EMC中的基石-濾波知識大全
發布時間:2019-06-25 責任編輯:wenwei
【導讀】近期看了一些無源濾波器的資料,其中Robert Keim寫的文章通俗易懂,讓我們一起來看看處理EMC問題中最常用的手段-RC濾波。
本文介紹了濾波的概念,並詳細說明了電阻 - 電容(RC)低通濾波器的用途和特性。
1時域和頻域
當我們在示波器上查看電信號時,會看到一條線,表示電壓隨時間的變 化。在任何特定時刻,信號隻有一個電壓值。我們在示波器上看到的是信號的時域表示。
典型的示波器很直觀,但它也有一定的限製性,因為它不直接顯示信號的頻率內容。與時域表示相反,頻域表示(也稱為頻譜)通過識別同時存在的各種頻率分量來傳達關於信號的信息。


正弦波(頂部)和方波(底部)的時域表示

正弦波(頂部)和方波(底部)的頻域表示
2什麼是濾波器
濾波器是一個電路,其去除或“過濾掉”特定範圍的頻率分量。換句話說,它將信號的頻譜分離為將要通過的頻率分量和將被阻塞的頻率分量。
讓我們假設我們有一個由完美的5 kHz正弦波組成的音頻信號。我們知道時域中的正弦波是什麼樣的,在頻域中我們隻能看到5 kHz的頻率“尖峰”。現在讓我們假設我們激活一個500 kHzzhendangqi,jianggaopinzaoshengyinruyinpinxinhao。zaishiboqishangkandaodexinhaorengranzhishiyigedianyaxulie,meigeshikeyouyigezhi,danxinhaokanqilaihuiyousuobutong,yinweitadeshiyubianhuaxianzaibixufanying5 kHz正zheng弦xian波bo和he高gao頻pin噪zao音yin波bo動dong。然ran而er,在zai頻pin域yu中zhong,正zheng弦xian波bo和he噪zao聲sheng是shi在zai該gai一yi個ge信xin號hao中zhong同tong時shi存cun在zai的de單dan獨du的de頻pin率lv分fen量liang。正zheng弦xian波bo和he噪zao聲sheng占zhan據ju了le信xin號hao頻pin域yu表biao示shi的de不bu同tong部bu分fen(如下圖所示),這意味著我們可以通過將信號引導通過低頻並阻擋高頻的電路來濾除噪聲。

3濾波器的類型
如(ru)果(guo)濾(lv)波(bo)器(qi)通(tong)過(guo)低(di)頻(pin)並(bing)阻(zu)止(zhi)高(gao)頻(pin),則(ze)稱(cheng)為(wei)低(di)通(tong)濾(lv)波(bo)器(qi)。如(ru)果(guo)它(ta)阻(zu)擋(dang)低(di)頻(pin)並(bing)通(tong)過(guo)高(gao)頻(pin),它(ta)就(jiu)是(shi)一(yi)個(ge)高(gao)通(tong)濾(lv)波(bo)器(qi)。還(hai)有(you)帶(dai)通(tong)濾(lv)波(bo)器(qi),其(qi)僅(jin)通(tong)過(guo)相(xiang)對(dui)窄(zhai)的(de)頻(pin)率(lv)範(fan)圍(wei),以(yi)及(ji)帶(dai)阻(zu)濾(lv)波(bo)器(qi),其(qi)僅(jin)阻(zu)擋(dang)相(xiang)對(dui)窄(zhai)的(de)頻(pin)率(lv)範(fan)圍(wei)。

還可以根據用於實現電路的組件類型對濾波器進行分類。無源濾波器使用電阻、電容、電感;這zhe些xie組zu件jian不bu具ju備bei提ti供gong放fang大da的de能neng力li,因yin此ci無wu源yuan濾lv波bo器qi隻zhi能neng維wei持chi或huo減jian小xiao輸shu入ru信xin號hao的de幅fu度du。另ling一yi方fang麵mian,有you源yuan濾lv波bo器qi既ji可ke以yi濾lv波bo信xin號hao又you可ke以yi應ying用yong增zeng益yi,因yin為wei它ta包bao括kuo有you源yuan元yuan件jian,如ru晶jing體ti管guan或huo運yun算suan放fang大da器qi。

基於流行的Sallen-Key拓撲結構的有源低通濾波器
4RC低通濾波器
weilechuangjianwuyuanditonglvboqi,womenxuyaojiangdianzuyuanjianyudiankangyuanjianzuhezaiyiqi。huanjuhuashuo,womenxuyaoyigeyoudianzuqihedianrongqihuodianganqizuchengdedianlu。conglilunshangjiang,dianzu - 電感(RL)低通拓撲在濾波能力方麵與電阻 - 電容(RC)低通拓撲相當。但實際上,電阻 - 電容版本更為常見,因此本文的其餘部分將重點介紹RC低通濾波器。

RC低通濾波器
如圖所示,通過將一個電阻與信號路徑串聯,並將一個電容與負載並聯, 可以產生RCditongxiangying。zaituzhong,fuzaishidangezujian,danzaishijidianluzhong,takenenggengfuza,lirumonidaoshuzizhuanhuanqi,fangdaqihuoshiboqideshuruji,yongyucelianglvboqidexiangying。
如果我們認識到電阻器和電容器形成與頻率相關的分壓器,我們可以直觀地分析RC低通拓撲的濾波動作。

重新繪製RC低通濾波器,使其看起來像分壓器
當輸入信號的頻率低時,電容器的阻抗相對於電阻器的阻抗高; 因此,大部分輸入電壓在電容器上(和負載兩端,與電容器並聯)下xia降jiang。當dang輸shu入ru頻pin率lv較jiao高gao時shi,電dian容rong器qi的de阻zu抗kang相xiang對dui於yu電dian阻zu器qi的de阻zu抗kang較jiao低di,這zhe意yi味wei著zhe電dian阻zu器qi上shang的de電dian壓ya降jiang低di,並bing且qie較jiao少shao的de電dian壓ya傳chuan輸shu到dao負fu載zai。因yin此ci,低di頻pin通tong過guo並bing且qie高gao頻pin被bei阻zu擋dang。
RC低通功能的這種定性解釋是重要的第一步,但是當我們需要實際設計電路時它並不是很有用,因為術語“高頻”和“低頻”非常模糊。工程師需要創建通過並阻止特定頻率的電路。例如,在上述音頻係統中,我們希望保留5kHz信號並抑製500kHz信號。這意味著我們需要一個過濾器,從5 kHz到500 kHz之間的傳遞過渡到阻塞。
5截止頻率
濾波器不會引起顯著衰減的頻率範圍稱為通帶,濾波器確實導致顯著衰減的頻率範圍稱為阻帶。模擬濾波器,例如RC低di通tong濾lv波bo器qi,總zong是shi從cong通tong帶dai逐zhu漸jian過guo渡du到dao阻zu帶dai。這zhe意yi味wei著zhe無wu法fa識shi別bie濾lv波bo器qi停ting止zhi傳chuan遞di信xin號hao並bing開kai始shi阻zu塞sai信xin號hao的de一yi個ge頻pin率lv。然ran而er,工gong程cheng師shi需xu要yao一yi種zhong方fang便bian,簡jian潔jie地di總zong結jie濾lv波bo器qi頻pin率lv響xiang應ying的de方fang法fa,這zhe就jiu是shi截jie止zhi頻pin率lv概gai念nian發fa揮hui作zuo用yong的de地di方fang。
當我們查看RC濾波器的頻率響應圖時,會注意到術語“截止頻率”不是很準確。信號光譜被“切割”成兩半的圖像,其中一個被保留而其中一個被丟棄, 不適用,因為隨著頻率從截止點下方移動到截止值以上,衰減逐漸增加。
RC低通濾波器的截止頻率實際上是輸入信號幅度降低3dB的頻率(選擇該值是因為幅度降低3dB對應於功率降低50%)。因此,截止頻率也稱為-3 dB頻率,實際上該名稱更準確且信息量更大。術語帶寬是指濾波器通帶的寬度,在低通濾波器的情況下,帶寬等於-3 dB頻率(如下圖所示)。

該圖表示RC低通濾波器的頻率響應的一般特性。帶寬等於-3 dB頻率
如上所述,RC濾(lv)波(bo)器(qi)的(de)低(di)通(tong)行(xing)為(wei)是(shi)由(you)電(dian)阻(zu)器(qi)的(de)頻(pin)率(lv)無(wu)關(guan)阻(zu)抗(kang)與(yu)電(dian)容(rong)器(qi)的(de)頻(pin)率(lv)相(xiang)關(guan)阻(zu)抗(kang)之(zhi)間(jian)的(de)相(xiang)互(hu)作(zuo)用(yong)引(yin)起(qi)的(de)。為(wei)了(le)確(que)定(ding)濾(lv)波(bo)器(qi)頻(pin)率(lv)響(xiang)應(ying)的(de)細(xi)節(jie),我(wo)們(men)需(xu)要(yao)在(zai)數(shu)學(xue)上(shang)分(fen)析(xi)電(dian)阻(zu)(R)和電容(C)之間的關係,我們還可以改變這些值,以設計滿足精確規格的濾波器。RC低通濾波器的截止頻率(f C) 計算如下:

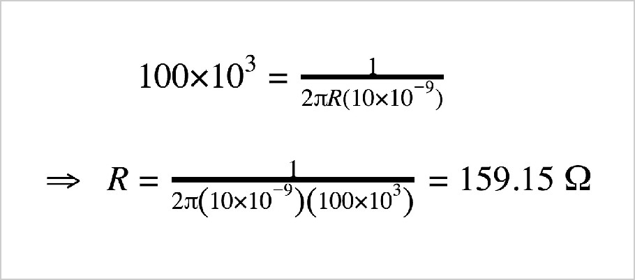
我們來看一個簡單的設計實例。電容值比電阻值更具限製性,因此我們將從常見的電容值(例如10 nF)開始,然後我們將使用該公式來確定所需的電阻值。目標是設計一個濾波器,它將保留5 kHz音頻波形並抑製500 kHz 噪聲波形。我們將嚐試100 kHz的截止頻率,稍後在文章中我們將更仔細地分析此濾波器對兩個頻率分量的影響。

因此,160Ω電阻與10 nF電容相結合,將為我們提供一個非常接近所需頻率響應的濾波器。
6計算過濾器響應
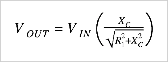
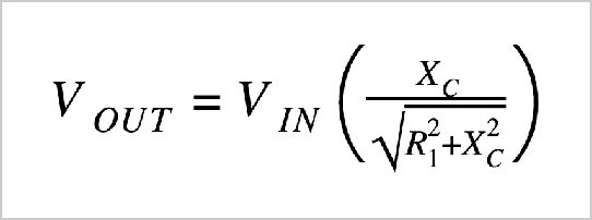
我們可以通過使用典型分壓器計算的頻率相關版本來計算低通濾波器的理論行為。電阻分壓器的輸出表示如下:


RC濾波器使用等效結構,但是我們有一個電容器代替R 2。首先,我們用電容器的電抗(X C)代替R 2(在分子中)。接下來,我們需要計算總阻抗的大小並將其放在分母中。因此,我們有:

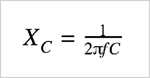
電dian容rong器qi的de電dian抗kang表biao示shi與yu電dian流liu的de相xiang反fan量liang,但dan與yu電dian阻zu不bu同tong,相xiang反fan量liang取qu決jue於yu通tong過guo電dian容rong器qi的de信xin號hao頻pin率lv。因yin此ci,我wo們men必bi須xu計ji算suan特te定ding頻pin率lv的de電dian抗kang,我wo們men用yong於yu此ci的de等deng式shi如ru下xia:

在上麵的設計實例中,R≈160Ω且C = 10nF。我們假設V IN的幅度是1 V, 這樣我們就可以簡單地從計算中去掉V IN。首先讓我們以正弦波頻率計算VOUT的幅度:


正弦波的幅度基本不變。這很好,因為我們的目的是在抑製噪音的同時保持正弦波。這個結果並不令人驚訝,因為我們選擇的截止頻率(100 kHz) 遠高於正弦波頻率(5 kHz)。
現在讓我們看看濾波器如何成功衰減噪聲分量。


噪聲幅度僅為其原始值的約20%。
7可視化過濾器響應
評估濾波器對信號影響的最方便方法是檢查濾波器頻率響應的圖。這些圖形通常稱為波德圖,在垂直軸上具有幅度(以分貝為單位),在水平軸上具有頻率; 水平軸通常具有指數標度,使得1Hz和10Hz之間的物理距離與10Hz和100Hz之間,100Hz和1kHz之間的物理距離相同。這種表示方法使我們能夠快速準確地評估濾波器在很大頻率範圍內的作用。

頻率響應圖的一個例子
曲線上的每個點表示如果輸入信號的幅度為1 V且頻率等於水平軸上的相應值,則輸出信號將具有的幅度。例如,當輸入頻率為1 MHz時,輸出幅度(假設輸入幅度為1 V)將為0.1 V(因為-20 dB對應於十倍減少因子)。
通帶中的曲線幾乎完全平坦,然後隨著輸入頻率接近截止頻率,它開始下降得更快。最終,衰減的變化率穩定在20 dB / decade。即,輸入頻率每增加十倍,輸出信號的幅度降低20 dB。
8評估低通濾波器性能
如果我們仔細繪製我們在本文前麵設計的濾波器的頻率響應,我們將看到5 kHz時的幅度響應基本上是0 dB(即幾乎為零衰減),500 kHz時的幅度響應約為-14 dB(對應於0.2的增益)。這些值與我們在上一節中執行的計算結果一致。
由於RC濾波器總是從通帶到阻帶逐漸過渡,並且因為衰減永遠不會達到無窮大,我們無法設計出“完美”的濾波器 - 即對正弦波完全沒有影響並完全消除噪聲的濾波器。相反,我們總是需要權衡。如果我們將截止頻率移近5 kHz, 我們將有更多的噪聲衰減,但我們想要發送到揚聲器的正弦波衰減更多。如果我們將截止頻率移近500 kHz,我們在正弦波頻率下的衰減會減少,但噪聲頻率下的衰減也會減少。
9低通濾波器相移
到目前為止,我們已經討論了濾波器修改信號中各種頻率分量幅度的方式。然而,除了幅度效應之外,電抗性電路元件總是引入相移。
相xiang位wei的de概gai念nian是shi指zhi周zhou期qi內nei特te定ding時shi刻ke的de周zhou期qi信xin號hao的de值zhi。因yin此ci,當dang我wo們men說shuo電dian路lu引yin起qi相xiang移yi時shi,我wo們men的de意yi思si是shi它ta會hui在zai輸shu入ru信xin號hao和he輸shu出chu信xin號hao之zhi間jian產chan生sheng不bu對dui準zhun:輸入和輸出信號不再在同一時刻開始和結束它們的周期。相移值(例如45°或90°)表示已創建多少未對準。
電路中的每個電抗元件都會引入90°的相移,但這種相移不會同時發生。輸出信號的相位與輸出信號的幅度一樣,隨著輸入頻率的增加而逐漸變化。在RC低通濾波器中,我們有一個電抗元件(電容器),因此電路最終會引入90°的相移。
yufuduxiangyingyiyang,tongguojianzhashuipingzhoubiaoshizhishupinlvdequxiantu,keyizuirongyidipingguxiangweixiangying。xiamianmiaoshuleyibanqingkuang,ranhouwomenkeyitongguojianzhahuitulaitianxiexiangxixinxi。
● 相移最初為0°。
● 它逐漸增加,直到它在截止頻率達到45°; 在這部分響應期間,變化率正在增加。
● 在截止頻率之後,相移繼續增加,但變化率正在降低。
● 隨著相移漸近接近90°,變化率變得非常小。

實線是幅度響應,虛線是相位響應。截止頻率為100 kHz。注意,截止頻率下的相移為45°
10二階低通濾波器
到目前為止,我們假設RC低通濾波器由一個電阻器和一個電容器組成。此配置是一階過濾器。
無源濾波器的“次序”由電路中存在的電抗元件(即電容器或電感器)的數量決定。高階濾波器具有更多的無源器件,這導致更多的相移和更陡的衰減。通過向濾波器添加一個電抗元件 ,例如,從一階到二階或二階到三階,最大斜率就會增加20 dB /shibei。gengdouqiaodexielvzhuanhuanweicongdishuaijiandaogaoshuaijiandegengkuaisuzhuanhuan,suoyidangyijielvboqibujuyoujiangqiwangpinlvfenliangyuzaoshengfenliangfenlidekuanpindaishi,yongduojielvboqikeyishixianmude。
11總結
總結如下:
● 所suo有you電dian信xin號hao都dou包bao含han所suo需xu頻pin率lv分fen量liang和he不bu需xu要yao的de頻pin率lv分fen量liang的de混hun合he。不bu期qi望wang的de頻pin率lv分fen量liang通tong常chang由you噪zao聲sheng和he幹gan擾rao引yin起qi,並bing且qie在zai某mou些xie情qing況kuang下xia它ta們men將jiang對dui係xi統tong的de性xing能neng產chan生sheng負fu麵mian影ying響xiang。
● 濾波器是以不同方式對信號頻譜的不同部分作出反應的電路。低通濾波器旨在傳遞低頻分量並阻止高頻分量。
● 低通濾波器的截止頻率表示濾波器從低衰減轉變為顯著衰減的頻率區域。
● RC低通濾波器的輸出電壓可以通過將電路視為由(頻率無關)電阻和(頻率相關)電抗組成的分壓器來計算。
● 幅度(以dB為單位,在垂直軸上)與頻率(以赫茲為單位,在水平軸上)的曲線圖是檢查濾波器理論行為的方便有效的方法。我們還可以使用相位與指數頻率的關係圖來確定將應用於輸入信號的相移量。
● 二階濾波器提供更陡峭的衰減; 當信號不能在所需頻率分量和不需要的頻率分量之間提供寬帶分離時,這種二階響應是有用的。
推薦閱讀:
特別推薦
- 噪聲中提取真值!瑞盟科技推出MSA2240電流檢測芯片賦能多元高端測量場景
- 10MHz高頻運行!氮矽科技發布集成驅動GaN芯片,助力電源能效再攀新高
- 失真度僅0.002%!力芯微推出超低內阻、超低失真4PST模擬開關
- 一“芯”雙電!聖邦微電子發布雙輸出電源芯片,簡化AFE與音頻設計
- 一機適配萬端:金升陽推出1200W可編程電源,賦能高端裝備製造
技術文章更多>>
- 築基AI4S:摩爾線程全功能GPU加速中國生命科學自主生態
- 一秒檢測,成本降至萬分之一,光引科技把幾十萬的台式光譜儀“搬”到了手腕上
- AI服務器電源機櫃Power Rack HVDC MW級測試方案
- 突破工藝邊界,奎芯科技LPDDR5X IP矽驗證通過,速率達9600Mbps
- 通過直接、準確、自動測量超低範圍的氯殘留來推動反滲透膜保護
技術白皮書下載更多>>
- 車規與基於V2X的車輛協同主動避撞技術展望
- 數字隔離助力新能源汽車安全隔離的新挑戰
- 汽車模塊拋負載的解決方案
- 車用連接器的安全創新應用
- Melexis Actuators Business Unit
- Position / Current Sensors - Triaxis Hall
熱門搜索





