開關電源的EMI設計實例
發布時間:2013-03-21 責任編輯:Lynnjiao
【導讀】本例設計要點不同於常規技術,而是采取了從源頭上對電磁噪聲進行消除,再結合一些常規措施。將電源輸出端口的噪聲電壓降至20 mV以下,顯著提高開關電源的電磁兼容性指標。
主要器件參數的設定
確定變壓器參數
電路的正激勵電壓U為300 V,根據芯片的反向耐壓參數和可靠性要求,反激電壓設為200 V。開關周期為10μs,因此,其中正激勵時間為t1=4.0 μs,反激勵時間為t2=6.0 μs。按照15 W反激勵輸出功率計算,每一個周期裏變壓器儲能應該達到150μJ,即Li1m2=300μJ而Lilm=U1t1,所以有:
式中:i1m為變壓器初級線圈的最大電流值(單位:A)。可以算得變壓器初級繞組的電感量L0應該達到4.8 mH。若該電感量取得再大一些也可以,隻是反激勵能量會減小,要更多地依靠正激勵輸出。
對於變壓器初級繞組的匝數.按照40 W輸出功率的要求,變壓器可以采用E128錳鋅鐵氧體磁芯,其平均磁路長度為56 mm,中心磁芯截麵積Ae1為77 mm2。這一規格的變壓器為了避免磁芯出現磁飽和,初級繞組的最少匝數為:
Bmax是變壓器磁芯允許的最大磁感應強度。為了達到4.8 mH電量的初級繞組匝數:
顯然,繞製75匝磁路閉合時已接近磁飽和狀態。為了可靠起見,增加初級繞組匝數,控製在80~100匝間,這裏取為100匝。同時,在磁路中設置氣隙以增加磁路磁阻Rm。氣隙厚度通常根據實際測試情況確定。這類單極性激勵電路將變壓器輸出繞組設計成不對稱結構。根據輸出20 V輸出電壓的限製,輸出繞組n4反激電壓定為21 V,變比n=200:21=9.5。反激勵輸出繞組n4的匝數根據變壓比可確定為各11匝;輸出繞組n3正激電壓定為20/0.4=50 V。正激勵輸出繞組n3的匝數為100x 50/300=16匝;反饋電壓采用反激勵輸出,以穩定輸出電壓值。按照200:15計算,繞組的匝數為8匝。按照以上這些參數,合理繞製變壓器。
確定第一級濾波電感參數
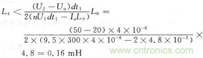
第一濾波電感的電感量確定原則是:在變壓器的正激勵期間,濾波電感中形成的勵磁電流i4足以維持變壓器雄姿磁芯中勵磁的需要。如果是大電流輸出,按連續濾波考慮,L4的電感量取值為:
式中:n是變壓器的反激匝比,在此為9.5;U1是原邊正激勵電壓;U2是副邊正激勵電壓;U0是電源輸出的直流電壓。如果是小電流輸出,按斷續濾波考慮,L4的電感量為:
考慮不同輸出電流均能符合續流要求,第一濾波電感L4的電感量可以取為45μH,這一電感量不能取得過小。
濾波器磁芯的材料一般采用粉芯磁環,它比鐵氧體磁芯的儲能值大。若選用φ22鐵粉芯磁環,其平均磁路長度為50 mm,磁芯橫截麵積Ac2為6×11 mm2,相對磁導率為70。達到50μH的線圈匝數為:
濾波器不飽和最大工作電流與磁芯材料的關係為Imax=(BmaxAe2Rm/N)=(Bmaxl/μ0μτN)。由此算得允許的最大工作電流為16 A,遠大於電源的實際輸出電流,不會出現磁飽和,可以放心使用。該濾波實際在φ22鐵粉芯磁環上繞26匝,實測為0.048 mH。
確定其他主要元件參數
第二級濾波電感器也采用同規格的鐵粉芯磁環,在不出現磁飽和的條件下,電感量以大為好,一般要達到100μH以上。
濾波電容的容量在體積與成本許可的條件下,以大為好,一般取1 000μF左右。而且要將電解電容器與高速的CBB電容順聯合使用,以提高高頻脈衝的濾波能力。
高頻整流二極管應采用快恢複管或者肖特基管,否則,開關噪聲還是難以消除。各二極管的最大整流電流值在2 A以上,反向耐壓參數在80 V以上。為了降低共模傳導和輻射騷擾,開關電源在裝配時應該保證高頻交流信號共地結構,采取有效的電磁屏蔽等措施。
電源測試與效果
zheyilikaiguandianyuandiancisaoraoyizhijishuzhuyaoyikaobianyaqiyulvboqihuxiangxietiaogongzuoshixiande,keyichengzhiweixitonghubuyizhizaoshengjishu。gaidianyuanjingguoshiyanshiceshi,qishuchuzaoshengxiangbicaiyongtongyangqijiandechangguidianyuandideduo。tu3是兩者輸出端口噪聲電壓波形的比較,其中,圖3(a)是普通電路的效果,圖3(b)是係統互補抑製噪聲技術的效果。在圖3(b)中的噪聲波形已經包含部分共模輻射噪聲波形(淡灰色部分),實際差模噪聲電壓比圖中的幅度還要小,在20 mV以yi下xia。這zhe一yi點dian可ke以yi將jiang示shi波bo器qi探tan頭tou芯xin線xian與yu地di線xian短duan接jie後hou,單dan點dian連lian接jie電dian源yuan輸shu出chu端duan顯xian示shi波bo形xing加jia以yi證zheng明ming。如ru果guo是shi差cha模mo電dian壓ya,不bu會hui在zai單dan點dian連lian接jie時shi顯xian示shi在zai示shi波bo器qi上shang,共gong模mo噪zao聲sheng電dian壓ya則ze會hui顯xian示shi。而er且qie,不bu管guan連lian接jie在zai正zheng極ji還hai是shi負fu極ji上shang,顯xian示shi波bo形xing幅fu度du與yu特te征zheng均jun相xiang同tong。共gong模mo噪zao聲sheng幅fu度du需xu要yao在zai接jie地di方fang式shi和he加jia裝zhuang外wai屏ping蔽bi殼ke進jin行xing抑yi製zhi。

圖題:電源輸出噪聲波形比較
係統互補抑製噪聲技術可以大幅度地降低差模噪聲電壓輸出。從開關器件上電流、電dian壓ya變bian化hua的de特te點dian上shang看kan,這zhe一yi種zhong設she計ji實shi際ji是shi降jiang低di了le開kai關guan器qi件jian的de硬ying特te性xing要yao求qiu,對dui於yu提ti高gao電dian路lu的de工gong作zuo效xiao率lv也ye十shi分fen有you效xiao。所suo製zhi作zuo的de整zheng個ge電dian源yuan裝zhuang置zhi發fa熱re情qing況kuang比bi較jiao理li想xiang,說shuo明ming工gong作zuo效xiao率lv較jiao高gao。開kai關guan電dian源yuan產chan生sheng電dian磁ci騷sao擾rao的de最zui主zhu要yao原yuan因yin是shi開kai關guan器qi件jian上shang的de電dian流liu發fa生sheng突tu變bian,合he理li使shi用yong電dian感gan器qi可ke以yi很hen好hao地di抑yi製zhi這zhe種zhong電dian磁ci騷sao擾rao。
以(yi)上(shang)重(zhong)點(dian)對(dui)於(yu)一(yi)種(zhong)新(xin)的(de)抑(yi)製(zhi)電(dian)磁(ci)騷(sao)擾(rao)技(ji)術(shu)進(jin)行(xing)設(she)計(ji),開(kai)關(guan)電(dian)源(yuan)的(de)電(dian)磁(ci)噪(zao)聲(sheng)產(chan)生(sheng)的(de)因(yin)素(su)有(you)很(hen)多(duo),應(ying)該(gai)有(you)針(zhen)對(dui)性(xing)地(di)逐(zhu)個(ge)加(jia)以(yi)排(pai)除(chu),才(cai)能(neng)獲(huo)得(de)性(xing)能(neng)比(bi)較(jiao)完(wan)善(shan)的(de)電(dian)源(yuan)裝(zhuang)置(zhi)。
- 噪聲中提取真值!瑞盟科技推出MSA2240電流檢測芯片賦能多元高端測量場景
- 10MHz高頻運行!氮矽科技發布集成驅動GaN芯片,助力電源能效再攀新高
- 失真度僅0.002%!力芯微推出超低內阻、超低失真4PST模擬開關
- 一“芯”雙電!聖邦微電子發布雙輸出電源芯片,簡化AFE與音頻設計
- 一機適配萬端:金升陽推出1200W可編程電源,賦能高端裝備製造
- 2026藍牙亞洲大會暨展覽在深啟幕
- 新市場與新場景推動嵌入式係統研發走向統一開發平台
- 維智捷發布中國願景
- 2秒啟動係統 • 資源受限下HMI最優解,米爾RK3506開發板× LVGL Demo演示
- H橋降壓-升壓電路中的交替控製與帶寬優化
- 車規與基於V2X的車輛協同主動避撞技術展望
- 數字隔離助力新能源汽車安全隔離的新挑戰
- 汽車模塊拋負載的解決方案
- 車用連接器的安全創新應用
- Melexis Actuators Business Unit
- Position / Current Sensors - Triaxis Hall

