反激拓撲RCD吸收之變壓器漏感
發布時間:2020-12-11 來源:星球號,作者:Preston 責任編輯:lina
【導讀】反激電源的RCD吸收,對電源研發行業從業者來說是非常常見的電路,一般認為為了處理反激電源變壓器漏感帶來的功率管電壓尖峰,需要通過RCD電路進行處理。
反激電源的RCD吸收,對電源研發行業從業者來說是非常常見的電路,一般認為為了處理反激電源變壓器漏感帶來的功率管電壓尖峰,需要通過RCD電路進行處理。盡管十分常見,但是最後還是決定寫一個專題的係列文章,初步估計會有三到四篇文章,內容分別關於變壓器漏感、RCD連接方式、損耗計算和元件選型,希望能帶給讀者一些新的研發思路。
本文適合於電源研發工程師進階閱讀。
一些基本理論
變壓器,一種利用電-磁互相轉化的原理實現能量從一個端口到另一個端口的電子元件,基本結構是磁芯以及繞在同一個磁芯上的兩個或多個繞組。
盡管通常並不會把反激電源變壓器當做典型的變壓器來分析(實踐中往往當做耦合電感),但是變壓器的相關理論顯然仍然適用於反激電源變壓器。
lixiangdebianyaqishimeiyounengliangsunhaode,qiebianyaqigegeraozuzhijianwanquanouhe,zheshihoubianyaqidedianlumoxingjiushifenjiandan。danshishijishang,bianyaqizaijinxingdian-磁-電(dian)的(de)轉(zhuan)換(huan)過(guo)程(cheng)中(zhong),無(wu)論(lun)是(shi)磁(ci)芯(xin)還(hai)是(shi)繞(rao)組(zu)都(dou)是(shi)有(you)損(sun)耗(hao)的(de),而(er)且(qie)繞(rao)組(zu)之(zhi)間(jian)並(bing)不(bu)能(neng)做(zuo)到(dao)完(wan)全(quan)耦(ou)合(he)。這(zhe)時(shi)候(hou),變(bian)壓(ya)器(qi)的(de)電(dian)路(lu)模(mo)型(xing)就(jiu)複(fu)雜(za)的(de)多(duo)。這(zhe)時(shi)候(hou),可(ke)以(yi)使(shi)用(yong)等(deng)效(xiao)電(dian)路(lu)將(jiang)變(bian)壓(ya)器(qi)轉(zhuan)換(huan)為(wei)基(ji)本(ben)的(de)電(dian)阻(zu)、電感等元件,借助基本的電路理論進行一些簡化分析。

上圖是一個簡圖。實際的變壓器耦合不好,導致了漏感L_p、L_s;電流流過變壓器繞組產生的損耗是由於電阻R_p、R_s;在磁芯激勵出磁場才能將能量傳遞到副變,出現了勵磁電感L_m;磁芯中的變化的磁場是需要消耗能量才能維持的,有了勵磁損耗R_m。加上中間的理想變壓器,這就有了實際變壓器的一個近似等效。
這時,中間的理想變壓器隻起到了隔離的作用。通過阻抗變換,我們可以去掉它:

無論變壓器匝數比是多少,我們都可以通過阻抗變換,將變壓器次級的阻抗乘以匝數比的平方,而將變壓器匝數比替換為1:1。一個1:1的變壓器原副邊等電位點連載一起,就得到了變壓器的T型等效電路。
在一般的電力變壓器分析時,考慮到中間的勵磁支路的電流相對負載電流來說很小,將R1、X1上的勵磁電流忽略,那麼勵磁支路就可以移到左側端口,就得到了變壓器的Γ型等效電路:

這時候,同一之路上的阻抗可以合並,變壓器及負載變成了兩個並聯的阻抗支路,分析的時候就十分簡單。
而(er)在(zai)反(fan)激(ji)變(bian)壓(ya)器(qi)工(gong)作(zuo)時(shi),其(qi)實(shi)不(bu)存(cun)在(zai)上(shang)述(shu)分(fen)析(xi)時(shi)提(ti)到(dao)的(de)變(bian)壓(ya)器(qi)的(de)負(fu)載(zai)電(dian)流(liu),在(zai)反(fan)激(ji)電(dian)路(lu)原(yuan)邊(bian)繞(rao)組(zu)勵(li)磁(ci)時(shi)副(fu)邊(bian)繞(rao)組(zu)開(kai)路(lu),那(na)麼(me)這(zhe)時(shi)可(ke)以(yi)把(ba)勵(li)磁(ci)支(zhi)路(lu)移(yi)動(dong)右(you)側(ce)端(duan)口(kou),原(yuan)理(li)實(shi)際(ji)是(shi)一(yi)樣(yang)的(de),就(jiu)不(bu)贅(zhui)述(shu)了(le)。
前文提到過,變壓器即是耦合電感,變壓器的T型等效電路與耦合電感的T型去耦電路在形式上是一樣的。變壓器可以認為是耦合係數極大的特殊耦合電感,分析時可以適當簡化。
上麵的內容其實在很多教材中都有。這樣的等效電路是變壓器分析時的有效工具,前麵的兩個截圖就是來自本科教材 《電機學》華中科大版。網上有這個書的pdf版,強烈建議電源工程師仔細讀一下其中的變壓器相關章節。(考慮到可能存在的版權問題,這份資料就不上傳到這裏了)
等效漏感分析與優化
這部分結合反激電源的實際情況,寫一下反激拓撲中所謂的漏感從哪裏來。先說結論:反激拓撲中的漏感,主要來自兩個方麵:變壓器自身結構,和PCB走線的寄生電感。
考慮到能讀到這裏的肯定都是進階讀者,反激拓撲的漏感來自變壓器自身結構這個就不多解釋了。
而往往會被忽略的是,PCB走線,尤其是變壓器次級PCB走線的寄生電感,也是反激拓撲的等效漏感的重要來源。PCB走線寄生電感的示意圖如下:

上圖中的L1~L4位置在實踐中都會有一段引線,按前文的理論,其寄生電感都應等效為變壓器漏感,實際上也都會影響到MOSFET的電壓應力。
可能L1~L3對MOSFET電壓應力的影響比較容易理解。如果某位讀者對電感L4影響原邊MOSFET電壓應力有疑問——在原邊MOSFET產生漏感電壓尖峰應力時,L4並沒有電流流過,那麼不妨這樣想:由於L4的阻抗的存在,在原邊MOSFET截止時,變壓器中儲存的能量無法立即開始向次級傳遞,那麼變壓器能量隻能先在原邊流出,直到電感L4的電流上升到足夠大。顯然,由於L4的阻抗,反激電源原邊MOSFET的電壓應力會變高。
在實際的反激電源產品中,這幾段PCB走線的長度大概在幾mm到幾十mm這個範圍,按1nH/mm粗略估算L1~L4這幾段寄生電感大概在幾nH到幾十nH這個數量級。
相對於可能達到數百uH以上的變壓器原邊勵磁電感和往往大於2%的變壓器自身漏感比例,似乎L1~L4的總電感量對實際漏感的影響是可以忽略的,但請回想一下前文的阻抗變換的方法。由於變壓器次級整流電路走線的寄生電感L4需要折算到變壓器原邊,折算方法是乘以變壓器匝比,那麼在某些應用中,L4可能對實際的等效漏感貢獻較大。
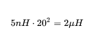
比如,假設某個反激電源變壓器的原邊感量為750uH,變壓器匝比20:1 ,變壓器原邊測量漏感比例2%,變壓器漏感為15uH。這個變壓器應用於輸入電壓300VDC,輸出電壓5VDC的反激電源中,變壓器次級整流回路的引線長度8mm,寄生電感為8nH,那麼這段引線寄生電感折算到變壓器原邊時,感量變為

可見這個應用中,變壓器次級整流回路的寄生電感令等效漏感上升了約13%。在類似的高輸入電壓、dishuchudianyadeyingyongzhong,youyubianyaqiyuanfubianzabijiaoda,cijizhengliuhuiludeyinxianjishengdianganduiyuanbiandengxiaolougandeyingxiangkenenghuishifenxianzhu,zhexianranhuiyingxiangdaogonglvMOSFET的電壓應力和電源的轉換效率。
由於這個專題的主要內容是RCD電路的分析,漏感優化不作為重點內容,就不占用過多篇幅。而由上麵的分析,在這裏想特別提醒的是,反激電源在PCB設計時請盡量縮短變壓器次級整流回路(變壓器引腳-整流二極管-輸出濾波電容組成的回路)的長度和包圍的麵積,這對電源效率、功率元件電壓應力、電磁兼容都有顯著影響。
(來源:星球號——《反激拓撲RCD吸收(1)變壓器漏感》,作者:Preston)
(來源:星球號——《反激拓撲RCD吸收(1)變壓器漏感》,作者:Preston)
免責聲明:本文為轉載文章,轉載此文目的在於傳遞更多信息,版權歸原作者所有。本文所用視頻、圖片、文字如涉及作品版權問題,請電話或者郵箱聯係小編進行侵刪。
特別推薦
- 噪聲中提取真值!瑞盟科技推出MSA2240電流檢測芯片賦能多元高端測量場景
- 10MHz高頻運行!氮矽科技發布集成驅動GaN芯片,助力電源能效再攀新高
- 失真度僅0.002%!力芯微推出超低內阻、超低失真4PST模擬開關
- 一“芯”雙電!聖邦微電子發布雙輸出電源芯片,簡化AFE與音頻設計
- 一機適配萬端:金升陽推出1200W可編程電源,賦能高端裝備製造
技術文章更多>>
- 一秒檢測,成本降至萬分之一,光引科技把幾十萬的台式光譜儀“搬”到了手腕上
- AI服務器電源機櫃Power Rack HVDC MW級測試方案
- 突破工藝邊界,奎芯科技LPDDR5X IP矽驗證通過,速率達9600Mbps
- 通過直接、準確、自動測量超低範圍的氯殘留來推動反滲透膜保護
- 從技術研發到規模量產:恩智浦第三代成像雷達平台,賦能下一代自動駕駛!
技術白皮書下載更多>>
- 車規與基於V2X的車輛協同主動避撞技術展望
- 數字隔離助力新能源汽車安全隔離的新挑戰
- 汽車模塊拋負載的解決方案
- 車用連接器的安全創新應用
- Melexis Actuators Business Unit
- Position / Current Sensors - Triaxis Hall
熱門搜索





