五大元器件的等效電路分析
發布時間:2018-12-03 責任編輯:xueqi
【導讀】以下將分析電阻,電感,電容,二極管,MOS管的等效電路分析。同一個電阻元件在通以直流和交流電時測得的電阻值是不相同的。在高頻交流下,須考慮電阻元件的引線電感L0和分布電容C0的影響。
1. 電阻
電阻等效電路

圖1:電阻等效電路
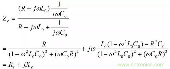
電阻的等效阻抗
同一個電阻元件在通以直流和交流電時測得的電阻值是不相同的。在高頻交流下,須考慮電阻元件的引線電感L0和分布電容C0的影響,其等效電路如圖1所示,圖中R為理想電阻。由圖可知此元件在頻率f下的等效阻抗為

上式中ω=2πf, Re和Xe分別為等效電阻分量和電抗分量,且

式 2
從上式可知Re除與f有關外,還與L0、C0有關。這表明當L0、C0不可忽略時,在交流下測此電阻元件的電阻值,得到的將是Re而非R值
2. 電感
電感等效電路

圖2:電感等效電路
電感的等效阻抗
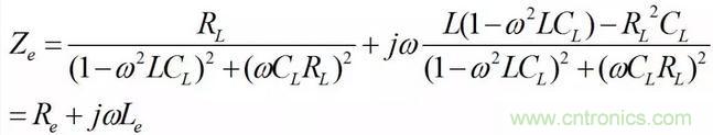
電感元件除電感L外,也總是有損耗電阻RL和分布電容CL。一般情況下RL和CL的影響很小。電感元件接於直流並達到穩態時,可視為電阻;若接於低頻交流電路則可視為理想電感L和損耗電阻RL的串聯;在高頻時其等效電路如圖2所示。比較圖1和圖 2可知二者實際上是相同的,電感元件的高頻等效阻抗可參照式 1來確定

式 3
式中 Re和Le分別為電感元件的等效電阻和等效電感。
從上式知當CL甚小時或RL、CL和ω都不大時,Le才會等於L或接近等於L。
3. 電容
電容等效電路

圖3:電容等效電路
電容的等效阻抗
在交流下電容元件總有一定介質損耗,此外其引線也有一定電阻Rn和分布電感Ln,因此電容元件等效電路如圖 3所示。圖中C是元件的固有電容,Rc是介質損耗的等效電阻。等效阻抗為

式 4
式中 Re和Ce分別為電容元件的等效電阻和等效電容, 由於一般介質損耗甚小可忽略(即Rc→∞),Ce可表示為

式 5
從上述討論中可以看出,在交流下測量R、L、C,實際所測的都是等效值Re、Le、Ce;由於電阻、電容和電感的實際阻抗隨環境以及工作頻率的變化而變,因此,在阻抗測量中應盡量按實際工作條件(尤其是工作頻率)進行,否則,測得的結果將會有很大的誤差,甚至是錯誤的結果。
4. 二極管
功率二極管的正向導通等效電路
(1)等效電路

(2)說明
二極管正向導通時可用一電壓降等效,該電壓與溫度和所流過的電流有關,溫度升高,該電壓變小;電流增加,該電壓增加。詳細的關係曲線可從製造商的手冊中獲得。
功率二極管的反向截止等效電路
(1)等效電路

(2)說明
二極管反向截止時可用一電容等效,其容量與所加的反向電壓、環境溫度等有關,大小可從製造商的手冊中獲得。
功率二極管的穩態特性總結
(1)功率二極管穩態時的電流/電壓曲線

(2)說明
二極管正向導通時的穩態工作點:

當Vin >>Vd 時,有:

而Vd對於不同的二極管,其範圍為 0.35V~2V。
二極管反向截止時的穩態工作點: Id≈0,Vd = -Vin
(3)穩態特性總結
-- 是一單向導電器件(無正向阻斷能力);
-- 為不可控器件,由其兩斷電壓的極性控製通斷,無其它外部控製;
-- 普通二極管的功率容量很大,但頻率很低;
-- 開關二極管有三種,其穩態特性和開關特性不同:
-- 快恢複二極管;
-- 超快恢複,軟恢複二極管;
-- 蕭特基二極管(反向阻斷電壓降<<200V,無反向恢複問題);
-- 器件的正向電流額定是用它的平均值來標稱的;隻要實際的電流平均值沒有超過其額定值,保證散熱沒問題,則器件就是安全的;
-- 器件的通態電壓呈負溫度係數,故不能直接並聯使用;
-- 目前的 SiC 功率二極管器件,其反向恢複特性非常好。
5. MOS管
功率MOSFET的正向導通等效電路
(1)等效電路

(2)說明
功率 MOSFET 正向導通時可用一電阻等效,該電阻與溫度有關,溫度升高,該電阻變大;它還與門極驅動電壓的大小有關,驅動電壓升高,該電阻變小。詳細的關係曲線可從製造商的手冊中獲得。
功率MOSFET的反向導通等效電路(1)
(1)等效電路(門極不加控製)

(2)說明
即內部二極管的等效電路,可用一電壓降等效,此二極管為MOSFET 的體二極管,多數情況下,因其特性很差,要避免使用。
功率MOSFET的反向導通等效電路(2)
(1)等效電路(門極加控製)

(2)說明
功率 MOSFET 在門級控製下的反向導通,也可用一電阻等效,該電阻與溫度有關,溫度升高,該電阻變大;它還與門極驅動電壓的大小有關,驅動電壓升高,該電阻變小。詳細的關係曲線可從製造商的手冊中獲得。此工作狀態稱為MOSFET 的同步整流工作,是低壓大電流輸出開關電源中非常重要的一種工作狀態。
功率MOSFET的正向截止等效電路
(1)等效電路

(2)說明
功率 MOSFET 正向截止時可用一電容等效,其容量與所加的正向電壓、環境溫度等有關,大小可從製造商的手冊中獲得。
功率MOSFET的穩態特性總結
(1)功率MOSFET 穩態時的電流/電壓曲線

(2)說明
功率 MOSFET 正向飽和導通時的穩態工作點:

當門極不加控製時,其反向導通的穩態工作點同二極管。
(3)穩態特性總結
-- 門極與源極間的電壓Vgs 控製器件的導通狀態;當Vgs<Vth時,器件處於斷開狀態,Vth一般為 3V;當Vgs>Vth時,器件處於導通狀態;器件的通態電阻與Vgs有關,Vgs大,通態電阻小;多數器件的Vgs為 12V-15V ,額定值為+-30V;
-- 器件的漏極電流額定是用它的有效值或平均值來標稱的;隻要實際的漏極電流有效值沒有超過其額定值,保證散熱沒問題,則器件就是安全的;
-- 器件的通態電阻呈正溫度係數,故原理上很容易並聯擴容,但實際並聯時,還要考慮驅動的對稱性和動態均流問題;
-- 目前的 Logic-Level的功率 MOSFET,其Vgs隻要 5V,便可保證漏源通態電阻很小;
-- 器件的同步整流工作狀態已變得愈來愈廣泛,原因是它的通態電阻非常小(目前最小的為2-4 毫歐),在低壓大電流輸出的DC/DC 中已是最關鍵的器件;
包含寄生參數的功率MOSFET等效電路
(1)等效電路

(2)說明
實際的功率MOSFET 可用三個結電容,三個溝道電阻,和一個內部二極管及一個理想MOSFET 來等效。三個結電容均與結電壓的大小有關,而門極的溝道電阻一般很小,漏極和源極的兩個溝道電阻之和即為MOSFET 飽和時的通態電阻。
特別推薦
- 噪聲中提取真值!瑞盟科技推出MSA2240電流檢測芯片賦能多元高端測量場景
- 10MHz高頻運行!氮矽科技發布集成驅動GaN芯片,助力電源能效再攀新高
- 失真度僅0.002%!力芯微推出超低內阻、超低失真4PST模擬開關
- 一“芯”雙電!聖邦微電子發布雙輸出電源芯片,簡化AFE與音頻設計
- 一機適配萬端:金升陽推出1200W可編程電源,賦能高端裝備製造
技術文章更多>>
- 菲尼克斯電氣DIP產線獲授“IPC HERMES Demo Line”示範線
- 貿澤電子新品推薦:2026年第一季度引入超過9,000個新物料
- PROFINET牽手RS232:網關為RFID裝上“同聲傳譯”舊設備秒變智能
- 跨域無界 智馭未來——聯合電子北京車展之智能網聯篇
- 為AI尋找存儲新方案
技術白皮書下載更多>>
- 車規與基於V2X的車輛協同主動避撞技術展望
- 數字隔離助力新能源汽車安全隔離的新挑戰
- 汽車模塊拋負載的解決方案
- 車用連接器的安全創新應用
- Melexis Actuators Business Unit
- Position / Current Sensors - Triaxis Hall
熱門搜索
單向可控矽
刀開關
等離子顯示屏
低頻電感
低通濾波器
低音炮電路
滌綸電容
點膠設備
電池
電池管理係統
電磁蜂鳴器
電磁兼容
電磁爐危害
電動車
電動工具
電動汽車
電感
電工電路
電機控製
電解電容
電纜連接器
電力電子
電力繼電器
電力線通信
電流保險絲
電流表
電流傳感器
電流互感器
電路保護
電路圖


