功率器件熱設計基礎(八)——利用瞬態熱阻計算二極管浪湧電流
發布時間:2024-12-25 責任編輯:lina
【導讀】功率半導體熱設計是實現IGBT、碳化矽SiC高gao功gong率lv密mi度du的de基ji礎chu,隻zhi有you掌zhang握wo功gong率lv半ban導dao體ti的de熱re設she計ji基ji礎chu知zhi識shi,才cai能neng完wan成cheng精jing確que熱re設she計ji,提ti高gao功gong率lv器qi件jian的de利li用yong率lv,降jiang低di係xi統tong成cheng本ben,並bing保bao證zheng係xi統tong的de可ke靠kao性xing。
前言
功率半導體熱設計是實現IGBT、碳化矽SiC高gao功gong率lv密mi度du的de基ji礎chu,隻zhi有you掌zhang握wo功gong率lv半ban導dao體ti的de熱re設she計ji基ji礎chu知zhi識shi,才cai能neng完wan成cheng精jing確que熱re設she計ji,提ti高gao功gong率lv器qi件jian的de利li用yong率lv,降jiang低di係xi統tong成cheng本ben,並bing保bao證zheng係xi統tong的de可ke靠kao性xing。
功率器件熱設計基礎係列文章會比較係統地講解熱設計基礎知識,相關標準和工程測量方法。
上一篇講了兩種熱等效電路模型,Cauer模型和Foster模型,這一篇以二極管的浪湧電流為例,講清瞬態熱阻曲線的應用。
浪湧電流
二極管的浪湧電流能力是半導體器件的一個重要參數。在被動整流應用中,由於電網的頻率是50Hz,因此10ms的二極管電流能力一般作為表征這一性能的參數被寫入器件數據手冊中。但是也有一些應用場合其時間是不同的,比如電網頻率是60Hz,或者半導體器件IGBT短路,直流側能量通過二極管放電,因此在這些特定場合條件下需要利用瞬態熱阻計算不同時間尺度下二極管能承受的浪湧電流。
浪湧電流導致的二極管失效表明失效點來自鋁金屬化層的熱失效,然後導致二極管PNjiesunhuai,yincipubianrenweierjiguanzaichengshougaolangyongdianliushi,nenglianghuozhereshidaozhishixiaodegenbenyuanyin,yejiushishuowendubianhuashizhijiedaozhiqijiansunhuai。xiatushierjiguansunhuaidezhaopian,zhaopianzhonghongsejiantoubiaoshideweizhichuxianronghua。
圖1.浪湧電流條件下,二極管芯片損壞照片
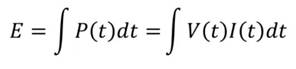
下麵從能量角度分析,設E為這一過程中的由於大電流產生的能量:
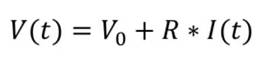
在這一工作過程中,我們把V-I關係做線性化處理:
當電流比較大時,V0可以被忽略,通過積分可以得到:
在上式中,R表示二極管V-I曲線的斜率,IFSM表示浪湧電流大小,tp指對應的時間。
另一方麵,我們假定芯片的溫度變化Delta T可以用如下公式表示:
從上式可以得出,如果我們認定溫度變化是導致芯片在浪湧大電流損壞的主要原因時,就可以認為zthjcI2FSM一個常量。
如上文中談到的,一般的數據手冊中會給出10ms的二極管浪湧電流值,同時熱阻曲線也會給出,依據以上公式就可以計算任何時間的二極管浪湧電流大小了。
瞬態熱阻曲線的應用
如下通過一個實例計算FF600R17ME4的二極管電流以及I2t隨時間變化的曲線,便於在應用係統中和熔斷保護器匹配使用。以下舉例計算FF600R17ME4器件在100ms的浪湧電流。
圖2.FF600R17ME4二極管熱阻曲線
首先,借助動態熱阻曲線的四階參數,可以計算得到10ms時的動態熱阻值為0.02384,同樣也可以計算得到100ms的動態熱阻為0.0622。
從FF600R17ME4的數據手冊可以查到在10ms時,器件的I2t為32000,因此可以計算浪湧電流值為1789A。
接下來用上述公式(1)計算得到100ms的浪湧電流值為1108A。圖3為按照上述方法計算得到的不同時間的浪湧電流值曲線。得到浪湧電流值後,在不同時間的I2t同樣也可以計算,圖4所示為不同時間相對於10ms時的關係曲線。
圖3.通過公式計算的浪湧電流隨時間的變化曲線
圖4.FF600R17ME4 I2t隨時間變化的標幺值
小結
計算半導體器件二極管的浪湧電流的過程如下:
1.從數據手冊熱阻曲線中查到該時間條件下瞬態熱阻值
2.根據公式(1)計算浪湧電流
3.如果要計算和熔斷保護器匹配的I2t,利用上述電流計算就可以
免責聲明:本文為轉載文章,轉載此文目的在於傳遞更多信息,版權歸原作者所有。本文所用視頻、圖片、文字如涉及作品版權問題,請聯係小編進行處理。
推薦閱讀:
- 噪聲中提取真值!瑞盟科技推出MSA2240電流檢測芯片賦能多元高端測量場景
- 10MHz高頻運行!氮矽科技發布集成驅動GaN芯片,助力電源能效再攀新高
- 失真度僅0.002%!力芯微推出超低內阻、超低失真4PST模擬開關
- 一“芯”雙電!聖邦微電子發布雙輸出電源芯片,簡化AFE與音頻設計
- 一機適配萬端:金升陽推出1200W可編程電源,賦能高端裝備製造
- 貿澤EIT係列新一期,探索AI如何重塑日常科技與用戶體驗
- 算力爆發遇上電源革新,大聯大世平集團攜手晶豐明源線上研討會解鎖應用落地
- 創新不止,創芯不已:第六屆ICDIA創芯展8月南京盛大啟幕!
- AI時代,為什麼存儲基礎設施的可靠性決定數據中心的經濟效益
- 矽典微ONELAB開發係列:為毫米波算法開發者打造的全棧工具鏈
- 車規與基於V2X的車輛協同主動避撞技術展望
- 數字隔離助力新能源汽車安全隔離的新挑戰
- 汽車模塊拋負載的解決方案
- 車用連接器的安全創新應用
- Melexis Actuators Business Unit
- Position / Current Sensors - Triaxis Hall



