使用數字電位器構建可編程振蕩器的簡單方法
發布時間:2024-01-16 責任編輯:lina
【導讀】數字電位器(digiPOT)功gong能neng多duo樣yang,應ying用yong廣guang泛fan,例li如ru用yong於yu濾lv除chu或huo生sheng成cheng交jiao流liu信xin號hao。但dan是shi有you時shi頻pin率lv必bi須xu能neng夠gou有you所suo變bian化hua,並bing根gen據ju應ying用yong需xu求qiu調tiao整zheng。在zai此ci類lei設she計ji中zhong,支zhi持chi通tong過guo適shi當dang的de接jie口kou調tiao整zheng頻pin率lv的de可ke編bian程cheng解jie決jue方fang案an極ji為wei有you用yong,在zai有you些xie情qing況kuang下xia非fei常chang有you助zhu於yu開kai發fa。本ben文wen介jie紹shao一yi種zhong簡jian單dan易yi行xing的de可ke編bian程cheng振zhen蕩dang器qi構gou建jian方fang法fa,其qi中zhong振zhen蕩dang頻pin率lv和he幅fu度du可ke以yi通tong過guo使shi用yongdigiPOT來彼此獨立地調節。
數字電位器(digiPOT)功gong能neng多duo樣yang,應ying用yong廣guang泛fan,例li如ru用yong於yu濾lv除chu或huo生sheng成cheng交jiao流liu信xin號hao。但dan是shi有you時shi頻pin率lv必bi須xu能neng夠gou有you所suo變bian化hua,並bing根gen據ju應ying用yong需xu求qiu調tiao整zheng。在zai此ci類lei設she計ji中zhong,支zhi持chi通tong過guo適shi當dang的de接jie口kou調tiao整zheng頻pin率lv的de可ke編bian程cheng解jie決jue方fang案an極ji為wei有you用yong,在zai有you些xie情qing況kuang下xia非fei常chang有you助zhu於yu開kai發fa。本ben文wen介jie紹shao一yi種zhong簡jian單dan易yi行xing的de可ke編bian程cheng振zhen蕩dang器qi構gou建jian方fang法fa,其qi中zhong振zhen蕩dang頻pin率lv和he幅fu度du可ke以yi通tong過guo使shi用yongdigiPOT來彼此獨立地調節。
圖1顯示的是典型二極管穩定文氏電橋振蕩器,可用於在輸出端 (VOUTPUT)產生約10 kHz至200 kHz的精確正弦波信號。文氏電橋振蕩器有兩個橋路,一個由帶通濾波器構成,另一個由分壓器構成。除了 ADA4610-1 軌到軌精密放大器之外,本示例還使用了AD5142 digiPOT,其包含兩個獨立可控的電位器,每個具備256步進分辨率。電阻值通過SPI編程設置,如圖2所示。或者,可以使用由I2C控製的AD5142A。兩種都可用作10 kΩ或100 kΩ電位器。
圖1.振幅穩定的可編程文氏電橋振蕩器,其中電阻由digiPOT代替。
圖2. AD5142的功能框圖。
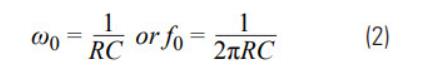
在圖1所示的經典振蕩器電路中,R1A、R1B、C1和C2的路徑形 成正反饋,而R2A、R2B和兩個並聯二極管D1和D2或其電阻 RDIODE則形成負反饋。在這種情況下,可以使用公式1:
為了實現持續穩定的振蕩,需要消除環路增益中的相移。用公式表示,振蕩頻率:
其中,R表示AD5142上的可編程電阻值:
D表示AD5142中可編程數字代碼的十進製等效值, RAB 表示電位器的總電阻。
為了保持振蕩,文氏電橋振蕩器應當相對平衡,也就是說,正反饋增益和負反饋增益必須協調一致。如果正反饋(增益)過大,振蕩幅度或 VOUTPUT 將增加,直至放大器飽和。如果負反饋占主導,則振蕩幅度將相應衰減。
在此處所示的電路中,增益R2/R1應設置為2左右或更大些。這會確保信號開始振蕩。
但是,交替開啟負反饋環路中的二極管也會導致增益暫時小於2,從而使振蕩穩定下來。
一旦確定所需的振蕩頻率,就可以通過R2,不受頻率影響地調諧振蕩幅度。可以通過下式計算:
所以,變量ID和VD分別代表通過D1和D2的二極管正向電流和二極管正向電壓。如果R2B出現短路,會產生約±0.6 V的振蕩幅度。R2B的幅度量級正確時,則可達到平衡,從而使 VOUTPUT 收斂。在圖1所示的電路中,R2B采用了一個單獨的100 kΩ digiPOT。
通過采用所述的電路和10 kΩ雙digiPOT,可以分別以8 kΩ、4 kΩ和670 Ω的電阻值調諧8.8 kHz、17.6 kHz和102 kHz振蕩頻率,頻率誤差低至±3%。提高輸出頻率可能會影響頻率誤差。例如,200 kHz時,頻率誤差將增至6%。
在頻率相關應用中使用此類電路時,必須注意不要超過digiPOT 的帶寬限值,因為該值與可編程電阻呈函數關係。此外,圖1所 示的頻率調諧要求R1A和R1B的電阻值相同。但是,兩個通道隻 能依次設置,並會導致瞬時臨界中間狀態。對於某些應用,這 種情況是不可接受的。在這些情況下,可以使用支持菊花鏈模 式的digiPOT(例如 AD5204),以便能夠同時更改電阻值。
免責聲明:本文為轉載文章,轉載此文目的在於傳遞更多信息,版權歸原作者所有。本文所用視頻、圖片、文字如涉及作品版權問題,請聯係小編進行處理。
推薦閱讀:
AUTO TECH 2024華南展——第十一屆廣州國際汽車技術展覽會
2024 第十一屆廣州國際汽車零部件及加工技術/汽車模具展覽會
- 噪聲中提取真值!瑞盟科技推出MSA2240電流檢測芯片賦能多元高端測量場景
- 10MHz高頻運行!氮矽科技發布集成驅動GaN芯片,助力電源能效再攀新高
- 失真度僅0.002%!力芯微推出超低內阻、超低失真4PST模擬開關
- 一“芯”雙電!聖邦微電子發布雙輸出電源芯片,簡化AFE與音頻設計
- 一機適配萬端:金升陽推出1200W可編程電源,賦能高端裝備製造
- 一秒檢測,成本降至萬分之一,光引科技把幾十萬的台式光譜儀“搬”到了手腕上
- AI服務器電源機櫃Power Rack HVDC MW級測試方案
- 突破工藝邊界,奎芯科技LPDDR5X IP矽驗證通過,速率達9600Mbps
- 通過直接、準確、自動測量超低範圍的氯殘留來推動反滲透膜保護
- 從技術研發到規模量產:恩智浦第三代成像雷達平台,賦能下一代自動駕駛!
- 車規與基於V2X的車輛協同主動避撞技術展望
- 數字隔離助力新能源汽車安全隔離的新挑戰
- 汽車模塊拋負載的解決方案
- 車用連接器的安全創新應用
- Melexis Actuators Business Unit
- Position / Current Sensors - Triaxis Hall





