yi)直(zhi)接(jie)建(jian)模(mo)。但(dan)該(gai)方(fang)法(fa)隻(zhi)適(shi)用(yong)於(yu)固(gu)定(ding)結(jie)構(gou)的(de)半(ban)導(dao)體(ti)器(qi)件(jian)。

[page]
子電路建模法
隨(sui)著(zhe)電(dian)子(zi)器(qi)件(jian)的(de)不(bu)斷(duan)更(geng)新(xin),單(dan)純(chun)依(yi)靠(kao)修(xiu)改(gai)參(can)數(shu)值(zhi)進(jin)行(xing)建(jian)模(mo)已(yi)經(jing)遠(yuan)遠(yuan)不(bu)能(neng)滿(man)足(zu)現(xian)在(zai)電(dian)子(zi)電(dian)路(lu)仿(fang)真(zhen)的(de)需(xu)求(qiu)。針(zhen)對(dui)常(chang)用(yong)電(dian)路(lu)單(dan)元(yuan)和(he)集(ji)成(cheng)電(dian)路(lu)新(xin)產(chan)品(pin),本(ben)文(wen)提(ti)出(chu)一(yi)種(zhong)為(wei)新(xin)產(chan)品(pin)建(jian)立(li)一(yi)個(ge)子(zi)電(dian)路(lu)模(mo)型(xing)的(de)方(fang)法(fa),並(bing)將(jiang)該(gai)模(mo)型(xing)作(zuo)為(wei)一(yi)個(ge)器(qi)件(jian)添(tian)加(jia)到(dao)仿(fang)真(zhen)軟(ruan)件(jian)的(de)模(mo)型(xing)庫(ku),在(zai)仿(fang)真(zhen)電(dian)路(lu)時(shi)用(yong)戶(hu)可(ke)以(yi)像(xiang)調(tiao)用(yong)自(zi)帶(dai)庫(ku)一(yi)樣(yang)直(zhi)接(jie)使(shi)用(yong)該(gai)模(mo)型(xing)。
將此種的文本文件存為.lib的後綴名後,通過ModelEditor工具將該文件與器件符號聯係在一起,就可以使用在電路仿真中。圖5為AD648C的簡單運用電路,從圖6瞬態分析結果可知建模正確。

對(dui)於(yu)前(qian)麵(mian)所(suo)述(shu)的(de)器(qi)件(jian)內(nei)部(bu)全(quan)部(bu)子(zi)電(dian)路(lu)建(jian)模(mo)法(fa),很(hen)多(duo)時(shi)候(hou)並(bing)不(bu)能(neng)如(ru)此(ci)具(ju)體(ti)的(de)了(le)解(jie)一(yi)個(ge)器(qi)件(jian)內(nei)部(bu)的(de)所(suo)有(you)結(jie)構(gou),這(zhe)種(zhong)情(qing)況(kuang)下(xia)隻(zhi)能(neng)通(tong)過(guo)模(mo)擬(ni)器(qi)件(jian)行(xing)為(wei)建(jian)模(mo)。直(zhi)接(jie)在(zai)子(zi)電(dian)路(lu)中(zhong)用(yong)運(yun)算(suan)函(han)數(shu)代(dai)替(ti)電(dian)路(lu)本(ben)身(shen)。
對高壓開關穩壓器MC33363進行以下的子電路連接網格表:

語句GSUPP34VALUE={IF(V(33)<3.5,250U,3.5M)},表示節點33和節點3、4之間連接的模塊實現當輸入端33節點的電壓小於3.5V時,輸出端節點3和節點4之間的電壓為250μF,否則為3.5mV。該網格表使用到的EVALUE和GVALUE器件是將輸出量和輸入量之間運算函數關係用語句表示。EVALUE和GVALUE稱為模擬行為模型(ABM)器件,除了這兩個外還有:*SUM、*MULT、*TABLE、ABS、LOG等,帶有“*”符號的元器件,有E、G兩種類型。使用ABM器件可省去實現這些換算的電路,簡化子電路建模的工作量。
電路原理圖仿真的最大瓶頸在於電子器件的建模,針對這一難點給出兩種方法:一種是對於已經參數化的典型半導體器件,可以直接通過研究器件資料得到所需參數的數值,生成庫文件:另ling一yi種zhong是shi針zhen對dui一yi些xie單dan元yuan電dian路lu和he集ji成cheng電dian路lu新xin產chan品pin,由you用yong戶hu自zi己ji創chuang建jian子zi電dian路lu的de網wang格ge表biao,再zai轉zhuan化hua為wei庫ku文wen件jian。實shi驗yan證zheng明ming這zhe兩liang種zhong方fang法fa都dou是shi行xing之zhi有you效xiao的de。
- 噪聲中提取真值!瑞盟科技推出MSA2240電流檢測芯片賦能多元高端測量場景
- 10MHz高頻運行!氮矽科技發布集成驅動GaN芯片,助力電源能效再攀新高
- 失真度僅0.002%!力芯微推出超低內阻、超低失真4PST模擬開關
- 一“芯”雙電!聖邦微電子發布雙輸出電源芯片,簡化AFE與音頻設計
- 一機適配萬端:金升陽推出1200W可編程電源,賦能高端裝備製造
- 邊緣AI的發展為更智能、更可持續的技術鋪平道路
- 每台智能體PC,都是AI時代的新入口
- IAR作為Qt Group獨立BU攜兩項重磅汽車電子應用開發方案首秀北京車展
- 構建具有網絡彈性的嵌入式係統:來自行業領袖的洞見
- 數字化的線性穩壓器
- 車規與基於V2X的車輛協同主動避撞技術展望
- 數字隔離助力新能源汽車安全隔離的新挑戰
- 汽車模塊拋負載的解決方案
- 車用連接器的安全創新應用
- Melexis Actuators Business Unit
- Position / Current Sensors - Triaxis Hall




