PCB設計中地線幹擾抑製方法詳解
——鐵路信號設備地線幹擾抑製方法的研究(三)
發布時間:2013-06-07 來源:電子元件技術網網友原創博文 責任編輯:Cynthiali
【導讀】本文是電子元件技術網網友原創博文《鐵路信號設備地線幹擾抑製方法的研究》係列第三章,重點介紹了在PCB設計中,如何通過適當接地方法,規避地線幹擾,包括地環路幹擾抑製方法 、公共阻抗耦合幹擾抑製方法、混合接地等內容。
《鐵路信號設備地線幹擾抑製方法的研究》全文從電氣電子設備接地重要性與地線幹擾形成機理入手,重點介紹電氣電子設備接地點與接地方式選擇、增加地環路阻抗、降低接地阻抗等方法,來消除公共阻抗耦合、地(di)環(huan)路(lu)等(deng)地(di)線(xian)幹(gan)擾(rao),實(shi)現(xian)電(dian)氣(qi)電(dian)子(zi)設(she)備(bei)良(liang)好(hao)的(de)電(dian)磁(ci)兼(jian)容(rong)。最(zui)後(hou),針(zhen)對(dui)鐵(tie)路(lu)現(xian)場(chang)電(dian)磁(ci)騷(sao)擾(rao)源(yuan)特(te)性(xing)與(yu)耦(ou)合(he)方(fang)式(shi),成(cheng)功(gong)地(di)將(jiang)地(di)線(xian)幹(gan)擾(rao)抑(yi)製(zhi)方(fang)法(fa)應(ying)用(yong)於(yu)某(mou)鐵(tie)路(lu)信(xin)號(hao)設(she)備(bei)的(de)電(dian)磁(ci)兼(jian)容(rong)設(she)計(ji)中(zhong)。
全文第一章為:EMC接地的概念與分類
全文第二章為: EMC地線幹擾形成的機理
4 地線幹擾抑製方法
接地抗幹擾技術的主要內容,一是避開地環路電流的幹擾,二為降低公共地線阻抗的耦合幹擾。“一點接地”有效地避免了地環路電流幹擾,而在“一點接地”前提下,並聯接地則是降低公共地線阻抗耦合幹擾的有效措施。
4.1 地環路幹擾抑製方法
從地環路幹擾的機理可知:隻(zhi)要(yao)減(jian)小(xiao)地(di)環(huan)路(lu)中(zhong)的(de)電(dian)流(liu)就(jiu)能(neng)減(jian)小(xiao)地(di)環(huan)路(lu)幹(gan)擾(rao),此(ci)外(wai),防(fang)止(zhi)線(xian)纜(lan)上(shang)的(de)共(gong)模(mo)騷(sao)擾(rao)電(dian)流(liu)轉(zhuan)化(hua)為(wei)幹(gan)擾(rao)電(dian)壓(ya),也(ye)是(shi)解(jie)決(jue)地(di)環(huan)路(lu)幹(gan)擾(rao)的(de)問(wen)題(ti)的(de)效(xiao)措(cuo)施(shi)。
抑製地環路幹擾主要方法有:平衡電路、光電隔離、磁電隔離、共模扼流圈,以及減少地線阻抗與浮地。本節將重點討論平衡電路、光耦隔離、磁電隔離、共模扼流圈在抑製地環路幹擾方麵的應用。
4.1.1 平衡電路
dangganyingdedianciganraozaihuilushangchuanshushi,ruguohuiludezukangwanquanduichengshi,duidianlubuhuiyinqiganrao。danshizaipinghengdianluzhong,shijidehuiluzukanghennanzuodaodadaowanquanduicheng,zhezhongbupinghengzukang,huijiangchuanshuxianzhongdegongmoganraozhuanhuaweichamoganrao,congerduidianluzaochengganrao,pinghengdianluyizhidihuanlugongmoganraodejiliruxiatusuoshi:

圖 9 平衡電路對地環路的抑製
4.1.2 磁電隔離
磁電隔離實質上是利用變壓器實現磁電隔離的基本原理:變(bian)壓(ya)器(qi)主(zhu)要(yao)由(you)繞(rao)在(zai)共(gong)同(tong)鐵(tie)心(xin)上(shang)的(de)兩(liang)個(ge)或(huo)多(duo)個(ge)繞(rao)組(zu)組(zu)成(cheng)。當(dang)在(zai)一(yi)個(ge)繞(rao)組(zu)上(shang)加(jia)上(shang)交(jiao)變(bian)電(dian)壓(ya)時(shi),由(you)於(yu)電(dian)磁(ci)感(gan)應(ying)而(er)在(zai)其(qi)它(ta)繞(rao)組(zu)上(shang)感(gan)生(sheng)交(jiao)變(bian)電(dian)壓(ya)。因(yin)此(ci)變(bian)壓(ya)器(qi)的(de)幾(ji)個(ge)繞(rao)組(zu)之(zhi)間(jian)是(shi)通(tong)過(guo)交(jiao)變(bian)磁(ci)場(chang)互(hu)相(xiang)聯(lian)係(xi)的(de),在(zai)電(dian)路(lu)上(shang)是(shi)互(hu)相(xiang)隔(ge)離(li)的(de)。這(zhe)樣(yang)可(ke)以(yi)使(shi)用(yong)變(bian)壓(ya)器(qi)切(qie)斷(duan)設(she)備(bei)與(yu)外(wai)部(bu)接(jie)口(kou)(含電源)之間的共模電磁幹擾傳播路途,讓一定頻率的差模信號可以通過,如下圖所示:

圖 10 磁電隔離原理
為提高高頻共模電磁幹擾的抑製性能,一般會在變壓器原邊、副邊間增加靜電屏蔽後,減小原邊/fubianzhijiandejishengdianrong。gaipingbiyuraozujianxingchengxindefenbudianrong,dangjiangpingbijiedihou,keyijianggaopinganraotongguozheyixindefenbudianrongyinhuidi,bimianqiduifubiandianluchanshengganrao。
目前磁電隔離技術,已廣泛應用於電氣電子產品的開關電源、以太網端口,切斷地環路幹擾的耦合途徑。
4.1.3 光電隔離
光電隔離采用光電耦合器來實現,即通過半導體發光二極管(LED)的光發射和光敏半導體(光敏電阻、光敏二極管、光敏三極管、光敏晶閘管等)的光接收,來實現信號的傳遞。由於發光二極管和光敏半導體是互相絕緣的,從而實現了電路的隔離,如下圖所示:

圖 11 光電隔離
4.1.4 繼電器隔離
電磁繼電器隔離一般由鐵芯、線圈、銜鐵、觸(chu)點(dian)簧(huang)片(pian)等(deng)組(zu)成(cheng)。隻(zhi)要(yao)在(zai)線(xian)圈(quan)兩(liang)端(duan)加(jia)上(shang)一(yi)定(ding)的(de)電(dian)壓(ya),線(xian)圈(quan)中(zhong)就(jiu)會(hui)流(liu)過(guo)一(yi)定(ding)的(de)電(dian)流(liu),從(cong)而(er)產(chan)生(sheng)的(de)電(dian)磁(ci)效(xiao)應(ying),銜(xian)鐵(tie)就(jiu)會(hui)在(zai)電(dian)磁(ci)吸(xi)引(yin)力(li)的(de)作(zuo)用(yong)下(xia)克(ke)服(fu)返(fan)回(hui)彈(dan)簧(huang)的(de)拉(la)力(li)吸(xi)向(xiang)鐵(tie)芯(xin),從(cong)而(er)帶(dai)動(dong)銜(xian)鐵(tie)的(de)動(dong)觸(chu)點(dian)與(yu)靜(jing)觸(chu)點(dian)(常開觸點)吸合。當線圈斷電後,電磁的吸力也隨之消失,銜鐵就會在彈簧的反作用力的作用下返回原來的位置,使動觸點與原來的靜觸點(常閉觸點)吸合。這樣的吸合、釋放。
繼電路實際上是一種電子控製器件,它具有控製係統(又稱輸入回路)和被控製係統(又稱輸出回路),通常應用於自動控製電路中,利用較小的電流去控製較大的電流的一種“自動開關”,在電路中起著自動調節、安全保護、轉換電路等作用。
jidianqidexianquanhechudianzhijianmeiyoudianqishangdelianxi。yinci,keyiliyongjidianqidexianquanjieshoudianqixinhao,eryongchudianfasongheshuchuxinhao,congerzaidipinshi,bimianqiangdianheruodianxinhaozhijiandezhijielianxi,shixianleshuruyushuchudedianqigeli,ruxiatusuoshi:

圖 12 繼電器隔離
4.1.4共模扼流圈隔離
[page]
共模扼流圈並非像隔離變壓器、光電耦合器、電磁繼電器那樣屬於隔離器件,這些器件中被隔離的兩端,通過磁、光、jixiejinxingxinhaodechuanshu,danshigongmoeliuquanzaidiancijianronglingyudeyingyongshi,zhuyaoshiweileranggongmodianganxianggeliqijiannayangjianggongmoganraogelizaigongmoeliuquanshuru/輸出的兩端,因此,在EMC領域,一般也將共模扼流圈與隔離變壓器、光電耦合器、電磁繼電器一樣,用為隔離器件。
共模扼流圈由鐵氧體磁芯、線圈La、 Lb,以及固定架組成,兩個線圈繞在同一鐵芯上,匝數和相位都相同(繞製反向),如下圖所示:

圖 13 共模扼流圈高頻隔離
這(zhe)樣(yang),當(dang)電(dian)路(lu)中(zhong)的(de)正(zheng)常(chang)電(dian)流(liu)流(liu)經(jing)共(gong)模(mo)電(dian)感(gan)時(shi),電(dian)流(liu)在(zai)同(tong)相(xiang)位(wei)繞(rao)製(zhi)的(de)電(dian)感(gan)線(xian)圈(quan)中(zhong)產(chan)生(sheng)反(fan)向(xiang)的(de)磁(ci)場(chang)而(er)相(xiang)互(hu)抵(di)消(xiao),此(ci)時(shi)正(zheng)常(chang)信(xin)號(hao)電(dian)流(liu)主(zhu)要(yao)受(shou)線(xian)圈(quan)電(dian)阻(zu)的(de)影(ying)響(xiang)(少量因漏感造成的阻尼);dangyougongmodianliuliujingxianquanshi,youyugongmodianliudetongxiangxing,huizaixianquanneichanshengtongxiangdecichangerzengdaxianquandegankang,shixianquanbiaoxianweigaozukang,chanshengjiaoqiangdezunixiaoguo,yicishuaijiangongmodianliu,dadaolvbodemude。
4.2 公共阻抗耦合幹擾抑製方法
消除公共阻抗耦合的途徑或方法有兩個:一是減小“公共地”地(di)線(xian)部(bu)分(fen)的(de)阻(zu)抗(kang),這(zhe)樣(yang)公(gong)共(gong)地(di)線(xian)上(shang)的(de)電(dian)壓(ya)也(ye)隨(sui)之(zhi)減(jian)小(xiao),從(cong)而(er)控(kong)製(zhi)公(gong)共(gong)阻(zu)抗(kang)耦(ou)合(he)。另(ling)一(yi)個(ge)是(shi)通(tong)過(guo)適(shi)當(dang)的(de)接(jie)地(di)方(fang)式(shi)避(bi)免(mian)容(rong)易(yi)相(xiang)互(hu)幹(gan)擾(rao)的(de)電(dian)路(lu)共(gong)用(yong)地(di)線(xian),一(yi)般(ban)要(yao)避(bi)免(mian)強(qiang)電(dian)電(dian)路(lu)、弱電電路共用地線,數字電路和模擬電路共用地線。
減少“公共地”地線阻抗核心問題是減小地線的電感,包括使用扁平導體做地線、用多條相距較遠的並聯導線做接地線。
對(dui)於(yu)印(yin)製(zhi)電(dian)路(lu)板(ban)而(er)言(yan),在(zai)雙(shuang)層(ceng)板(ban)上(shang)布(bu)地(di)線(xian)網(wang)絡(luo)能(neng)夠(gou)有(you)效(xiao)地(di)減(jian)小(xiao)地(di)線(xian)阻(zu)抗(kang),在(zai)多(duo)層(ceng)板(ban)上(shang)專(zhuan)門(men)用(yong)一(yi)層(ceng)做(zuo)地(di)平(ping)麵(mian)。但(dan)是(shi)通(tong)過(guo)選(xuan)擇(ze)適(shi)當(dang)的(de)接(jie)地(di)方(fang)式(shi)也(ye)可(ke)有(you)效(xiao)的(de)消(xiao)除(chu)公(gong)共(gong)阻(zu)抗(kang)的(de)耦(ou)合(he)幹(gan)擾(rao)。
電氣電子設備的接地方法主要有:單點接地、多點接地、混合接地、浮地。一般會根據電路類型、係統工作頻率、工作電流等選擇一個合適的接地方法,來抑製或減小共地阻抗幹擾。
4.2.1 單點接地
單(dan)點(dian)接(jie)地(di)是(shi)指(zhi)在(zai)一(yi)個(ge)線(xian)路(lu)中(zhong),隻(zhi)有(you)一(yi)個(ge)物(wu)理(li)點(dian)被(bei)定(ding)義(yi)為(wei)接(jie)地(di)參(can)考(kao)點(dian),其(qi)它(ta)各(ge)個(ge)需(xu)要(yao)接(jie)地(di)的(de)點(dian)都(dou)直(zhi)接(jie)接(jie)到(dao)這(zhe)一(yi)點(dian)上(shang)。單(dan)點(dian)接(jie)地(di)又(you)分(fen)為(wei)串(chuan)聯(lian)單(dan)點(dian)接(jie)地(di)和(he)並(bing)聯(lian)單(dan)點(dian)接(jie)地(di)。
(1)串聯單點接地

圖 14 串聯單點接地
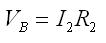
串聯單點接地如上圖所示,
A點的電位:
B點的電位:
C點的電位:
由 A、B、C sandiandedianweibiaodashikekanchugedianzhijiandedianweijianghuxiangyingxiang,ruogedianludedianpingxiangchabuda,zhezhongjiedifangshikeyishiyong,rugedianluzhijiandedianpingxiangchajiaodazebunengshiyong。jiarudianlu 1 是高電平電路,而電路 3 是低電平電路,那麼由C點的電位計算公式可知:電路 1 將嚴重幹擾到電路 3 的工作。
danshizhezhongjiedifangfabijiaojiandan,shiyongderengranhenduo。xuyaozhuyideshi,zaishiyongzhezhongjiedifangshiyizhigonggongzukangouheganraoshi,yingzhuyichuanliandecixu,zuipaganraodedianludediyingjiezaiA點,而最不怕幹擾的電路的地應接在C點。
錯誤的串聯單點接地如下圖所示:

圖 15 錯誤的串聯單點接地設計
在上圖中,將係統的接地點選擇在運算放大器的輸入側,公共阻抗耦合幹擾,疊加在運算放大器的輸入端了,如果Z1很大,或流過該阻抗的電流較大,運算放大器輸入端的疊加幹擾可能很好,導致錯誤的輸出結果。
如果將接地點放在運算放大器的輸出側,則可完全避免公共阻抗耦合幹擾,使運算放大器的輸入端不受地線電流的影響,如下圖所示:

圖 16 正確的接地設計
(2)並聯單點接地
[page]
並bing聯lian單dan點dian接jie地di采cai取qu所suo有you器qi件jian的de地di直zhi接jie接jie到dao地di彙hui接jie地di點dian,不bu共gong用yong接jie地di總zong線xian,各ge電dian路lu的de地di電dian位wei隻zhi與yu本ben電dian路lu的de地di電dian流liu及ji地di線xian阻zu抗kang有you關guan,不bu受shou其qi它ta電dian路lu影ying響xiang,這zhe樣yang接jie地di方fang式shi可ke以yi消xiao除chu公gong共gong阻zu抗kang耦ou合he幹gan擾rao。
並聯單點接地方式如下圖所示:

圖 17 並聯單點接地
其中,
由(you)上(shang)述(shu)電(dian)位(wei)計(ji)算(suan)公(gong)式(shi)可(ke)知(zhi),各(ge)點(dian)之(zhi)間(jian)的(de)電(dian)位(wei)隻(zhi)與(yu)本(ben)電(dian)路(lu)的(de)地(di)電(dian)流(liu)及(ji)地(di)線(xian)阻(zu)抗(kang)有(you)關(guan),因(yin)此(ci)在(zai)低(di)頻(pin)時(shi)各(ge)電(dian)路(lu)之(zhi)間(jian)不(bu)存(cun)在(zai)共(gong)阻(zu)抗(kang)耦(ou)合(he)的(de)地(di)線(xian)幹(gan)擾(rao),因(yin)此(ci),在(zai)電(dian)氣(qi)電(dian)子(zi)設(she)備(bei)低(di)頻(pin)工(gong)作(zuo)時(shi),盡(jin)量(liang)采(cai)用(yong)這(zhe)種(zhong)方(fang)式(shi)接(jie)地(di)。隻(zhi)是(shi)當(dang)電(dian)路(lu)數(shu)量(liang)較(jiao)多(duo)時(shi),這(zhe)種(zhong)接(jie)地(di)方(fang)式(shi)需(xu)要(yao)的(de)地(di)線(xian)較(jiao)多(duo),用(yong)起(qi)來(lai)比(bi)較(jiao)笨(ben)重(zhong)。
(3)混合單點接地
chuanliandandianjiedirongyichanshenggonggongzukangouhedewenti,jiejuedefangfashicaiyongbingliandandianjiedi,danshibingliandandianjiediwangwangyouyudixianguoduo,ermeiyoushishidekenengxing。
因此,實際情況中可以靈活采用這兩種單點接地方式的組合,即混合單點接地方式。
混hun合he單dan點dian接jie地di方fang式shi中zhong,是shi將jiang電dian路lu按an照zhao幹gan擾rao特te性xing分fen組zu,相xiang互hu之zhi間jian容rong易yi發fa生sheng幹gan擾rao的de電dian路lu放fang在zai不bu同tong的de組zu,相xiang互hu之zhi間jian不bu易yi發fa生sheng幹gan擾rao的de電dian路lu放fang在zai同tong一yi組zu,一yi組zu內nei的de電dian路lu采cai用yong串chuan聯lian單dan點dian接jie地di,不bu同tong組zu的de電dian路lu采cai用yong並bing聯lian單dan點dian接jie地di。
混合單點接地方式,如下圖所示:

圖 18 串聯單點和並聯單點混合接地
這種接地方法避免公共阻抗耦合幹擾的關鍵是:避(bi)免(mian)使(shi)功(gong)率(lv)相(xiang)差(cha)很(hen)大(da)的(de)電(dian)路(lu)或(huo)噪(zao)聲(sheng)電(dian)平(ping)相(xiang)差(cha)很(hen)大(da)的(de)電(dian)路(lu)共(gong)用(yong)一(yi)段(duan)地(di)線(xian)。這(zhe)種(zhong)接(jie)地(di)方(fang)式(shi),既(ji)解(jie)決(jue)了(le)公(gong)共(gong)阻(zu)抗(kang)耦(ou)合(he)的(de)問(wen)題(ti),又(you)避(bi)免(mian)了(le)地(di)線(xian)過(guo)多(duo)的(de)問(wen)題(ti)。
但是這種方式隻適用於低頻,不能用於高頻。因為根據傳輸線理論,當地線的長度接近信號波長的1/4時,它就相當於一根終端短路的傳輸線,不僅起不到接地作用,還會有很強的天線效應,向外輻射幹擾信號。
總的來說,單點接地適用於較低的頻率範圍,或者地線長度不超過信號波長的 1/20。
4.2.2 多點接地
duodianjiedi,shizhixitongzhonggegejiedidiandoujiedaojutazuijindedipingmianshang,yishijiedixianzuiduan。zhezhongfangshiyouyudixianjiaoduan,shiyongyugaopindianlu。gaopinxinhaodianluzaijiedizukangshangqizhudaozuoyongdeshidiangan,weilejiangdidixianzukang,zaigaopinduandoushiyongduodianjiedifangshi。
但多點接地方式可會形成各種地環路幹擾,如下圖所示:

圖 19 多點接地
如上圖可知,每電路對地電位為:
其中, 為地線等效電阻; 為地線等效電感, 是電路的地電流。
由上述公式可知,為了降低電路的地電位,每個電路的地線應盡可能短而粗,以便降低地線阻抗。
但在高頻時,由於趨膚效應,高頻電流隻流經導體表麵,此時要降低地線阻抗,通常采取地線排鍍銀的方式。
多點接地的優點是電路結構比單點接地簡單,可應用於頻率大於或等於10MHZ的高頻電路,施工時接地連接比單點接地易實現,而且高頻下駐波效應可減至最小。
然而,多點接地將會使相距較遠的參考地未隔離、兩liang個ge互hu連lian通tong信xin設she備bei之zhi間jian出chu現xian多duo個ge地di線xian回hui路lu,通tong過guo地di線xian回hui路lu將jiang可ke能neng對dui低di電dian平ping電dian路lu產chan生sheng幹gan擾rao,形xing成cheng地di環huan路lu幹gan擾rao,對dui電dian氣qi電dian子zi設she備bei的de正zheng常chang運yun行xing造zao成cheng不bu良liang影ying響xiang。
目前多點接地方法主要用於如下場合:
(1)高速印製線路板的接地設計:一般在印製線路板中定義一個完整的參考地平麵,為了保持地平麵的低阻抗特性,盡可能的不對地平麵分割或減小過孔的數量。
(2)相距較遠的電氣電子設備之間互連信號線通過光電、磁電、繼電器等隔離方法,切斷其地環路幹擾耦合途徑或增大其地環路的阻抗等。
(3)盡可能地減小電氣電子設備之間的地電位差,譬如通過多股銅線或扁平銅板將設備各個接地點相連。
否則,應用多點接地方法不但不能消除地線幹擾,還可能導致電氣電子設備的運行不穩定或抗幹擾性能差。
4.2.3 浮地
[page]
對(dui)於(yu)電(dian)子(zi)產(chan)品(pin)而(er)言(yan),浮(fu)地(di)是(shi)指(zhi)設(she)備(bei)的(de)地(di)線(xian)在(zai)電(dian)氣(qi)上(shang)與(yu)參(can)考(kao)地(di)及(ji)其(qi)他(ta)導(dao)體(ti)相(xiang)絕(jue)緣(yuan)。浮(fu)地(di)的(de)目(mu)的(de)是(shi)將(jiang)電(dian)路(lu)與(yu)公(gong)共(gong)接(jie)地(di)係(xi)統(tong),或(huo)可(ke)能(neng)引(yin)起(qi)環(huan)流(liu)的(de)公(gong)共(gong)導(dao)線(xian)隔(ge)離(li)開(kai),此(ci)外(wai),浮(fu)地(di)還(hai)可(ke)以(yi)使(shi)不(bu)同(tong)電(dian)位(wei)之(zhi)間(jian)的(de)電(dian)路(lu)配(pei)合(he)變(bian)得(de)容(rong)易(yi)
實現電路或設備浮地的方法主要有變壓器隔離和光電隔離兩種。
浮fu地di的de最zui大da優you點dian是shi抗kang幹gan擾rao性xing能neng好hao,而er缺que點dian是shi由you於yu不bu與yu公gong共gong地di相xiang連lian,容rong易yi在zai兩liang者zhe之zhi間jian造zao成cheng靜jing電dian積ji累lei,當dang電dian荷he積ji累lei到dao一yi定ding程cheng度du後hou,可ke能neng會hui引yin起qi劇ju烈lie的de靜jing電dian放fang電dian,而er成cheng為wei破po壞huai性xing很hen強qiang的de幹gan擾rao源yuan。
一個折中的方案是在浮地與公共地之間跨接一個阻值很大的泄放電阻,用以釋放所積累的電荷。
4.4 混合接地
混hun合he接jie地di是shi在zai單dan點dian接jie地di的de基ji礎chu上shang再zai通tong過guo一yi些xie電dian感gan或huo電dian容rong多duo點dian接jie地di,使shi用yong電dian感gan或huo電dian容rong,使shi接jie地di係xi統tong在zai低di頻pin和he高gao頻pin時shi呈cheng現xian不bu同tong的de特te性xing,這zhe在zai寬kuan帶dai敏min感gan電dian路lu中zhong是shi很hen有you必bi要yao的de。混hun合he接jie地di既ji包bao含han了le單dan點dian接jie地di的de特te性xing,也ye包bao含han了le多duo點dian接jie地di的de特te性xing。
電容對低頻和直流有較高的阻抗,因此能夠避免兩個模塊之間的地環路形式。當將直流地和射頻地分開時,將每個子係統的直流地通過 10~100nF的電容器接到射頻地上,這兩種地應在一點有低阻抗連接起來,連接點應選在最高翻轉速度di/dt信號存在的點。
工頻頻率介於1~30MHZ的電路采用混合接地方式,當接地線的長度小於工作信號波長的1/20時,采用單點接地方式,否則采用多點接地式,混合接地如下圖所示:

圖 20 混合接地
4.5 接地選用原則
在zai抑yi製zhi共gong阻zu抗kang耦ou合he的de地di線xian幹gan擾rao中zhong,無wu論lun是shi單dan點dian接jie地di,還hai是shi多duo點dian接jie地di,都dou存cun在zai一yi定ding的de優you缺que點dian,需xu要yao根gen據ju具ju體ti情qing況kuang決jue定ding。一yi般ban按an下xia列lie準zhun則ze選xuan取qu:
(1)對於低頻(<1MHz),且地線長度較短的情況(<λ/20),選用單點接地方式。
(2)對於低頻(>1MHz),且地線長度較長的情況(>λ/20),選用多點接地方式。
(3)對於頻率介於 1MHz~10MHz 之間,且地線長度與λ/20 相當的情況,選用單點和多點混合地方式。
(4)對於頻率>10MHz 的情況,采用多點接地方式。
相關閱讀:
EMC地線幹擾形成的機理
EMC接地的概念與分類
高速印製電路板的EMC設計
三方麵有效控製EMC
特別推薦
- 噪聲中提取真值!瑞盟科技推出MSA2240電流檢測芯片賦能多元高端測量場景
- 10MHz高頻運行!氮矽科技發布集成驅動GaN芯片,助力電源能效再攀新高
- 失真度僅0.002%!力芯微推出超低內阻、超低失真4PST模擬開關
- 一“芯”雙電!聖邦微電子發布雙輸出電源芯片,簡化AFE與音頻設計
- 一機適配萬端:金升陽推出1200W可編程電源,賦能高端裝備製造
技術文章更多>>
- 築基AI4S:摩爾線程全功能GPU加速中國生命科學自主生態
- 一秒檢測,成本降至萬分之一,光引科技把幾十萬的台式光譜儀“搬”到了手腕上
- AI服務器電源機櫃Power Rack HVDC MW級測試方案
- 突破工藝邊界,奎芯科技LPDDR5X IP矽驗證通過,速率達9600Mbps
- 通過直接、準確、自動測量超低範圍的氯殘留來推動反滲透膜保護
技術白皮書下載更多>>
- 車規與基於V2X的車輛協同主動避撞技術展望
- 數字隔離助力新能源汽車安全隔離的新挑戰
- 汽車模塊拋負載的解決方案
- 車用連接器的安全創新應用
- Melexis Actuators Business Unit
- Position / Current Sensors - Triaxis Hall
熱門搜索





