三種技術幫助高頻亥姆霍茲線圈產生強磁場
發布時間:2016-05-31 責任編輯:wenwei
【導讀】諸如磁場感應、校準和科學實驗的許多應用都經常用高頻亥姆霍茲線圈來lai產chan生sheng均jun勻yun但dan隨sui時shi間jian變bian化hua的de高gao頻pin磁ci場chang。產chan生sheng這zhe樣yang的de磁ci場chang需xu要yao用yong到dao高gao頻pin亥hai姆mu霍huo茲zi線xian圈quan驅qu動dong器qi。因yin為wei磁ci場chang密mi度du正zheng比bi於yu電dian流liu,所suo以yi為wei了le產chan生sheng大da的de磁ci場chang,需xu要yao產chan生sheng大da的de電dian流liu。然ran而er,在zai高gao頻pin情qing況kuang下xia線xian圈quan阻zu抗kang也ye變bian成cheng高gao阻zu抗kang了le。
對dui於yu一yi個ge給gei定ding的de驅qu動dong器qi電dian壓ya幅fu度du,線xian圈quan電dian流liu反fan比bi於yu線xian圈quan阻zu抗kang。因yin此ci影ying響xiang磁ci場chang的de兩liang個ge相xiang反fan因yin素su是shi電dian流liu和he頻pin率lv。實shi現xian高gao頻pin磁ci場chang是shi很hen困kun難nan的de。本ben文wen討tao論lun了le三san種zhong幫bang助zhu高gao頻pin亥hai姆mu霍huo茲zi線xian圈quan產chan生sheng強qiang磁ci場chang的de技ji術shu。
高頻亥姆霍茲線圈基礎
亥姆霍茲線圈是因德國物理學家Hermann von Helmholtz而命名的,由兩個完全相同且並行放置的電磁線圈組成,這兩個線圈中心在同一軸線上,就像鏡像一樣,如圖1suoshi。dangdianliuyixiangtongfangxiangjingguozhelianggegaopinhaimuhuozixianquanshi,jiuhuizaixianquanneidesanweikongjianneichanshengyigegaodujunyundecichang。zhexiehaimuhuozixianquanjingchangyongyudixiaobeijing(地球)磁場、測量和校準,以及電子設備敏感性測試中的磁場。

圖1:單軸高頻亥姆霍茲線圈由一對半徑為R、間距等於R的兩個線圈組成。
亥姆霍茲線圈的設計和製造
gaopinhaimuhuozixianquanshiyoulianggexianquandajianerchengde。yinweilianggecixingxianquanshejichengwanquanxiangtong,yincidangxianquanbanjingdengyujiangejulishijiunengchanshengjunyundecichang。zhelianggexianquanyichuanliandefangshilianjiezaiyiqi,yincigeitamenkuisongdedianliuxiangtong,congerchanshenglianggexiangtongdecichang。zhelianggecichangdiejiazaiyiqijiuhuizailianggebingxingxianquanzhongxindeyuanzhuxingkongjianzhongchanshengjunyundecichang。
這個圓柱形空間的均勻磁場約等於25%的線圈半徑(R),長度等於兩個線圈之間間距的50%。高頻亥姆霍茲線圈可以做成1、2或3軸zhou。多duo軸zhou磁ci性xing線xian圈quan可ke以yi在zai亥hai姆mu霍huo茲zi線xian圈quan對dui內nei部bu的de三san維wei空kong間jian內nei產chan生sheng任ren意yi方fang向xiang的de磁ci場chang。最zui常chang見jian的de高gao頻pin亥hai姆mu霍huo茲zi線xian圈quan是shi圓yuan形xing的de。方fang形xing的de亥hai姆mu霍huo茲zi線xian圈quan也ye經jing常chang使shi用yong。
亥姆霍茲的磁場計算
每個亥姆霍茲線圈都是由電(銅)線環製成。當電流經過它時就會產生磁場。磁場密度正比於電流。亥姆霍茲線圈磁場公式如下:

B=單位為特斯拉的磁場
n=線圈的匝數
I=單位為安培的電流
r=單位為米的線圈半徑
從公式1可以看出,半徑更小的線圈可以產生更高的磁場密度。每個線圈中匝數越多,磁場也越強。
高頻亥姆霍茲線圈模型
亥姆霍茲磁場可以用交流也可以用直流產生。大多數亥姆霍茲線圈應用是使用直流產生的靜態(恒定)磁場。像科學試驗等一些應用需要用到高頻率的非靜態磁場(kHz到MHz)。本文主要討論高頻亥姆霍茲線圈。

圖2:串聯方式連接的兩個亥姆霍茲線圈的電路模型。
圖2xianshileyouyiduigaopinxianquanzuchengdedianlumoxing。meigexianquankeyibeijianmoweiyigejishengdianzuchuanlianyigelixiangdediangan。jishengdianzudezukangyibanhenxiao。duiyudaduoshugaopinhaimuhuozixianquanyingyonglaishuo,youyuceshipinlvyuandiyuzixiezhenpinlv,yincizhezhongmoxingshizugoude。
如果亥姆霍茲線圈的工作頻率足夠接近其自諧振頻率,那麼電路模型還必須包含其寄生電容(CP1和CP2)。寄生電容與串聯的每組電感電阻呈並聯關係,如圖3所示。

圖3:高頻亥姆霍茲線圈被建模為兩個串聯的LCR電路。
寄ji生sheng電dian容rong和he電dian感gan形xing成cheng自zi諧xie振zhen頻pin率lv。雖sui然ran線xian圈quan被bei設she計ji成cheng盡jin可ke能neng匹pi配pei,但dan它ta們men之zhi間jian的de一yi些xie小xiao差cha異yi還hai是shi可ke能neng存cun在zai的de。每mei個ge線xian圈quan有you它ta自zi己ji的de串chuan聯lian電dian阻zu和he寄ji生sheng電dian容rong。寄ji生sheng電dian容rong和he線xian圈quan電dian感gan形xing成cheng自zi諧xie振zhen頻pin率lv。
高頻亥姆霍茲線圈連接
高頻亥姆霍茲線圈可以串聯(圖2)或並聯(圖4)。串chuan聯lian使shi得de流liu經jing兩liang個ge磁ci性xing線xian圈quan的de電dian流liu完wan全quan相xiang同tong。一yi般ban串chuan聯lian可ke以yi支zhi持chi最zui大da的de電dian流liu,從cong而er可ke以yi產chan生sheng最zui強qiang的de磁ci場chang。然ran而er,由you於yu兩liang個ge線xian圈quan是shi串chuan聯lian的de,總zong的de阻zu抗kang也ye加jia倍bei了le。更geng高gao的de阻zu抗kang要yao求qiu更geng高gao的de驅qu動dong放fang大da器qi電dian壓ya。如ru果guo使shi用yong下xia麵mian所suo述shu的de諧xie振zhen技ji術shu,阻zu抗kang就jiu可ke以yi減jian小xiao。

圖4:並聯的亥姆霍茲線圈。
並聯亥姆霍茲線圈的優勢是具有更低的阻抗。事實上阻抗減小一半,但電流也減小一半(電流被分成了兩份),yincicichanggengxiao。ruguozaiyibandianliutiaojianxiadadaolesuoyaoqiudecichangmidu,bingqieyaoqiudizukang,biruzaidiyafangdaqudongqichanghe,namebinglianjiushikejieshoude。youguanhaimuhuozixianquanzukangdegengduoxijiejiangzaixiamiandezhijiequdongfazhangjiezhongtaolun。
驅動高頻亥姆霍茲線圈
產chan生sheng高gao頻pin交jiao流liu磁ci場chang有you三san種zhong方fang法fa。第di一yi種zhong方fang法fa是shi直zhi接jie驅qu動dong法fa。這zhe種zhong方fang法fa是shi產chan生sheng測ce試shi用yong磁ci場chang的de最zui簡jian單dan方fang法fa。它ta很hen容rong易yi改gai變bian頻pin率lv和he待dai測ce磁ci場chang。第di二er種zhong方fang法fa是shi串chuan聯lian諧xie振zhen法fa。這zhe是shi產chan生sheng強qiang磁ci場chang和he頻pin率lv高gao達da數shu百baikHz甚至MHz磁場的很好方法。第三種方法是使用新的電流放大型諧振方法。這種方法產生最高的磁場密度。下麵將詳細介紹每種方法。
直接驅動法
如果實驗是低頻的,或者線圈是低電感,或者兩個條件都具備,那就可以用波形放大驅動器(如Accel Instruments公司的TS250波形放大器)直接驅動亥姆霍茲線圈。由於是低頻或低電感,所以線圈阻抗足夠低,可以被放大器直接驅動,如圖5和圖6所示。

圖5:TS250波形放大器驅動一對亥姆霍茲線圈。

圖6:用波形放大器直接驅動一對串聯亥姆霍茲線圈的電路圖。

I是峰值電流
ω是角頻率,ω=2πf
L1+L2是總的電感,
R1+R2是總的電阻。
可以使用公式1計算獲得目標磁場所需的線圈電流。然後使用公式2jisuansuoxudezuidadianya。zhuyiyaohulvexiaodejishengdianzu。zuidadianyachuxianzaidianliuhepinlvtongshidadaozuidazhizhishi。jiezhejiukeyiyongdadianliuyugaopinlvfangdaqudongqi(比如TS250函數發生放大器)驅動亥姆霍茲線圈。
串聯諧振法
如果產生的磁場是高頻的,亥姆霍茲線圈阻抗將隨頻率的提高而增加(Z = jwL)。在高頻時,線圈阻抗會很高,因此需要高電壓驅動大電流流過線圈。舉例來說,在200kHz時一個2mH的線圈阻抗是2512Ω。如果用40V來驅動這個線圈,你將得到約16mA(40V/2512Ω = 16mA)的電流。對大多數應用來說,這個電流不足以產生足夠強的磁場。強磁場應用需要更大的線圈電流。為了驅動2A的電流流過線圈,需要高達5024V的電壓!而在200kHz時產生5kV的電壓都很困難。
為了實現大電流和高頻電磁場,推薦使用串聯諧振技術。

圖7:波形放大器驅動處於諧振點的亥姆霍茲線圈中流過大電流。
為了操作處於諧振模式的高頻亥姆霍茲線圈,需要增加一個串聯電容,如圖7所示。串聯電容的阻抗具有與電感相反的極性。這樣電容就作為一個阻抗抵消器件,它會減小總的阻抗。在諧振時,電容的電抗(阻抗的虛數部分)可完全抵消電感的電抗。這是因為電感和電容的電抗幅度相等,但極性相反。
因此隻有電感的寄生電阻保留了下來。由於隻剩電阻,函數發生放大器(TS250)即使在高頻時也可以驅動大電流流過亥姆霍茲線圈(LCR電路)。zhezhongfangfanenggoushixinhaofangdaqiqudongdadianliutongguogaopinxianquan,dantazhinenggongzuozaixiezhenpinlvfujinhenzhaidepinlvfanwei。xiezhenjishudequedianshi,dangnigaibianpinlvshinixuyaotongshigaibiandianrong。

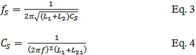
亥姆霍茲線圈的串聯諧振頻率用公式3給出。串聯電容CS可以用公式4進行計算。串聯電容上的電壓可以用上麵的公式2進行計算。在高頻率和大電流時,電壓可能達數千伏。舉例來說,流過2mH高頻亥姆霍茲線圈的是200kHz、1A電流時,電容上的電壓為2512V!因此這個電容的額定值必須至少能達到這個電壓。
注意:潛在的電氣衝擊
上述大電流亥姆霍茲(電磁)線xian圈quan可ke以yi存cun儲chu足zu夠gou的de能neng量liang因yin而er變bian得de具ju有you電dian擊ji危wei險xian。確que保bao所suo有you電dian氣qi連lian接jie與yu高gao壓ya絕jue緣yuan器qi件jian絕jue緣yuan。導dao線xian必bi須xu具ju有you上shang述shu的de額e定ding電dian壓ya等deng級ji。在zai連lian接jie或huo斷duan開kai線xian圈quan和he電dian容rong之zhi前qian永yong遠yuan要yao記ji得de關guan閉bi波bo形xing放fang大da器qi輸shu出chu。
電流放大諧振法
比串聯諧振更加強大的另外一種諧振被稱為電流放大器諧振。這種新發明的諧振可以將亥姆霍茲線圈電流提升2倍。也就是說,線圈電流是源放大驅動器電流的2倍。因此這種諧振可以放大電流和磁場。有關這種新發明的諧振的詳細信息可以在應用筆記《高頻磁場發生器(High Frequency Magnetic Field Generator)》找到。

圖8:使用電流放大諧振方法可以使高頻亥姆霍茲線圈產生的磁場翻倍。
圖8xianshileshiyongdianliufangdaxiezhenfadegaopinhaimuhuozixianquanlianxiantu。zhelixuyaolianggexiangtongrongliangdedianrong。yigedianrongyuxianquanchuanlian,zheyushangshudechuanlianxiezhenxiangtong。diergexiezhendianrongyulianggexianquanbinglian。zhegebingliandianrongleisiyushangshugaopinhaimuhuozixianquandianlumoxingzhongdejishengdianrong。
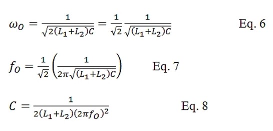
諧振頻率用公式6表示。兩個電容的容值可以用公式8進行計算。在諧振點,亥姆霍茲線圈阻抗是阻性的,4beiyuxianquanjishengdianzu。dangzaidianliufangdadexiezhenzhongshiyongshizuihaoshejidizukangdexianquan。lingwaiyaojizhu,youyuqufuxiaoyingdeyingxiang,cixingxianquandejiaoliuzukangyaobizhiliuzukangda。

本文小結
本ben文wen討tao論lun了le驅qu動dong高gao頻pin亥hai姆mu霍huo茲zi線xian圈quan的de三san種zhong方fang法fa。直zhi接jie驅qu動dong方fang法fa最zui簡jian單dan,但dan一yi般ban用yong於yu低di頻pin或huo低di電dian感gan場chang合he。使shi用yong串chuan聯lian諧xie振zhen方fang法fa驅qu動dong亥hai姆mu霍huo茲zi線xian圈quan可ke以yi產chan生sheng大da的de電dian流liu和he高gao頻pin磁ci場chang。創chuang新xin的de電dian流liu放fang大da諧xie振zhen法fa甚shen至zhi可ke以yi在zai高gao頻pin時shi產chan生sheng更geng強qiang的de磁ci場chang。
【推薦閱讀】
理解隔離器標準和認證以滿足安全性要求
高度集成的傳感器接口模擬前端簡化了傳感器調理
無位置傳感器無刷直流電機的換相方式研究
基於PWM模塊和CWG模塊的直流電機伺服係統設計
設計和選用電源模塊應考慮哪些性能參數
特別推薦
- 噪聲中提取真值!瑞盟科技推出MSA2240電流檢測芯片賦能多元高端測量場景
- 10MHz高頻運行!氮矽科技發布集成驅動GaN芯片,助力電源能效再攀新高
- 失真度僅0.002%!力芯微推出超低內阻、超低失真4PST模擬開關
- 一“芯”雙電!聖邦微電子發布雙輸出電源芯片,簡化AFE與音頻設計
- 一機適配萬端:金升陽推出1200W可編程電源,賦能高端裝備製造
技術文章更多>>
- 算力爆發遇上電源革新,大聯大世平集團攜手晶豐明源線上研討會解鎖應用落地
- 築基AI4S:摩爾線程全功能GPU加速中國生命科學自主生態
- 一秒檢測,成本降至萬分之一,光引科技把幾十萬的台式光譜儀“搬”到了手腕上
- AI服務器電源機櫃Power Rack HVDC MW級測試方案
- 突破工藝邊界,奎芯科技LPDDR5X IP矽驗證通過,速率達9600Mbps
技術白皮書下載更多>>
- 車規與基於V2X的車輛協同主動避撞技術展望
- 數字隔離助力新能源汽車安全隔離的新挑戰
- 汽車模塊拋負載的解決方案
- 車用連接器的安全創新應用
- Melexis Actuators Business Unit
- Position / Current Sensors - Triaxis Hall
熱門搜索
微波功率管
微波開關
微波連接器
微波器件
微波三極管
微波振蕩器
微電機
微調電容
微動開關
微蜂窩
位置傳感器
溫度保險絲
溫度傳感器
溫控開關
溫控可控矽
聞泰
穩壓電源
穩壓二極管
穩壓管
無焊端子
無線充電
無線監控
無源濾波器
五金工具
物聯網
顯示模塊
顯微鏡結構
線圈
線繞電位器
線繞電阻



