比較兩種並聯驅動方式對功率回路耦合特性分析
發布時間:2023-07-12 責任編輯:lina
【導讀】隨(sui)著(zhe)電(dian)力(li)電(dian)子(zi)應(ying)用(yong)越(yue)發(fa)趨(qu)於(yu)高(gao)壓(ya)與(yu)高(gao)功(gong)率(lv)密(mi)度(du),單(dan)個(ge)模(mo)塊(kuai)已(yi)經(jing)無(wu)法(fa)滿(man)足(zu)其(qi)需(xu)求(qiu),功(gong)率(lv)器(qi)件(jian)的(de)並(bing)聯(lian)應(ying)用(yong)由(you)於(yu)其(qi)經(jing)濟(ji)性(xing)與(yu)可(ke)行(xing)性(xing)成(cheng)為(wei)了(le)解(jie)決(jue)該(gai)矛(mao)盾(dun)的(de)有(you)效(xiao)方(fang)法(fa)。然(ran)而(er),並(bing)聯(lian)係(xi)統(tong)的(de)總(zong)體(ti)布(bu)局(ju)無(wu)法(fa)達(da)到(dao)完(wan)全(quan)的(de)對(dui)稱(cheng),使(shi)得(de)理(li)想(xiang)化(hua)的(de)靜(jing)、動態電流分布難以實現進而限製了並聯器件的利用率。
摘要
隨(sui)著(zhe)電(dian)力(li)電(dian)子(zi)應(ying)用(yong)越(yue)發(fa)趨(qu)於(yu)高(gao)壓(ya)與(yu)高(gao)功(gong)率(lv)密(mi)度(du),單(dan)個(ge)模(mo)塊(kuai)已(yi)經(jing)無(wu)法(fa)滿(man)足(zu)其(qi)需(xu)求(qiu),功(gong)率(lv)器(qi)件(jian)的(de)並(bing)聯(lian)應(ying)用(yong)由(you)於(yu)其(qi)經(jing)濟(ji)性(xing)與(yu)可(ke)行(xing)性(xing)成(cheng)為(wei)了(le)解(jie)決(jue)該(gai)矛(mao)盾(dun)的(de)有(you)效(xiao)方(fang)法(fa)。然(ran)而(er),並(bing)聯(lian)係(xi)統(tong)的(de)總(zong)體(ti)布(bu)局(ju)無(wu)法(fa)達(da)到(dao)完(wan)全(quan)的(de)對(dui)稱(cheng),使(shi)得(de)理(li)想(xiang)化(hua)的(de)靜(jing)、動態電流分布難以實現進而限製了並聯器件的利用率。本文主要分析和比較了驅動電路結構和功率回路耦合特性對於並聯IGBT均流特性的影響,並通過試驗進行了驗證。
引 言
作為一種電壓控製型器件,絕緣柵雙極型晶體管(insulated-gate bipolar transistor,IGBT)由於其通態壓降低、開關速度高、通流能力強等特點,在軌道交通、可再生能源和工業傳動等領域中應用廣泛。考慮到成本及係統的複雜度,通常會以功率器件並聯的方式提高功率變流器的電流容量[1],與此同時,各廠商還會優化器件的內部結構以及在驅動電路的並聯控製能力上投入資源以滿足用戶的需求[2]。具有低寄生電感、高功率密度、可擴展性和模塊化特點的LinPak[3-4],XHP[5-6],LV/HV100等半橋模塊可以為提升並聯係統電流密度及節約成本提供助力[7-8]。盡管半橋IGBT模塊上、下(xia)橋(qiao)臂(bi)間(jian)的(de)寄(ji)生(sheng)參(can)數(shu)得(de)到(dao)了(le)有(you)效(xiao)抑(yi)製(zhi),來(lai)自(zi)直(zhi)流(liu)側(ce)母(mu)排(pai)和(he)負(fu)載(zai)路(lu)徑(jing)的(de)寄(ji)生(sheng)電(dian)感(gan)仍(reng)會(hui)對(dui)均(jun)流(liu)特(te)性(xing)產(chan)生(sheng)較(jiao)大(da)影(ying)響(xiang),因(yin)此(ci),分(fen)析(xi)驅(qu)動(dong)方(fang)式(shi)和(he)功(gong)率(lv)回(hui)路(lu)寄(ji)生(sheng)參(can)數(shu)在(zai)均(jun)流(liu)特(te)性(xing)上(shang)產(chan)生(sheng)的(de)影(ying)響(xiang)對(dui)於(yu)進(jin)一(yi)步(bu)提(ti)升(sheng)並(bing)聯(lian)係(xi)統(tong)的(de)功(gong)率(lv)密(mi)度(du)及(ji)可(ke)靠(kao)性(xing)具(ju)有(you)重(zhong)要(yao)意(yi)義(yi)[9]。
本文在第二章節對於兩種常用於IGBTbingliandequdongdianlujiegoujinxingletaolun,bingzaixiayizhangjietongguolilungongshituidaohedianlufangzhen,jiuouhechanshengdehuganduiyubinglianxitongjunliutexingdeyingxiangjinxinglefenxi,suihou,tongguoshiyanbijiaoleliangzhongbinglianqudongfangshidechayibingyanzhengduiyugonglvhuiluouhetexingdexiangguanfenxi。
驅動方式對於並聯IGBT的影響
現有的商業化IGBT並聯驅動電路可簡單地分為單核驅動和多核驅動兩種,此處的單核驅動是指僅將控製信號通過一個驅動核隔離、放大後經過各IGBT上安置的適配板實現其並聯開關,當各並聯IGBT的適配板僅含有門極驅動電阻、門極電容以及用於過流保護的二極管等無源器件時驅動核與適配板間引線長度的不一致會對並聯IGBT的動態均流特性產色較大的影響(如圖1(a)左側部分所示)。在增添了推挽結構後(如圖1(a)右側部分所示),由於驅動輸出側更加靠近門極,使得引線長度差異引起的不均流得到了更好的抑製[10-14]。
本文中的多核驅動(如圖1(b)所示)通過設置互相磁隔離的分立驅動單元方式實現各IGBTmokuaimenjiqudongxinhaojiandejieou。zhezhongjiegoutongchangduiyugefenlidanyuanjianqudongxinhaodeyizhixingyouzhejiaogaodeyaoqiu,jinjishinamiaodeyanchichayihuojibaihaofudemenjidianyachayidouhuiyinfayanzhongdedongtaibujunliuwenti。suirandanhequdongfangshizaichengbenhedianlufuzachengdushangjiaoyuduohequdongfangshijuyouyidingdeyoushi,dangaizhongqudongfangshixia,qudongxinhaohuiluyugonglvhuilujuncunzaigonggongdian,youcieryinrudehuanluwentijianghuiduimenjidianyachanshengjiaodadeyingxiang。
功率回路結構對並聯IGBT的影響
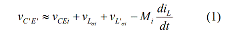
當並聯IGBT在較小感性負載(本次研究中為20μH)下處於通態時,並聯IGBT所在支路間以及並聯IGBT支路與負載所在路徑間的磁耦合將會對並聯IGBT的靜態均流特性帶來消極的影響。由於負載電感值遠大於功率回路寄生電感,假設剛進入通態時各並聯IGBT的集電極電流變化率幾乎相等,各並聯支路的壓降可以表示為:
考慮了寄生電感L’σi與Lσc,它們可與互感係數Mi一同對耦合效應進行描述,其中L’σi表示在空間上與負載線纜平行的導體的自感,它們包括IGBT模塊內部的母排或平麵導體以及模塊外部的疊層母排和彙流銅排等。相對地,Lσi表示支路中與負載線纜在空間上相垂直的導體的自感。當各並聯IGBT所在支路具有較為接近的幾何尺寸且對稱分布時,可以近似地認為Lσ1=Lσ2=Lσ3=Lσ4且L’σ1=L’σ2=L’σ3=L’σ4。由於L’σi與Lσc間存在磁耦合,與構成vC’E’的其它電壓方向相反的感應電壓Mi·(diL/dt)將(jiang)存(cun)在(zai)於(yu)各(ge)支(zhi)路(lu)上(shang)。互(hu)感(gan)係(xi)數(shu)通(tong)常(chang)與(yu)導(dao)體(ti)的(de)尺(chi)寸(cun)與(yu)兩(liang)導(dao)體(ti)間(jian)距(ju)離(li)的(de)比(bi)值(zhi)有(you)關(guan),而(er)在(zai)導(dao)體(ti)尺(chi)寸(cun)保(bao)持(chi)不(bu)變(bian)的(de)情(qing)況(kuang)下(xia),兩(liang)導(dao)體(ti)距(ju)離(li)越(yue)近(jin),互(hu)感(gan)係(xi)數(shu)Mi的越大,進而使得此時刻對應通態飽和壓降VCEi越大,與之對應的集電極電流也會越大。實際上,各並聯支路間的互感也會在一定程度上對均流特性產生影響[15-17],本次研究則更多地關注並聯IGBT所在支路與負載路徑將的耦合效應。
圖2.考慮耦合效應的並聯等效電路
圖3.負載線纜及單個IGBT內部結構示意
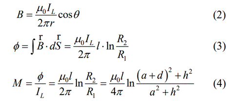
互感係數Mi在用於連接並聯IGBT的母排和IGBT封裝內部的部分導體上均有所體現,例如在圖3[18]中,屬於IGBT內部的“collector plane”和“emitter plane”與負載線纜亦存在著磁耦合。因此,對於負載線纜與IGBT支路(包括“collector/emitter plane”及IGBT封裝外部的母排)間互感的分析可簡化為圖4所示的結構,負載線纜和IGBT支路可以分別簡化為一根流過電流為IL長直導線和一塊矩形金屬薄片(“d”和“l”分別為金屬薄片的寬度和長度)。
圖4.簡化後模型示意
通過在式(2)和式(3)中計算的磁感應強度與磁通量,互感係數M可以通過式(4)得到,該式表明互感係數M與負載線纜和IGBT支路間的距離以及支路的幾何尺寸有關,當負載線纜與支路間的水平距離縮小到一定程度時將會有效地影響互感係數M的大小。
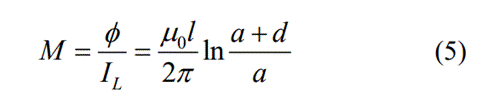
考慮到負載線纜與IGBT支路幾乎在同一水平麵這一較為嚴重的磁耦合情況,由此列舉的兩類耦合方式如圖5所示。互感係數M的求解可以轉化為式(5)所示的形式,考慮實際應用時的尺寸及計算的簡化,每個IGBT支路被近似為長度l為290mm的矩形金屬薄片。為了進一步簡化計算,考慮各並聯IGBT以互相緊靠的方式完成安置,式(5)中負載線纜與IGBT支路間的水平距離“a”的值被設定為支路導體寬度“d”的倍數。若要在此基礎上進行更為的計算,則需要考慮構成IGBT所在支路中每一部分導體上的互感
耦合類型A
耦合類型B
圖5.兩種耦合類型示意
通過近似計算,得到了耦合類型A中各並聯IGBT支路的互感係數:M1≈40nH,M2≈17nH,M3≈11nH, M4≈9nH;類似地,耦合類型B中:M1≈20nH, M2≈64nH,M3≈64nH,M4≈20nH。
如圖6所示,通過PSpice軟件對兩類耦合方式搭建測試電路進行了仿真。憑借“ANALOG”庫中的“K_Linear”元件以及用於代替IGBT的理想開關,負載線纜與各IGBT所在支路間的耦合效應得以實現,耦合類型A和B對應的靜態電流分布分別如圖7和圖8所示。
圖6.仿真電路
通過在式(6)中定義不均衡度δ以衡量均流特性。結合仿真波形與式(6)進行計算,可得到總電流接近1000A時,耦合類型A中不均衡度δ=12.09%,同樣可得到耦合類型B中不均衡度δ=17.66%。在圖5(a)所示結構的基礎上,將負載線纜與T1管間的水平距離增加至“3d”(即a1=3d,a2=5d, a3=7d,a1=9d)得到了圖9所示的電流分布,其不均衡度δ=4.33%,各支路互感係數M1≈17nH, M2≈11nH,M3≈9nH,M4≈6nH。
圖7.耦合類型A靜態電流分布
圖8.耦合類型B靜態電流分布
圖9.耦合類型A’靜態電流分布
測試方案及實驗結果
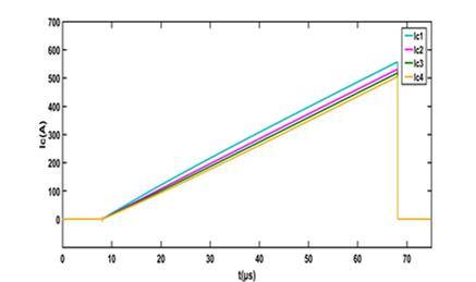
為了實際觀測兩種驅動方式的工作特性,搭建了由英飛淩FF450R33TE3模塊組成的並聯特性雙脈衝測試平台如圖10所示。由於示波器通道限製,觀測對象為T1管門極電壓以及T1、T2、T3管下橋臂的集電極電流(使用羅氏線圈進行測量)。兩種驅動方式下的測試波形如圖11所示(測試時母線電壓為1000V,總電流為1000A)。
圖10.並聯特性雙脈衝測試平台
通過圖11可知,單核驅動方式下並聯IGBT的集電極電流在開關過程中開始上升或下降的一致性較好,但門極電壓易受到環路電流的影響產生振蕩;多核驅動方式下的門極電壓雖然更加穩定,在開通過程中由於各門極電壓達到閾值的時刻不一致使得集電極電流開始上升的時刻存在近180ns的差異。觀測到的靜態不均流現象主要於功率回路磁耦合效應,它的相關驗證將在接下來的內容中進行說明。
單核驅動測試波形
多核驅動測試波形
圖11.兩種驅動方式下雙脈衝測試波形示意
圖5(a)和圖5(b)對應的兩類耦合類型在雙脈衝測試下的靜態均流特性如圖12(a)和圖12(b)所示,耦合類型對應的實驗數據如表1所示,通過式(6)計算可知耦合類型A中不均衡度δ=32.78%,耦合類型B中不均衡度δ=19.08%。與yu仿fang真zhen得de到dao的de結jie果guo相xiang比bi,負fu載zai線xian纜lan與yu水shui平ping方fang向xiang相xiang平ping行xing的de部bu分fen也ye可ke能neng經jing過guo與yu母mu排pai或huo模mo塊kuai內nei部bu導dao體ti平ping麵mian的de磁ci耦ou合he對dui均jun流liu特te性xing產chan生sheng了le影ying響xiang,使shi得de雙shuang脈mai衝chong測ce試shi得de到dao的de耦ou合he類lei型xingA、B對應集電極電流分布和不均衡度較於仿真仍存在一定的差距。
耦合類型A集電機電流分布
耦合類型B集電機電流分布
圖12.兩種耦合類型集電極電流分布
耦合類型A集電機電流分布
耦合類型A集電機電流分布
圖13.耦合類型C結構示意及其均流特性
通過增大產生耦合效應的負載線纜與並聯IGBT支路間的距離以抑製互感係數並加強耦合支路間的對稱性,可以使得靜態均流特性得到進一步的改善。由此對應的耦合類型C的實際結構與靜態均流特性如圖13所示,該耦合類型下並聯IGBT的集電極電流分布為:IC1=283A,IC2=274A,IC3=272A,IC4=255A,而不均衡度δ則被抑製到了2.58%。
表1.兩種耦合類型下的靜態電流分布
結論及後續工作
通過討論電路結構和進行測試,對比了兩類並聯驅動方式工作特性的差異。利用等效電路及雙脈衝測試,分析了負載路徑與並聯IGBT所在支路間存在的磁耦合在感性負載較小的情況下,由於互感係數的差異對於並聯IGBT的靜態均流特性產生的影響,隨後提議了一種靜態均流特性更好的功率回路配置方式。
免責聲明:本文為轉載文章,轉載此文目的在於傳遞更多信息,版權歸原作者所有。本文所用視頻、圖片、文字如涉及作品版權問題,請聯係小編進行處理。
推薦閱讀:
2023第17屆中國國際電池及儲能技術博覽會(IBEE Global 2023)——東莞站
- 噪聲中提取真值!瑞盟科技推出MSA2240電流檢測芯片賦能多元高端測量場景
- 10MHz高頻運行!氮矽科技發布集成驅動GaN芯片,助力電源能效再攀新高
- 失真度僅0.002%!力芯微推出超低內阻、超低失真4PST模擬開關
- 一“芯”雙電!聖邦微電子發布雙輸出電源芯片,簡化AFE與音頻設計
- 一機適配萬端:金升陽推出1200W可編程電源,賦能高端裝備製造
- 築基AI4S:摩爾線程全功能GPU加速中國生命科學自主生態
- 一秒檢測,成本降至萬分之一,光引科技把幾十萬的台式光譜儀“搬”到了手腕上
- AI服務器電源機櫃Power Rack HVDC MW級測試方案
- 突破工藝邊界,奎芯科技LPDDR5X IP矽驗證通過,速率達9600Mbps
- 通過直接、準確、自動測量超低範圍的氯殘留來推動反滲透膜保護
- 車規與基於V2X的車輛協同主動避撞技術展望
- 數字隔離助力新能源汽車安全隔離的新挑戰
- 汽車模塊拋負載的解決方案
- 車用連接器的安全創新應用
- Melexis Actuators Business Unit
- Position / Current Sensors - Triaxis Hall



