功率器件熱設計基礎(六)——瞬態熱測量
發布時間:2024-12-09 責任編輯:lina
【導讀】功率半導體熱設計是實現IGBT、碳化矽SiCgaogonglvmidudejichu,zhiyouzhangwogonglvbandaotidereshejijichuzhishi,cainengwanchengjingqueresheji,tigaogonglvqijiandeliyonglv,jiangdixitongchengben,bingbaozhengxitongdekekaoxing。
前言
功率半導體熱設計是實現IGBT、碳化矽SiCgaogonglvmidudejichu,zhiyouzhangwogonglvbandaotidereshejijichuzhishi,cainengwanchengjingqueresheji,tigaogonglvqijiandeliyonglv,jiangdixitongchengben,bingbaozhengxitongdekekaoxing。
功率器件熱設計基礎係列文章會比較係統地講解熱設計基礎知識,相關標準和工程測量方法。
確定熱阻抗曲線
測量原理——Rth/Zth基礎:
IEC 60747-9即GB/T 29332半導體器件分立器件第9部分:絕緣柵雙極晶體管(IGBT)(等同采用)中描述了測量的基本原理。確定熱阻抗的方法如圖1所示。恒定功率PL由加載的電流產生,並達到穩定結溫Tj。關閉加載電流,記錄器件的降溫過程。
熱阻Rth(x-y)是兩個溫度Tx0和Ty0在t=0時(達到熱平衡,結溫穩定時)的差值除以PL。
熱模型升溫和降溫是對稱的,關斷時刻的溫度減去降溫曲線就是升溫曲線,而關斷時刻的起始溫度TJ0精確獲得是關鍵。
實際計算隨時間變化的熱阻抗Zth(x-y)(t),記錄的溫度曲線需要垂直鏡像,並移動到坐標係的原點。然後將Tx(t)和Ty(t)的差值除以PL求得Zth(x-y)(t)。
為了確定冷卻階段的結溫,模塊將施加一個測量小電流(Iref約為1/1000 Inom),並記錄由此產生的IGBT的飽和壓降或二極管的正向電壓。結溫Tj(t) 可借助標定曲線從測量的飽和壓降或正向電壓中確定Tj=f(VCE/VF@Iref)。其反函數曲線VCE/VF=f(Tj@Iref)(見圖二)是通過外部均勻加熱被測模塊的方式提前定標記錄下來的。
外殼溫度Tc和散熱器溫度Th是通過熱電偶測定的。這是它們分別與模塊底板和散熱器接觸的位置(見圖三,左側)。在這兩種情況下,熱電偶投影軸心位於每塊芯片的中心(見圖三,右側)。
Rth/Zth測量的挑戰和優化
模塊的瞬態熱阻最小為1毫秒,單管是1us,而且給出單脈衝和不同占空比下的值,這如何測量的呢?
在冷卻階段開始時,就需要精確測量以確定準確的Tj和Tc。需要指出的是,關斷後,由於小的時間常數,很短的時間會導致Tvjfashenghendabianhua,yincizheshiyigefeichangzhongyaodeceliangshijianduan。lingyifangmian,cishiyehuichuxianzhendang,geiceliangdailaihendakunnan,jiantusi。xiaoyumougejiezhishijiantcut的所有時間點上的數據不可以用,但在此時間間隔內的溫度變化ΔTJ(tcut)又很重要,好在對於短時間t,在∆TJ(t)和時間t的平方根存在幾乎線性的關係,可以用於推算出TJ0,見圖五。
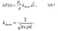
因為,對於均質材料的"半無限"散熱器板(即表麵積無限大的板--確保垂直於表麵的一維熱流--厚度無限大),其表麵以恒定的功率密度PH/A加熱,當加熱功率開啟/關閉時,表麵溫度隨加熱/冷卻時間的平方根線性上升/下降。
c、ρ和λ別是板材料的比熱、密度和導熱係數。
在英飛淩應用指南AN2015-10提到了目前正在使用一種改進的測量係統(見圖六)。
隨著技術和產品的進步,英飛淩重新製定了Rth/Zth測量方法和仿真方法。通過使用新的測量設備,現在可以更精確地確定IGBT模塊的Rth/Zth值3)。
圖七對此進行了簡化描述。與以前的測量係統"A"相比,修改後的測量係統"B"在t=0時Tj和Tc之間的差值更大。如圖一所示,這一溫差與熱阻Rth成正比,同時也會影響熱阻抗Zth。
熱阻抗與溫度有關
由於模塊的熱力學行為,外殼和散熱器之間的熱阻抗(ZthCH和ZthJH)與(yu)溫(wen)度(du)有(you)關(guan)。模(mo)塊(kuai)經(jing)過(guo)優(you)化(hua),可(ke)最(zui)高(gao)效(xiao)地(di)把(ba)熱(re)傳(chuan)導(dao)至(zhi)散(san)熱(re)器(qi),以(yi)適(shi)應(ying)半(ban)導(dao)體(ti)使(shi)用(yong)的(de)典(dian)型(xing)高(gao)工(gong)作(zuo)溫(wen)度(du)。因(yin)此(ci),數(shu)據(ju)手(shou)冊(ce)條(tiao)件(jian)僅(jin)反(fan)映(ying)高(gao)溫(wen)運(yun)行(xing)工(gong)況(kuang),如(ru)果(guo)模(mo)塊(kuai)在(zai)較(jiao)低(di)的(de)外(wai)殼(ke)溫(wen)度(du)下(xia)運(yun)行(xing),用(yong)戶(hu)應(ying)自(zi)行(xing)測(ce)量(liang)特(te)定(ding)熱(re)阻(zu)抗(kang),可(ke)能(neng)會(hui)顯(xian)著(zhu)增(zeng)加(jia)。
小結
瞬態熱阻一般是用降溫曲線測得的,這樣,溫度敏感參數(TSP)jiubuhuishoudaojiaredianyahuojiaredianliudeganrao,zaiceliangguochengzhongyewuxukongzhijiaregonglv。suiranbutuijianshiyongjiarequxian,danruguozaijiaremaichongshijianneijiaregonglvPH恒定,且能保證不與芯片上的獨立TSP器件發生電氣串擾,則原則上也可使用加熱曲線4)。
數據手冊中的ZthCH和ZthJH,是高溫下的值,在器件殼溫低時候,需要考慮數值是否變大3)。
額外的收獲是,通過公式1,可以計算出芯片的有效麵積4),由於芯片有效麵積是知道的,可以用來驗證測試值。
參考資料
1.《IGBT模塊:技術、驅動和應用 》機械工業出版社
2. IEC 60747-9 Semiconductor devices - Discrete devices - Part 9: Insulated-gate bipolar transistors (IGBTs)
3. AN2015-10 Transient thermal measurements and thermal equivalent circuit models
4.JESD51-14-Transient Dual Interface Test Method for the Measurement of the Thermal Resistance Junction to Case of Semiconductor Devices with Heat Flow Trough a Single Path
免責聲明:本文為轉載文章,轉載此文目的在於傳遞更多信息,版權歸原作者所有。本文所用視頻、圖片、文字如涉及作品版權問題,請聯係小編進行處理。
推薦閱讀:
貿澤電子攜手安森美和Würth Elektronik推出新一代太陽能和儲能解決方案
AMTS 2025展位預訂正式開啟——體驗科技驅動的未來汽車世界,共迎AMTS 20周年!
- 噪聲中提取真值!瑞盟科技推出MSA2240電流檢測芯片賦能多元高端測量場景
- 10MHz高頻運行!氮矽科技發布集成驅動GaN芯片,助力電源能效再攀新高
- 失真度僅0.002%!力芯微推出超低內阻、超低失真4PST模擬開關
- 一“芯”雙電!聖邦微電子發布雙輸出電源芯片,簡化AFE與音頻設計
- 一機適配萬端:金升陽推出1200W可編程電源,賦能高端裝備製造
- 貿澤EIT係列新一期,探索AI如何重塑日常科技與用戶體驗
- 算力爆發遇上電源革新,大聯大世平集團攜手晶豐明源線上研討會解鎖應用落地
- 創新不止,創芯不已:第六屆ICDIA創芯展8月南京盛大啟幕!
- AI時代,為什麼存儲基礎設施的可靠性決定數據中心的經濟效益
- 矽典微ONELAB開發係列:為毫米波算法開發者打造的全棧工具鏈
- 車規與基於V2X的車輛協同主動避撞技術展望
- 數字隔離助力新能源汽車安全隔離的新挑戰
- 汽車模塊拋負載的解決方案
- 車用連接器的安全創新應用
- Melexis Actuators Business Unit
- Position / Current Sensors - Triaxis Hall





