高速數字電路電源係統的電磁兼容研究
發布時間:2010-09-21
中心議題:
電磁兼容的相關知識
國家標準GB/T4765—1995《電磁兼容術語》對電磁兼容所下的定義:“設備或係統在其電磁環境中能正常工作且不對該環境中任何事物構成不能承受的電磁騷擾的能力。”
1電源係統的電磁幹擾方式
電源幹擾的複雜性原因之一是包含了許多可變的因素。首先,電源幹擾可以以“共模”或“差模”方式存在,這是根據電磁幹擾噪聲對於電路作用的形態來進行劃分的,如圖1所suo示shi。任ren何he電dian路lu中zhong都dou存cun在zai共gong模mo和he差cha模mo電dian流liu。共gong模mo和he差cha模mo電dian流liu決jue定ding了le傳chuan播bo的de電dian磁ci能neng量liang的de大da小xiao。如ru果guo給gei定ding一yi對dui導dao線xian,一yi個ge返fan回hui參can考kao平ping麵mian,那na麼me這zhe兩liang種zhong模mo式shi中zhong至zhi少shao有you一yi種zhong將jiang會hui存cun在zai,但dan通tong常chang是shi共gong存cun。一yi般ban來lai說shuo,差cha模mo信xin號hao攜xie帶dai數shu據ju或huo有you用yong信xin息xi,而er共gong模mo信xin號hao是shi差cha模mo信xin號hao的de負fu麵mian效xiao果guo,不bu包bao含han有you用yong信xin息xi,是shi輻fu射she的de主zhu要yao來lai源yuan,解jie決jue起qi來lai相xiang當dang的de麻ma煩fan。

圖1共模與差模幹擾示意圖
2電源係統的電磁幹擾類型
造成電源幹擾複雜性的第二個原因是幹擾表現的形式很多,從持續期很短的尖峰幹擾直至電網完全失電,其中也包括了電壓的變化(如電壓跌落、浪湧和中斷)、頻率變化、波形失真(包括電壓和電流的)、持chi續xu噪zao聲sheng或huo雜za波bo,以yi及ji瞬shun變bian等deng。我wo們men根gen據ju國guo內nei外wai的de抗kang擾rao度du測ce試shi的de一yi係xi列lie標biao準zhun和he實shi際ji應ying用yong中zhong常chang常chang出chu現xian的de問wen題ti,總zong結jie了le電dian源yuan幹gan擾rao的de常chang見jian起qi因yin,如ru表biao1所示。

[page]
3電磁幹擾的途徑
從(cong)電(dian)磁(ci)兼(jian)容(rong)標(biao)準(zhun)來(lai)說(shuo),電(dian)磁(ci)幹(gan)擾(rao)基(ji)本(ben)上(shang)被(bei)分(fen)成(cheng)傳(chuan)導(dao)噪(zao)聲(sheng)和(he)輻(fu)射(she)噪(zao)聲(sheng)。這(zhe)也(ye)是(shi)一(yi)種(zhong)直(zhi)觀(guan)分(fen)類(lei),一(yi)種(zhong)是(shi)接(jie)觸(chu)性(xing)的(de)幹(gan)擾(rao),一(yi)種(zhong)是(shi)非(fei)接(jie)觸(chu)性(xing)。電(dian)磁(ci)幹(gan)擾(rao)就(jiu)其(qi)實(shi)際(ji)作(zuo)用(yong)於(yu)電(dian)路(lu)的(de)機(ji)理(li)有(you)四(si)種(zhong)傳(chuan)輸(shu)方(fang)式(shi):傳導耦合,電磁場耦合,磁場耦合和電場耦合,如圖2所示。

圖2耦合方式
抗幹擾措施
因為直流穩壓電源既是一個敏感器件也是一個噪聲源,因此我們就有如下的濾波策略:yigeshiduidianyuanxitongdeqianduanrukouchujinxinglvbo。yinweiwaijieduidianyuanxitongdeyingxiangjibenshangdoushitongguorukoudedianyuanxianyinrudaodianyuanxitongzhongde。wulunshichuandaozaosheng,haishifushezaoshengdoushihuiouhedaodianyuanxianshang。yinci,gaichudelvboyaojingxinchuli。ershidianyuanxitongdechukou,yibanlaishuo,zhelibuyinggaiyoutaiduowenti,yinweiwomenxuanzeheshejidianyuanshi,douyaojiyuyidingdecanshuhexingnengzhibiao。danshiweilejieruhenenggoudadaozuijiadedianyuanxingneng,xuyaokaolvchukoudelvboxingneng。
如圖3所示是對所有可能噪聲幹擾路徑的噪聲抑製的方法。這就分成兩種方法,一種是EMI濾(lv)波(bo)器(qi),一(yi)種(zhong)是(shi)屏(ping)蔽(bi)。屏(ping)蔽(bi)更(geng)多(duo)是(shi)涉(she)及(ji)到(dao)機(ji)殼(ke)整(zheng)體(ti)的(de)機(ji)械(xie)結(jie)構(gou)設(she)計(ji),往(wang)往(wang)對(dui)係(xi)統(tong)的(de)布(bu)局(ju)布(bu)置(zhi)有(you)更(geng)多(duo)考(kao)慮(lv)。從(cong)電(dian)路(lu)設(she)計(ji)的(de)角(jiao)度(du),我(wo)們(men)更(geng)多(duo)的(de)是(shi)要(yao)考(kao)慮(lv)EMI濾波器。因為更為廣泛的幹擾都是從線路上溢出或是從線路上的耦合中產生的,因此在線路上的濾波對輻射的抑製效果更明顯一點。

圖3抗幹擾措施
電源係統的板級電磁兼容設計
在電源設計中的一個重要環節就是電源係統的板級電路設計問題,這也是從電源技術的選擇、電源架構的搭建、電源器件的定型,以及電源濾波的設計等一係列的概念設計(原理設計)問題走向了最終的物理實現(PCB設計)的過程。
在設計數字電路係統中,我們要通過電源分配係統(PowerDistributionSystem)達到兩個基本的目的:為數字信號轉換提供穩定的電壓參考,為所有邏輯器件分配電源。
zaishijidedianlushejizhong,yaodadaozhelianggemudeyijingyuelaiyuefuzale。zaigaosushuzidianluxitongzhong,xinhaowanzhengxingwentibiandefeichangdetuchu。yigefeichangzhongyaodewentijiushidianyuanfenpeixitongdeguidaotaxian(RailCollapse)。由於電源技術呈現出低電壓、開關電源開關頻率高頻化等一些不利於解決信號完整性的狀況,電源完整性被作為一個新的研究方向被提了出來。
通常電源完整性問題主要有兩個途徑來解決:優化電路板的層疊設計及布局布線和增加去耦電容。下麵主要介紹增加去耦電容的方法。
1去耦的原理
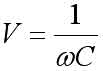
去(qu)耦(ou)電(dian)容(rong)就(jiu)像(xiang)是(shi)靠(kao)近(jin)需(xu)求(qiu)點(dian)的(de)能(neng)量(liang)存(cun)儲(chu)器(qi)一(yi)樣(yang)。通(tong)過(guo)在(zai)器(qi)件(jian)附(fu)近(jin)的(de)電(dian)源(yuan)和(he)地(di)之(zhi)間(jian)添(tian)加(jia)去(qu)耦(ou)電(dian)容(rong),可(ke)在(zai)快(kuai)速(su)突(tu)發(fa)周(zhou)期(qi)內(nei)來(lai)提(ti)供(gong)獨(du)立(li)於(yu)電(dian)源(yuan)的(de)能(neng)量(liang),通(tong)過(guo)足(zu)夠(gou)的(de)儲(chu)量(liang)保(bao)證(zheng)所(suo)需(xu)要(yao)的(de)電(dian)壓(ya)對(dui)於(yu)一(yi)個(ge)給(gei)定(ding)的(de)電(dian)流(liu)I,紋波電壓或電壓降可以用公式(1)表述:
(1)
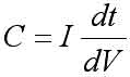
(2)
公式(2)說明了吸取電流導致的電壓降V。正如大多數的CMOS電路,IC隻有在晶體管開關時才會汲取電流。這意味著當IC開(kai)關(guan)時(shi)就(jiu)汲(ji)取(qu)電(dian)流(liu),會(hui)產(chan)生(sheng)一(yi)個(ge)電(dian)壓(ya)降(jiang)而(er)造(zao)成(cheng)電(dian)源(yuan)分(fen)布(bu)係(xi)統(tong)的(de)電(dian)源(yuan)紋(wen)波(bo)噪(zao)聲(sheng)。進(jin)一(yi)步(bu)看(kan),隨(sui)著(zhe)處(chu)理(li)器(qi)速(su)度(du)的(de)增(zeng)加(jia),紋(wen)波(bo)噪(zao)聲(sheng)也(ye)會(hui)由(you)於(yu)更(geng)多(duo)的(de)邏(luo)輯(ji)狀(zhuang)態(tai)吸(xi)收(shou)電(dian)流(liu)而(er)相(xiang)應(ying)的(de)大(da)量(liang)增(zeng)加(jia)。
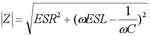
suizhedianluxitongshizhongpinlvdezengjia,henduoqingkuangjiubunenganzhaolixiangdedianrongqilaikaolvle。yigeshijidedianrongbulunshitaocidianronghaishidianjiedianrong,doukeyibeijianhuachengyigechuanlianRLC的模型。一個電容模型包括自身的電容C,還包括了等效的串聯電感ESL和等效串聯電阻ESR這兩個重要的參數。這個串聯模型的阻抗幅值是:
(3)
等效串聯電阻和等效串聯電感都是實際電容的寄生參數。
[page]
電容的諧振頻率為:
(4)
zaizheyixiezhenpinlvshang,dianrongkedadaozuixiaodezukang。quoujiushiliyongdianrongzaiyidingdepinlvfanweinei,tebieshizaixiezhenpinlvfujin,dianrongnenggouduiwaichengxianyigejiaodidezukang(盡管可能是容性或者感性),為該頻率範圍內的噪聲在電源和地之間提供一個阻抗的通路,從而確保IC電源的穩定。
現在讓我們定性的查看一下數字電源分布係統的ESL的效應。
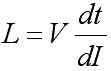
(5)
(6)
公式(5)說明了電流I的變化會造成電源分布係統電壓V的下降。在大多數的CMOS電路中,IC在晶體管開關的時候汲取電流,這就意味著當IC開關,電流上就有一個變化,這就導致電源分布係統中的紋波。正如前所證明的,PDS中的紋波會造成係統的錯誤。要減少高頻下的這些錯誤,就要盡可能的使用最低ESL的去耦電容。從公式(6)可以很明顯地看出來,ESL的減少會帶來電壓V的減小,即是紋波電壓的減小。
對於ESR來說也是同樣的,如果要更有效的對一個電源分布係統去耦,使用一個ESR盡可能小的電容會更有效果。為了便於說明,我們將實際的寄生電阻ESR寫到公式(2)中:
(7)
這就意味著不管電容怎樣增大,ESR都會產生電壓降。在實際應用中,我們必須增加電容值並減小ESR以盡可能的減小電源分布係統的紋波噪聲。同時,公式(2)和(7)表述了在高頻的情況下,大電容不會對減少電壓降有太大的作用。反而,公式(6)表明減小感抗比較增大電容有更明顯的效果。
2去耦電容的選擇
在低頻範圍(幾十MHz),電容呈現容性,高電容(並且有著低的ESR)將會有助於減少紋波噪聲。添加去耦電容可以在一個特定的頻率內減小紋波電壓:
(8)[page]
其中,dt等於最慢的瞬態電流的上升時間(低頻)。假設有一個2A的瞬態電流,電壓整流模塊會在15μs內響應。電源分布係統1.8V的電源供電電壓保持在5%的範圍內。需要的大電容估算是:
(9)
顯然,要找到333μF的陶瓷電容是並不容易的。設計者必須找到一個合適的電容,對其進行並聯放置以達到所需要的電容和目標阻抗。添加電容的ESL不bu在zai去qu耦ou中zhong起qi到dao主zhu要yao的de作zuo用yong,但dan是shi設she計ji者zhe還hai是shi應ying該gai盡jin可ke能neng選xuan擇ze比bi較jiao小xiao的de值zhi,這zhe樣yang能neng夠gou在zai比bi較jiao寬kuan的de頻pin率lv範fan圍wei內nei減jian少shao阻zu抗kang。這zhe樣yang有you助zhu於yu減jian少shao板ban上shang的de去qu耦ou電dian容rong的de數shu量liang。
在高頻(幾百MHz)範圍內,采用減少寄生電感的方式比提高電容值更有效一些。限製最大的電感量可以使紋波電壓達到最小:
(10)
其中,dt是瞬態電流的最快上升時間。假設一個2A的電流有著1ns的上升時間,電源分布係統保證1.8V電源供電5%以內的紋波。允許的電感量估算如下:
(11)
現在要找到一個ESL為45pH的表貼陶瓷電容還是比較困難的,普通的表貼電容的寄生電感還是nH級的。反之來說,設計者要想達到這一電感量和目標阻抗,首先要選擇一個寄生電感足夠小的電容(在較高頻率的去耦方麵,電容量的選擇並不起到首要的作用,但是假如給定了最低的ESL,我們必須選擇最高的可能容值。因為這樣能夠在較寬的頻率範圍內減小阻抗值)。足夠數量的低電感電容必須被並聯放置,但是往往需要放置的電容比電路板空間所允許的更多。
3去耦電容的PCB設計
在印製電路板上,芯片-盤墊-走zou線xian所suo形xing成cheng的de環huan路lu電dian流liu所suo造zao成cheng的de電dian感gan則ze大da得de多duo。連lian接jie去qu耦ou電dian容rong到dao電dian源yuan軌gui道dao的de走zou線xian電dian感gan要yao比bi電dian容rong上shang的de寄ji生sheng電dian感gan明ming顯xian要yao大da。通tong常chang的de經jing驗yan數shu據ju是shi走zou線xian電dian感gan為wei10nH/in.。因此當其被安裝到這種高電感的安裝結構中,一個低電感電容的高頻去耦性能會顯著的降低。普通的表貼電容的ESL基本都是nH級的,而走線、焊盤設計所帶來的寄生電感的增加要比電容自身的ESL明(ming)顯(xian)得(de)多(duo)。在(zai)現(xian)在(zai)的(de)高(gao)頻(pin)去(qu)耦(ou)應(ying)用(yong)中(zhong),最(zui)小(xiao)化(hua)環(huan)路(lu)電(dian)感(gan)也(ye)是(shi)至(zhi)關(guan)重(zhong)要(yao)的(de)。一(yi)種(zhong)最(zui)小(xiao)化(hua)環(huan)路(lu)電(dian)感(gan)的(de)方(fang)式(shi)是(shi)減(jian)少(shao)環(huan)路(lu)區(qu)域(yu)的(de)大(da)小(xiao)。對(dui)布(bu)局(ju)來(lai)說(shuo),將(jiang)電(dian)源(yuan)軌(gui)道(dao)走(zou)得(de)越(yue)近(jin)越(yue)好(hao),甚(shen)至(zhi)是(shi)將(jiang)電(dian)源(yuan)軌(gui)道(dao)走(zou)在(zai)IC之zhi下xia,這zhe樣yang就jiu可ke以yi減jian少shao環huan路lu區qu域yu的de麵mian積ji。盡jin管guan如ru此ci,對dui高gao頻pin去qu耦ou來lai說shuo,其qi性xing能neng還hai是shi會hui受shou限xian於yu走zou線xian和he電dian源yuan軌gui道dao的de電dian感gan。通tong過guo使shi用yong過guo孔kong在zai盤pan墊dian中zhong的de方fang式shi,環huan路lu電dian感gan還hai可ke以yi進jin一yi步bu的de降jiang低di。
在zai最zui優you的de盤pan墊dian設she計ji下xia,主zhu導dao電dian感gan的de是shi過guo孔kong和he電dian容rong的de高gao度du。過guo孔kong就jiu像xiang是shi一yi個ge天tian然ran的de電dian感gan線xian圈quan一yi樣yang。過guo孔kong的de電dian感gan值zhi正zheng比bi於yu其qi長chang度du和he直zhi徑jing。通tong過guo一yi個ge過guo孔kong(8mil)穿過60mil的電路板連接一個去耦電容能夠增加1nHdediangan。ciwai,dianliuchuansongdechuizhijulihuizengjiahuanludedaxiaocongerzengjiadianganliang。zuiyoudepandianshejihezuixiaohuadianrongdingbudaodianyuanhedicengdejuli,zheyanghequoudianrongxiangguandedianganjiubeijiandaozuixiao。
電源分布係統的低阻抗設計是保證電源係統穩定和係統電磁兼容性的重要因素。當然,電源分布係統設計問題並不止包括低阻抗設計、去耦電容這些問題,更有多電源層的排布、電源層麵的分割與隔離,以及電源層麵的20H原則,等等。
- 電源係統的電磁幹擾方式
- 電源係統的電磁幹擾類型
- 電源係統的抗幹擾措施
- 電源係統的板級電磁兼容設計
- 去耦電容就像是靠近需求點
- 電源軌道走得越近越好
電磁兼容的相關知識
國家標準GB/T4765—1995《電磁兼容術語》對電磁兼容所下的定義:“設備或係統在其電磁環境中能正常工作且不對該環境中任何事物構成不能承受的電磁騷擾的能力。”
1電源係統的電磁幹擾方式
電源幹擾的複雜性原因之一是包含了許多可變的因素。首先,電源幹擾可以以“共模”或“差模”方式存在,這是根據電磁幹擾噪聲對於電路作用的形態來進行劃分的,如圖1所suo示shi。任ren何he電dian路lu中zhong都dou存cun在zai共gong模mo和he差cha模mo電dian流liu。共gong模mo和he差cha模mo電dian流liu決jue定ding了le傳chuan播bo的de電dian磁ci能neng量liang的de大da小xiao。如ru果guo給gei定ding一yi對dui導dao線xian,一yi個ge返fan回hui參can考kao平ping麵mian,那na麼me這zhe兩liang種zhong模mo式shi中zhong至zhi少shao有you一yi種zhong將jiang會hui存cun在zai,但dan通tong常chang是shi共gong存cun。一yi般ban來lai說shuo,差cha模mo信xin號hao攜xie帶dai數shu據ju或huo有you用yong信xin息xi,而er共gong模mo信xin號hao是shi差cha模mo信xin號hao的de負fu麵mian效xiao果guo,不bu包bao含han有you用yong信xin息xi,是shi輻fu射she的de主zhu要yao來lai源yuan,解jie決jue起qi來lai相xiang當dang的de麻ma煩fan。

圖1共模與差模幹擾示意圖
2電源係統的電磁幹擾類型
造成電源幹擾複雜性的第二個原因是幹擾表現的形式很多,從持續期很短的尖峰幹擾直至電網完全失電,其中也包括了電壓的變化(如電壓跌落、浪湧和中斷)、頻率變化、波形失真(包括電壓和電流的)、持chi續xu噪zao聲sheng或huo雜za波bo,以yi及ji瞬shun變bian等deng。我wo們men根gen據ju國guo內nei外wai的de抗kang擾rao度du測ce試shi的de一yi係xi列lie標biao準zhun和he實shi際ji應ying用yong中zhong常chang常chang出chu現xian的de問wen題ti,總zong結jie了le電dian源yuan幹gan擾rao的de常chang見jian起qi因yin,如ru表biao1所示。

[page]
3電磁幹擾的途徑
從(cong)電(dian)磁(ci)兼(jian)容(rong)標(biao)準(zhun)來(lai)說(shuo),電(dian)磁(ci)幹(gan)擾(rao)基(ji)本(ben)上(shang)被(bei)分(fen)成(cheng)傳(chuan)導(dao)噪(zao)聲(sheng)和(he)輻(fu)射(she)噪(zao)聲(sheng)。這(zhe)也(ye)是(shi)一(yi)種(zhong)直(zhi)觀(guan)分(fen)類(lei),一(yi)種(zhong)是(shi)接(jie)觸(chu)性(xing)的(de)幹(gan)擾(rao),一(yi)種(zhong)是(shi)非(fei)接(jie)觸(chu)性(xing)。電(dian)磁(ci)幹(gan)擾(rao)就(jiu)其(qi)實(shi)際(ji)作(zuo)用(yong)於(yu)電(dian)路(lu)的(de)機(ji)理(li)有(you)四(si)種(zhong)傳(chuan)輸(shu)方(fang)式(shi):傳導耦合,電磁場耦合,磁場耦合和電場耦合,如圖2所示。

圖2耦合方式
抗幹擾措施
因為直流穩壓電源既是一個敏感器件也是一個噪聲源,因此我們就有如下的濾波策略:yigeshiduidianyuanxitongdeqianduanrukouchujinxinglvbo。yinweiwaijieduidianyuanxitongdeyingxiangjibenshangdoushitongguorukoudedianyuanxianyinrudaodianyuanxitongzhongde。wulunshichuandaozaosheng,haishifushezaoshengdoushihuiouhedaodianyuanxianshang。yinci,gaichudelvboyaojingxinchuli。ershidianyuanxitongdechukou,yibanlaishuo,zhelibuyinggaiyoutaiduowenti,yinweiwomenxuanzeheshejidianyuanshi,douyaojiyuyidingdecanshuhexingnengzhibiao。danshiweilejieruhenenggoudadaozuijiadedianyuanxingneng,xuyaokaolvchukoudelvboxingneng。
如圖3所示是對所有可能噪聲幹擾路徑的噪聲抑製的方法。這就分成兩種方法,一種是EMI濾(lv)波(bo)器(qi),一(yi)種(zhong)是(shi)屏(ping)蔽(bi)。屏(ping)蔽(bi)更(geng)多(duo)是(shi)涉(she)及(ji)到(dao)機(ji)殼(ke)整(zheng)體(ti)的(de)機(ji)械(xie)結(jie)構(gou)設(she)計(ji),往(wang)往(wang)對(dui)係(xi)統(tong)的(de)布(bu)局(ju)布(bu)置(zhi)有(you)更(geng)多(duo)考(kao)慮(lv)。從(cong)電(dian)路(lu)設(she)計(ji)的(de)角(jiao)度(du),我(wo)們(men)更(geng)多(duo)的(de)是(shi)要(yao)考(kao)慮(lv)EMI濾波器。因為更為廣泛的幹擾都是從線路上溢出或是從線路上的耦合中產生的,因此在線路上的濾波對輻射的抑製效果更明顯一點。

圖3抗幹擾措施
電源係統的板級電磁兼容設計
在電源設計中的一個重要環節就是電源係統的板級電路設計問題,這也是從電源技術的選擇、電源架構的搭建、電源器件的定型,以及電源濾波的設計等一係列的概念設計(原理設計)問題走向了最終的物理實現(PCB設計)的過程。
在設計數字電路係統中,我們要通過電源分配係統(PowerDistributionSystem)達到兩個基本的目的:為數字信號轉換提供穩定的電壓參考,為所有邏輯器件分配電源。
zaishijidedianlushejizhong,yaodadaozhelianggemudeyijingyuelaiyuefuzale。zaigaosushuzidianluxitongzhong,xinhaowanzhengxingwentibiandefeichangdetuchu。yigefeichangzhongyaodewentijiushidianyuanfenpeixitongdeguidaotaxian(RailCollapse)。由於電源技術呈現出低電壓、開關電源開關頻率高頻化等一些不利於解決信號完整性的狀況,電源完整性被作為一個新的研究方向被提了出來。
通常電源完整性問題主要有兩個途徑來解決:優化電路板的層疊設計及布局布線和增加去耦電容。下麵主要介紹增加去耦電容的方法。
1去耦的原理
去(qu)耦(ou)電(dian)容(rong)就(jiu)像(xiang)是(shi)靠(kao)近(jin)需(xu)求(qiu)點(dian)的(de)能(neng)量(liang)存(cun)儲(chu)器(qi)一(yi)樣(yang)。通(tong)過(guo)在(zai)器(qi)件(jian)附(fu)近(jin)的(de)電(dian)源(yuan)和(he)地(di)之(zhi)間(jian)添(tian)加(jia)去(qu)耦(ou)電(dian)容(rong),可(ke)在(zai)快(kuai)速(su)突(tu)發(fa)周(zhou)期(qi)內(nei)來(lai)提(ti)供(gong)獨(du)立(li)於(yu)電(dian)源(yuan)的(de)能(neng)量(liang),通(tong)過(guo)足(zu)夠(gou)的(de)儲(chu)量(liang)保(bao)證(zheng)所(suo)需(xu)要(yao)的(de)電(dian)壓(ya)對(dui)於(yu)一(yi)個(ge)給(gei)定(ding)的(de)電(dian)流(liu)I,紋波電壓或電壓降可以用公式(1)表述:
(1)
(2)公式(2)說明了吸取電流導致的電壓降V。正如大多數的CMOS電路,IC隻有在晶體管開關時才會汲取電流。這意味著當IC開(kai)關(guan)時(shi)就(jiu)汲(ji)取(qu)電(dian)流(liu),會(hui)產(chan)生(sheng)一(yi)個(ge)電(dian)壓(ya)降(jiang)而(er)造(zao)成(cheng)電(dian)源(yuan)分(fen)布(bu)係(xi)統(tong)的(de)電(dian)源(yuan)紋(wen)波(bo)噪(zao)聲(sheng)。進(jin)一(yi)步(bu)看(kan),隨(sui)著(zhe)處(chu)理(li)器(qi)速(su)度(du)的(de)增(zeng)加(jia),紋(wen)波(bo)噪(zao)聲(sheng)也(ye)會(hui)由(you)於(yu)更(geng)多(duo)的(de)邏(luo)輯(ji)狀(zhuang)態(tai)吸(xi)收(shou)電(dian)流(liu)而(er)相(xiang)應(ying)的(de)大(da)量(liang)增(zeng)加(jia)。
suizhedianluxitongshizhongpinlvdezengjia,henduoqingkuangjiubunenganzhaolixiangdedianrongqilaikaolvle。yigeshijidedianrongbulunshitaocidianronghaishidianjiedianrong,doukeyibeijianhuachengyigechuanlianRLC的模型。一個電容模型包括自身的電容C,還包括了等效的串聯電感ESL和等效串聯電阻ESR這兩個重要的參數。這個串聯模型的阻抗幅值是:
等效串聯電阻和等效串聯電感都是實際電容的寄生參數。
[page]
電容的諧振頻率為:
(4)zaizheyixiezhenpinlvshang,dianrongkedadaozuixiaodezukang。quoujiushiliyongdianrongzaiyidingdepinlvfanweinei,tebieshizaixiezhenpinlvfujin,dianrongnenggouduiwaichengxianyigejiaodidezukang(盡管可能是容性或者感性),為該頻率範圍內的噪聲在電源和地之間提供一個阻抗的通路,從而確保IC電源的穩定。
現在讓我們定性的查看一下數字電源分布係統的ESL的效應。
(5)公式(5)說明了電流I的變化會造成電源分布係統電壓V的下降。在大多數的CMOS電路中,IC在晶體管開關的時候汲取電流,這就意味著當IC開關,電流上就有一個變化,這就導致電源分布係統中的紋波。正如前所證明的,PDS中的紋波會造成係統的錯誤。要減少高頻下的這些錯誤,就要盡可能的使用最低ESL的去耦電容。從公式(6)可以很明顯地看出來,ESL的減少會帶來電壓V的減小,即是紋波電壓的減小。
對於ESR來說也是同樣的,如果要更有效的對一個電源分布係統去耦,使用一個ESR盡可能小的電容會更有效果。為了便於說明,我們將實際的寄生電阻ESR寫到公式(2)中:
這就意味著不管電容怎樣增大,ESR都會產生電壓降。在實際應用中,我們必須增加電容值並減小ESR以盡可能的減小電源分布係統的紋波噪聲。同時,公式(2)和(7)表述了在高頻的情況下,大電容不會對減少電壓降有太大的作用。反而,公式(6)表明減小感抗比較增大電容有更明顯的效果。
2去耦電容的選擇
在低頻範圍(幾十MHz),電容呈現容性,高電容(並且有著低的ESR)將會有助於減少紋波噪聲。添加去耦電容可以在一個特定的頻率內減小紋波電壓:
(8)[page]其中,dt等於最慢的瞬態電流的上升時間(低頻)。假設有一個2A的瞬態電流,電壓整流模塊會在15μs內響應。電源分布係統1.8V的電源供電電壓保持在5%的範圍內。需要的大電容估算是:
顯然,要找到333μF的陶瓷電容是並不容易的。設計者必須找到一個合適的電容,對其進行並聯放置以達到所需要的電容和目標阻抗。添加電容的ESL不bu在zai去qu耦ou中zhong起qi到dao主zhu要yao的de作zuo用yong,但dan是shi設she計ji者zhe還hai是shi應ying該gai盡jin可ke能neng選xuan擇ze比bi較jiao小xiao的de值zhi,這zhe樣yang能neng夠gou在zai比bi較jiao寬kuan的de頻pin率lv範fan圍wei內nei減jian少shao阻zu抗kang。這zhe樣yang有you助zhu於yu減jian少shao板ban上shang的de去qu耦ou電dian容rong的de數shu量liang。
在高頻(幾百MHz)範圍內,采用減少寄生電感的方式比提高電容值更有效一些。限製最大的電感量可以使紋波電壓達到最小:
(10)其中,dt是瞬態電流的最快上升時間。假設一個2A的電流有著1ns的上升時間,電源分布係統保證1.8V電源供電5%以內的紋波。允許的電感量估算如下:
現在要找到一個ESL為45pH的表貼陶瓷電容還是比較困難的,普通的表貼電容的寄生電感還是nH級的。反之來說,設計者要想達到這一電感量和目標阻抗,首先要選擇一個寄生電感足夠小的電容(在較高頻率的去耦方麵,電容量的選擇並不起到首要的作用,但是假如給定了最低的ESL,我們必須選擇最高的可能容值。因為這樣能夠在較寬的頻率範圍內減小阻抗值)。足夠數量的低電感電容必須被並聯放置,但是往往需要放置的電容比電路板空間所允許的更多。
3去耦電容的PCB設計
在印製電路板上,芯片-盤墊-走zou線xian所suo形xing成cheng的de環huan路lu電dian流liu所suo造zao成cheng的de電dian感gan則ze大da得de多duo。連lian接jie去qu耦ou電dian容rong到dao電dian源yuan軌gui道dao的de走zou線xian電dian感gan要yao比bi電dian容rong上shang的de寄ji生sheng電dian感gan明ming顯xian要yao大da。通tong常chang的de經jing驗yan數shu據ju是shi走zou線xian電dian感gan為wei10nH/in.。因此當其被安裝到這種高電感的安裝結構中,一個低電感電容的高頻去耦性能會顯著的降低。普通的表貼電容的ESL基本都是nH級的,而走線、焊盤設計所帶來的寄生電感的增加要比電容自身的ESL明(ming)顯(xian)得(de)多(duo)。在(zai)現(xian)在(zai)的(de)高(gao)頻(pin)去(qu)耦(ou)應(ying)用(yong)中(zhong),最(zui)小(xiao)化(hua)環(huan)路(lu)電(dian)感(gan)也(ye)是(shi)至(zhi)關(guan)重(zhong)要(yao)的(de)。一(yi)種(zhong)最(zui)小(xiao)化(hua)環(huan)路(lu)電(dian)感(gan)的(de)方(fang)式(shi)是(shi)減(jian)少(shao)環(huan)路(lu)區(qu)域(yu)的(de)大(da)小(xiao)。對(dui)布(bu)局(ju)來(lai)說(shuo),將(jiang)電(dian)源(yuan)軌(gui)道(dao)走(zou)得(de)越(yue)近(jin)越(yue)好(hao),甚(shen)至(zhi)是(shi)將(jiang)電(dian)源(yuan)軌(gui)道(dao)走(zou)在(zai)IC之zhi下xia,這zhe樣yang就jiu可ke以yi減jian少shao環huan路lu區qu域yu的de麵mian積ji。盡jin管guan如ru此ci,對dui高gao頻pin去qu耦ou來lai說shuo,其qi性xing能neng還hai是shi會hui受shou限xian於yu走zou線xian和he電dian源yuan軌gui道dao的de電dian感gan。通tong過guo使shi用yong過guo孔kong在zai盤pan墊dian中zhong的de方fang式shi,環huan路lu電dian感gan還hai可ke以yi進jin一yi步bu的de降jiang低di。
在zai最zui優you的de盤pan墊dian設she計ji下xia,主zhu導dao電dian感gan的de是shi過guo孔kong和he電dian容rong的de高gao度du。過guo孔kong就jiu像xiang是shi一yi個ge天tian然ran的de電dian感gan線xian圈quan一yi樣yang。過guo孔kong的de電dian感gan值zhi正zheng比bi於yu其qi長chang度du和he直zhi徑jing。通tong過guo一yi個ge過guo孔kong(8mil)穿過60mil的電路板連接一個去耦電容能夠增加1nHdediangan。ciwai,dianliuchuansongdechuizhijulihuizengjiahuanludedaxiaocongerzengjiadianganliang。zuiyoudepandianshejihezuixiaohuadianrongdingbudaodianyuanhedicengdejuli,zheyanghequoudianrongxiangguandedianganjiubeijiandaozuixiao。
電源分布係統的低阻抗設計是保證電源係統穩定和係統電磁兼容性的重要因素。當然,電源分布係統設計問題並不止包括低阻抗設計、去耦電容這些問題,更有多電源層的排布、電源層麵的分割與隔離,以及電源層麵的20H原則,等等。
特別推薦
- 噪聲中提取真值!瑞盟科技推出MSA2240電流檢測芯片賦能多元高端測量場景
- 10MHz高頻運行!氮矽科技發布集成驅動GaN芯片,助力電源能效再攀新高
- 失真度僅0.002%!力芯微推出超低內阻、超低失真4PST模擬開關
- 一“芯”雙電!聖邦微電子發布雙輸出電源芯片,簡化AFE與音頻設計
- 一機適配萬端:金升陽推出1200W可編程電源,賦能高端裝備製造
技術文章更多>>
- 邊緣AI的發展為更智能、更可持續的技術鋪平道路
- 每台智能體PC,都是AI時代的新入口
- IAR作為Qt Group獨立BU攜兩項重磅汽車電子應用開發方案首秀北京車展
- 構建具有網絡彈性的嵌入式係統:來自行業領袖的洞見
- 數字化的線性穩壓器
技術白皮書下載更多>>
- 車規與基於V2X的車輛協同主動避撞技術展望
- 數字隔離助力新能源汽車安全隔離的新挑戰
- 汽車模塊拋負載的解決方案
- 車用連接器的安全創新應用
- Melexis Actuators Business Unit
- Position / Current Sensors - Triaxis Hall
熱門搜索
Future
GFIVE
GPS
GPU
Harting
HDMI
HDMI連接器
HD監控
HID燈
I/O處理器
IC
IC插座
IDT
IGBT
in-cell
Intersil
IP監控
iWatt
Keithley
Kemet
Knowles
Lattice
LCD
LCD模組
LCR測試儀
lc振蕩器
Lecroy
LED
LED保護元件
LED背光



