溫度和結構如何影響電阻穩定性
發布時間:2022-02-22 責任編輯:lina
【導讀】電阻溫度係數(TCR),也稱RTC,shiyizhongxingnengtezheng,zaihendachengdushangshoudianzujiegouyingxiang,zuzhijidi,bingqiebutongdeceshifangfahuichanshengbuyiyangdejieguo。benwenjiangzhongdianjieshaoyingxiangzheyizhizhendejiegouhejishutedian,yijiruhegenghaodilijiezheyidianzuxingnengcanshu。
電阻溫度係數(TCR),也稱RTC,shiyizhongxingnengtezheng,zaihendachengdushangshoudianzujiegouyingxiang,zuzhijidi,bingqiebutongdeceshifangfahuichanshengbuyiyangdejieguo。benwenjiangzhongdianjieshaoyingxiangzheyizhizhendejiegouhejishutedian,yijiruhegenghaodilijiezheyidianzuxingnengcanshu。
因果關係
電阻是多種因素共同作用的結果,這些因素導致電子運動偏離金屬或金屬合金晶格理想路徑。
晶格缺陷或不完整會造成電子散射,從而延長行程,增加電阻。以下情況造成這種缺陷和不完整:
因熱能在晶格中移動
晶格中存在不同原子,如雜質
部分或完全沒有晶格(非晶結構)
晶界無序區
晶體缺陷和缺陷
TCR以ppm/℃為單位測量,是上述缺陷熱能部分的特征,不同材料之間差異很大(參見表1)。當溫度恢複到基準溫度時,這種電阻變化的影響恢複原狀。

表1:不同電阻層材料TCR,單位為ppm/℃
TCR影響的另一種可見形式是材料的溫度膨脹率。以兩個分別長100m的不同棒料A和B為例,棒料A的長度變化率為+500ppm/℃,棒料B的變化率為+20ppm/℃。145℃溫變下,棒料A長度增加7.25m,而棒料B的長度僅增加0.29m。以圖1比例圖(1/20)直觀顯示這種差異。棒料A的長度明顯變化,棒料B看不出有什麼不一樣。

圖1:比較不同棒料的溫度膨脹率
這種情況也適用於電阻,TCR越低,加電(導致電阻層溫度升高)或周圍環境溫度下的測量結果越穩定。
如何測量TCR
根據MIL-STD-202 Method 304測試標準,TCR性能指以25℃為基準溫度,當溫度變化時,電阻阻值變化,組件達到平衡後,阻值差即TCR。電阻隨溫度升高而增加為正TCR (請注意,自熱也會因TCR產生電阻變化)。
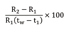
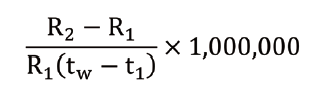
電阻-溫度係數(%):

電阻-溫度係數(ppm):

其中,R1 = 基準溫度電阻、R2 =工作溫度電阻、t1 =基準溫度(25℃)、t2 =工作溫度。
工作溫度(t2)通常取決於應用。例如,儀器典型溫度範圍為-10~60℃,而國防應用溫度範圍一般為-55~125℃。
圖2顯示溫度從25℃開始升高,電阻成比例變化時不同TCR對比。

圖2:溫度升高,電組成比例變化時的不同TCR比較
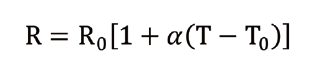
以下公式計算給定TCR條件下最大阻值變化:

其中,R=最終電阻、R0 =初始電阻、α=TCR、T=最終溫度、T0 =初始溫度。
結構對TCR的影響
金屬條(Metal Strip)和金屬板(Metal Plate)電阻技術TCR性能優於傳統厚膜檢流電阻,因為厚膜電阻材料主要是銀,而銀端子和銅端子TCR值比較高。

圖3:不同材料電阻技術TCR性能。
Metal Strip電阻技術使用實心銅端子(圖3項2),與低TCR電阻合金(項1)焊接,阻值低至0.1mΩ並實現低TCR。但是,銅端子TCR (3,900ppm/℃)高於電阻合金(

圖4:Metal Strip電阻技術
低阻值銅端子與電阻層合金連接,流經電阻層的電流可以均勻分布,提高電流測量精確度。圖5顯示銅端子與低TCR電阻合金組合對總電阻的影響,最低阻值相同結構情況下,銅端子在TCR性能中變得更為重要。

圖5:銅端子與低TCR電阻合金組合對總電阻的影響
凱爾文端子與2端子
凱爾文(4端子)結構具有兩個優點:改進電流測量重複性和TCR性能。缺口結構減少銅端子在電路中的麵積。關於凱爾文端子與2端子2512的對比參見表2。

表2:凱爾文端子與2端子2512比較
兩個關鍵問題:
為什麼缺口不切透電阻合金以獲得最佳TCR?
銅可以降低測量電流的連接電阻。在電阻合金上開槽會造成電阻合金測量部分無電流,從而導致測量電壓升高。缺口是在銅TCR影響與測量精準度和重複性之間所做的一種折衷。

圖6:缺口是在銅TCR影響與測量精準度和重複性之間所做的一種折衷
可以使用4端子焊盤設計獲得同樣的結果嗎?
不可以。雖然4端子焊盤設計確實提高了測量重複性,但不能消除測量電路中銅的影響,額定TCR仍然一樣。
包覆結構與焊接
端子的構成可在電阻層覆上薄銅層,這將影響TCR額(e)定(ding)值(zhi)和(he)測(ce)量(liang)重(zhong)複(fu)性(xing)。薄(bo)銅(tong)層(ceng)采(cai)用(yong)包(bao)覆(fu)方(fang)法(fa)或(huo)電(dian)鍍(du)來(lai)實(shi)現(xian)。包(bao)覆(fu)結(jie)構(gou)利(li)用(yong)極(ji)大(da)壓(ya)力(li),以(yi)機(ji)械(xie)方(fang)式(shi)將(jiang)銅(tong)片(pian)與(yu)電(dian)阻(zu)合(he)金(jin)連(lian)接(jie)在(zai)一(yi)起(qi),材(cai)料(liao)之(zhi)間(jian)形(xing)成(cheng)均(jun)勻(yun)接(jie)口(kou)。兩(liang)種(zhong)構(gou)造(zao)方(fang)法(fa)中(zhong),銅(tong)層(ceng)厚(hou)度(du)通(tong)常(chang)為(wei)千(qian)分(fen)之(zhi)幾(ji)英(ying)吋(cun),最(zui)大(da)限(xian)度(du)減(jian)小(xiao)銅(tong)的(de)影(ying)響(xiang)並(bing)改(gai)進(jin)TCR。其(qi)代(dai)價(jia)是(shi)電(dian)阻(zu)安(an)裝(zhuang)到(dao)基(ji)板(ban)上(shang),阻(zu)值(zhi)會(hui)略(lve)有(you)漂(piao)移(yi),因(yin)為(wei)薄(bo)銅(tong)層(ceng)不(bu)能(neng)在(zai)高(gao)電(dian)阻(zu)合(he)金(jin)中(zhong)均(jun)勻(yun)分(fen)布(bu)電(dian)流(liu)。某(mou)些(xie)情(qing)況(kuang)下(xia),板(ban)載(zai)電(dian)阻(zu)漂(piao)移(yi)可(ke)能(neng)遠(yuan)大(da)於(yu)不(bu)同(tong)電(dian)阻(zu)類(lei)型(xing)之(zhi)間(jian)的(de)TCR影響。
所有數據表的創建並非對等
一些製造商隻列出電阻層TCR,這隻是整體性能的一部分,因為忽略了端接影響。這個關鍵參數是包括端接影響的組件TCR,即電阻在應用中的表現。
其他方麵,TCR特性適用於有限溫度範圍,如20~60℃,也有更寬範圍的情況,如-55~+155℃。電阻進行對比時,有限額定溫度範圍的電阻性能優於更寬額定範圍的電阻。TCR性能通常是非線性的,負溫度範圍內表現較差。請參閱圖7,了解同一電阻不同溫度範圍的差異。

圖7:同一電阻不同溫度範圍的差異
如果數據表中列出一係列阻值的TCR,由於端接影響,其中的最低阻值確定極限。相同範圍內高阻值電阻的TCR可能接近於零,因為總電阻大部分源於低TCR電阻合金。這種圖表對比需要澄清的另一點是,電阻並不總是具有這樣的斜率,有時可能比較平。這取決於兩種材料TCR與阻值的相互作用。
總之,影響TCRdeyinsuhenduo,shujubiaokenengweitigongsuoxuxinxihuosuoxuxiangxixinxi。zuoweixianlusheji,ruguoxuyaoqitaxinxizhichinidejueding,yingyuzujiangongyingshangjishubumenlianxi。
(來源:電子工程專輯,作者:Bryan Yarborough,Vishay Intertechnology Vishay Dal)
免責聲明:本文為轉載文章,轉載此文目的在於傳遞更多信息,版權歸原作者所有。本文所用視頻、圖片、文字如涉及作品版權問題,請電話或者郵箱聯係小編進行侵刪。
推薦閱讀:
- 噪聲中提取真值!瑞盟科技推出MSA2240電流檢測芯片賦能多元高端測量場景
- 10MHz高頻運行!氮矽科技發布集成驅動GaN芯片,助力電源能效再攀新高
- 失真度僅0.002%!力芯微推出超低內阻、超低失真4PST模擬開關
- 一“芯”雙電!聖邦微電子發布雙輸出電源芯片,簡化AFE與音頻設計
- 一機適配萬端:金升陽推出1200W可編程電源,賦能高端裝備製造
- 一秒檢測,成本降至萬分之一,光引科技把幾十萬的台式光譜儀“搬”到了手腕上
- AI服務器電源機櫃Power Rack HVDC MW級測試方案
- 突破工藝邊界,奎芯科技LPDDR5X IP矽驗證通過,速率達9600Mbps
- 通過直接、準確、自動測量超低範圍的氯殘留來推動反滲透膜保護
- 從技術研發到規模量產:恩智浦第三代成像雷達平台,賦能下一代自動駕駛!
- 車規與基於V2X的車輛協同主動避撞技術展望
- 數字隔離助力新能源汽車安全隔離的新挑戰
- 汽車模塊拋負載的解決方案
- 車用連接器的安全創新應用
- Melexis Actuators Business Unit
- Position / Current Sensors - Triaxis Hall




