電磁兼容與噪聲
發布時間:2008-10-11 來源:電子產品世界
中心論題:
- 輻射機理
- 實例分析
- 結果討論
解決方案:
- 考慮屏蔽體的機械強度、彎曲易加工性、彈性零件的尺寸穩定性以及接觸電阻等因素
- 綜合考慮屏蔽體的外形尺寸、所受磁場方向、漏磁、接地點等問題
引言
在有限的空間和有限的頻率資源條件下,如何避免電磁之間的相互幹擾也就是電磁兼容性問題。所謂“電磁兼容性”在國家EMI標準中作了如下定義:“設備(分係統、係統)在共同的電磁環境中能一起執行各自功能的共存狀態。即:該設備不會由於受到同一電磁環境中其他設備的電磁發射導致或遭受不允許的降級”。電磁兼容性就是使處於同一電磁場環境下的各種電子電氣設備或係統能夠正常工作而互不幹擾。
輻射機理
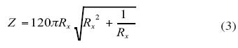
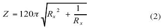
電(dian)磁(ci)場(chang)幹(gan)擾(rao)是(shi)由(you)於(yu)感(gan)應(ying)源(yuan)和(he)受(shou)感(gan)器(qi)件(jian)周(zhou)圍(wei)的(de)交(jiao)變(bian)電(dian)場(chang)和(he)磁(ci)場(chang)同(tong)時(shi)存(cun)在(zai)產(chan)生(sheng)的(de)輻(fu)射(she)電(dian)磁(ci)場(chang),其(qi)特(te)點(dian)是(shi)電(dian)場(chang)分(fen)量(liang)和(he)磁(ci)場(chang)分(fen)量(liang)同(tong)時(shi)出(chu)現(xian)且(qie)相(xiang)互(hu)垂(chui)直(zhi)。輻(fu)射(she)的(de)電(dian)磁(ci)場(chang)之(zhi)特(te)性(xing)是(shi)由(you)輻(fu)射(she)源(yuan)的(de)特(te)性(xing)來(lai)決(jue)定(ding)的(de)。源(yuan)的(de)周(zhou)圍(wei)介(jie)質(zhi)以(yi)及(ji)源(yuan)與(yu)觀(guan)察(cha)點(dian)之(zhi)間(jian)的(de)距(ju)離(li)等(deng)都(dou)能(neng)影(ying)響(xiang)電(dian)磁(ci)場(chang)的(de)特(te)性(xing)。在(zai)源(yuan)附(fu)近(jin)的(de)場(chang),其(qi)特(te)性(xing)主(zhu)要(yao)決(jue)定(ding)於(yu)源(yuan)的(de)特(te)性(xing):當(dang)遠(yuan)離(li)源(yuan)的(de)地(di)方(fang),場(chang)的(de)性(xing)質(zhi)主(zhu)要(yao)決(jue)定(ding)於(yu)場(chang)傳(chuan)播(bo)時(shi)所(suo)通(tong)過(guo)的(de)介(jie)質(zhi)。因(yin)此(ci),在(zai)電(dian)磁(ci)場(chang)輻(fu)射(she)源(yuan)的(de)周(zhou)圍(wei),可(ke)分(fen)成(cheng)近(jin)場(chang)和(he)遠(yuan)場(chang)兩(liang)個(ge)範(fan)圍(wei),輻(fu)射(she)源(yuan)附(fu)近(jin)稱(cheng)近(jin)場(chang),距(ju)離(li)大(da)於(yu)λ/2π的地方稱遠場(λ為波長)。在近場中,噪聲一般是通過電容性耦合或電感性耦合方式傳播到電路中。電場E對磁場H的比值常稱為波阻抗(E/H)。在近場時它決定於源的特性和從源到觀察點的距離,如源為大電流低電壓的情況,則近場主要為磁場,以電感性耦合的噪聲為主;若源為小電流高電壓,則近場主要為電場,以電容性耦合的噪聲為主。當頻率低於1MHz時,電子線路內的噪聲耦合大多是由近場所造成的。因為,根據λ/2π計算的近場範圍很大,在30KHz時,近場範圍可達1.6KM;在遠場時,電磁波的波阻抗Z為電場強度E對磁場強度H之比,即:

其中E表示電場,H表示磁場。
如將發生源與觀察點之間距離定為r;RX=λ/2π,則在近場中,當發生源主要為電場時:
其波阻抗呈高阻抗特性;而當發生源主要為磁場時:

其波阻抗仍呈高阻抗特性(符號含義同上),如圖1所示。

當觀察點距源大於λ/2π的遠場中,介質為自由空間時,波阻抗E/H是一個常數120π,近似等於377Ω,所以在討論遠場時,可以把它看成一個具有阻抗為377Ω的(de)平(ping)麵(mian)波(bo),近(jin)場(chang)中(zhong)屬(shu)於(yu)電(dian)容(rong)性(xing)耦(ou)合(he)和(he)電(dian)感(gan)性(xing)耦(ou)合(he)噪(zao)聲(sheng)範(fan)圍(wei)。在(zai)遠(yuan)場(chang)中(zhong),電(dian)場(chang)和(he)磁(ci)場(chang)的(de)方(fang)向(xiang)互(hu)相(xiang)垂(chui)直(zhi),但(dan)相(xiang)位(wei)相(xiang)同(tong),所(suo)以(yi)它(ta)與(yu)近(jin)場(chang)不(bu)同(tong),而(er)向(xiang)四(si)方(fang)輻(fu)射(she)能(neng)量(liang),它(ta)對(dui)電(dian)子(zi)電(dian)路(lu)的(de)幹(gan)擾(rao)是(shi)通(tong)過(guo)能(neng)量(liang)的(de)輻(fu)射(she)方(fang)式(shi)進(jin)行(xing)的(de)。輻(fu)射(she)的(de)電(dian)磁(ci)場(chang)在(zai)空(kong)間(jian)的(de)傳(chuan)播(bo)是(shi)由(you)於(yu)電(dian)場(chang)和(he)磁(ci)場(chang)的(de)相(xiang)互(hu)作(zuo)用(yong)。當(dang)空(kong)間(jian)有(you)靜(jing)電(dian)荷(he)Q時,則產生靜電場,電荷移動時則形成電流,因電磁作用又同時產生電場和磁場。
幅(fu)射(she)源(yuan)引(yin)起(qi)了(le)周(zhou)圍(wei)的(de)磁(ci)場(chang)和(he)電(dian)場(chang)相(xiang)應(ying)地(di)改(gai)變(bian),這(zhe)種(zhong)變(bian)化(hua)在(zai)空(kong)間(jian)中(zhong)的(de)傳(chuan)播(bo)就(jiu)是(shi)電(dian)磁(ci)波(bo),其(qi)傳(chuan)播(bo)速(su)度(du)與(yu)光(guang)速(su)相(xiang)等(deng),這(zhe)方(fang)麵(mian)的(de)論(lun)述(shu)和(he)研(yan)究(jiu)較(jiao)少(shao)。無(wu)線(xian)電(dian)廣(guang)播(bo)、通訊設備和其它高頻設備工作時,有很大功率的電磁波輻射,在此環境內的電器設備上會產生正比於電場強度的感應電動勢U:U=heff
其中heff為比例長數或天線的有效高度。
較長的導線,信號輸入線、輸出線、控製線、電dian源yuan線xian等deng在zai電dian磁ci場chang中zhong都dou能neng接jie收shou電dian磁ci波bo而er感gan應ying出chu噪zao聲sheng電dian壓ya。作zuo為wei噪zao聲sheng源yuan,這zhe些xie導dao線xian又you能neng輻fu射she出chu電dian磁ci波bo造zao成cheng二er次ci噪zao聲sheng汙wu染ran。在zai大da功gong率lv廣guang播bo設she備bei附fu近jin的de強qiang電dian場chang中zhong,電dian子zi設she備bei的de外wai殼ke或huo內nei部bu的de導dao線xian、導(dao)體(ti)都(dou)會(hui)感(gan)應(ying)出(chu)很(hen)強(qiang)的(de)感(gan)應(ying)電(dian)動(dong)勢(shi),導(dao)致(zhi)對(dui)電(dian)路(lu)的(de)幹(gan)擾(rao)。抑(yi)製(zhi)輻(fu)射(she)最(zui)主(zhu)要(yao)的(de)方(fang)法(fa)是(shi)采(cai)用(yong)屏(ping)蔽(bi),即(ji)對(dui)兩(liang)個(ge)空(kong)間(jian)區(qu)域(yu)之(zhi)間(jian)加(jia)以(yi)金(jin)屬(shu)隔(ge)離(li),電(dian)容(rong)性(xing)耦(ou)合(he)可(ke)將(jiang)金(jin)屬(shu)接(jie)地(di)進(jin)行(xing)靜(jing)電(dian)屏(ping)蔽(bi),對(dui)於(yu)電(dian)感(gan)性(xing)耦(ou)合(he),則(ze)采(cai)用(yong)一(yi)般(ban)的(de)電(dian)磁(ci)屏(ping)蔽(bi)。而(er)對(dui)於(yu)遠(yuan)場(chang)中(zhong)的(de)電(dian)磁(ci)波(bo)也(ye)同(tong)樣(yang)可(ke)以(yi)用(yong)金(jin)屬(shu)體(ti)進(jin)行(xing)隔(ge)離(li),以(yi)阻(zu)止(zhi)這(zhe)種(zhong)噪(zao)聲(sheng)的(de)傳(chuan)播(bo)。
屏蔽的效果與頻率、屏蔽體的幾何形狀、材(cai)料(liao)性(xing)質(zhi)等(deng)因(yin)素(su)有(you)關(guan),在(zai)分(fen)析(xi)這(zhe)些(xie)因(yin)素(su)並(bing)在(zai)實(shi)際(ji)應(ying)用(yong)屏(ping)蔽(bi)措(cuo)施(shi)時(shi),金(jin)屬(shu)屏(ping)蔽(bi)體(ti)對(dui)輻(fu)射(she)波(bo)的(de)衰(shuai)減(jian)作(zuo)用(yong)的(de)機(ji)理(li)研(yan)究(jiu)尤(you)為(wei)重(zhong)要(yao)。金(jin)屬(shu)板(ban)屏(ping)蔽(bi)體(ti)對(dui)電(dian)磁(ci)波(bo)的(de)衰(shuai)減(jian)可(ke)由(you)圖(tu)2來說明,當電磁波Ei入射到金屬板上時,一部分由AB表麵AB反射,另一部分進入金屬體內,而在途中被不斷衰減後達CD麵,這時其中又有一部分經E1透過CD麵從金屬板內穿出,另一部分則由CD麵反射,仍在金屬板內部傳播,同樣有一部分穿過AB麵穿出,一部分仍在AB麵反射。這樣在金屬板內多次反射和傳播,則透過金屬屏蔽的電磁波總和E-En=Et。

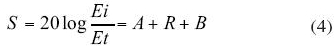
金屬屏蔽板的屏蔽效果是用透過金屬板後的波Et和入射波E1強度之比表示(Et/E1)。無限大的屏蔽平板對於平麵波入射時的屏蔽效果可用S表示:

其中:A為厚度為t的屏蔽板內電磁波傳輸中的損耗;B為反射損耗係數;R為入射損耗係數;S的單位為dB。
實例分析
一般常用材料的在不同頻率下的屏蔽效果如表1所示。從表1可以看出較薄的金屬箔也有100dB以上的屏蔽效果。

吸收損耗A大於10dB,修正係數B可忽略不計。一般在遠場中B也可忽略不計。因為這時的反射損耗很高,B與它相比非常小。對於遠場中的反射損耗R,隨屏蔽阻抗降低而增大。所以應設法減少屏蔽阻抗,這可用高導電率和低導磁率的材料。對於吸收損耗A,由於電磁輻射通過介質時,感應的電流產生電阻熱量損耗,其幅度以指數方式衰減,當它衰減到入射時的1/e或37%,此點離入射點的距離定義為集膚深度δ,銅、鋁、鋼列於表2。圖3是遠場內厚度為0.508mm的銅材料的屏蔽效果圖。


結果討論
a.集膚深度隨頻率增高而減小,電磁波衰減到原來的37%時集膚深度就已很小。
b.銅屏蔽殼體在頻率為0.5MHz時,其衰減到1/100的透入深度隻在距表麵約0.4mm處,而鋁則在約0.6mm處,鋼在約l.0mm處。
c.在高頻範圍內,采用厚度0.5~1.5mm的金屬材料作屏蔽效果較為理想。
d.使用鐵磁性作屏蔽體適用於100KHz以下。
e.屏蔽效果由反射損耗R決定。
吸(xi)收(shou)損(sun)耗(hao)與(yu)屏(ping)蔽(bi)介(jie)質(zhi)厚(hou)度(du)成(cheng)正(zheng)比(bi),與(yu)集(ji)膚(fu)深(shen)度(du)成(cheng)反(fan)比(bi)。從(cong)頻(pin)率(lv)角(jiao)度(du)看(kan),吸(xi)收(shou)損(sun)耗(hao)隨(sui)頻(pin)度(du)增(zeng)加(jia)而(er)增(zeng)加(jia),這(zhe)是(shi)由(you)於(yu)集(ji)膚(fu)深(shen)度(du)隨(sui)頻(pin)率(lv)增(zeng)加(jia)而(er)減(jian)小(xiao)造(zao)成(cheng)的(de)。反(fan)射(she)損(sun)耗(hao)從(cong)圖(tu)3keyikanchujiangsuipinlvzengjiaerjiangdi,erxishousunhaosuipinlvdezengjiaerzengjia,zuixiaodepingbixiaoguochuxianzaizhongpinpinlv。duiyudipinpingmianbodedaliangshuaijianshiyouyufanshesunhao,ergaopinshidaliangsunhaoshiyouyuxishousunhao。
屏蔽高頻電磁場輻射,其屏蔽體材料和厚度的選擇,可從取得較好的屏蔽性能出發,往往優先考慮屏蔽體的機械強度、彎曲易加工性、彈性零件的尺寸穩定性以及接觸電阻等因素來滿足需要,同時還要綜合考慮屏蔽體的外形尺寸、所受磁場方向、漏磁、接地點等問題。
- 噪聲中提取真值!瑞盟科技推出MSA2240電流檢測芯片賦能多元高端測量場景
- 10MHz高頻運行!氮矽科技發布集成驅動GaN芯片,助力電源能效再攀新高
- 失真度僅0.002%!力芯微推出超低內阻、超低失真4PST模擬開關
- 一“芯”雙電!聖邦微電子發布雙輸出電源芯片,簡化AFE與音頻設計
- 一機適配萬端:金升陽推出1200W可編程電源,賦能高端裝備製造
- 貿澤EIT係列新一期,探索AI如何重塑日常科技與用戶體驗
- 算力爆發遇上電源革新,大聯大世平集團攜手晶豐明源線上研討會解鎖應用落地
- 創新不止,創芯不已:第六屆ICDIA創芯展8月南京盛大啟幕!
- AI時代,為什麼存儲基礎設施的可靠性決定數據中心的經濟效益
- 矽典微ONELAB開發係列:為毫米波算法開發者打造的全棧工具鏈
- 車規與基於V2X的車輛協同主動避撞技術展望
- 數字隔離助力新能源汽車安全隔離的新挑戰
- 汽車模塊拋負載的解決方案
- 車用連接器的安全創新應用
- Melexis Actuators Business Unit
- Position / Current Sensors - Triaxis Hall




