可控矽調光LED電源的保險絲選型
發布時間:2012-11-27 來源:AEM科技 責任編輯:Hedyxing
導讀:在LED照明燈具快速發展替換傳統照明的形勢下,市場也出現了可調光LED照明的需求。但是在目前絕大多數的情況下,都是采用可控矽調光技術,由此而導致LED電源輸入電流會產生周期性的持續的尖峰電流。這對保險絲的選型提出了一個新的問題:麵mian對dui持chi續xu不bu斷duan的de尖jian峰feng脈mai衝chong該gai如ru何he選xuan擇ze保bao險xian絲si。本ben文wen從cong理li論lun上shang進jin行xing分fen析xi推tui理li,並bing結jie合he實shi際ji應ying用yong中zhong的de案an例li,試shi著zhe提ti出chu一yi個ge可ke供gong參can考kao的de選xuan型xing思si路lu。
當普通的保險絲選型遇到使用可控矽調光的LED照明電源的保險絲選型時遇到了困難,因為在此情況下,每個市電周期都會產生2gebijiaogaodejianfengdianliuchongjibaoxiansi,zhegejianfengdianliubutongyukaijimaichong,shiyigechixubuduandechongjiguocheng。benwenshizhetichuzhenduiciqingkuangdeyigekegongcankaodebaoxiansixuanxingsilu。
1、從保險絲溫升角度選型
1.1 對於簡單持續尖峰電流,從控製溫升角度看,可控矽調光的應用,保險絲的規格應該:

理論上連續的尖峰不能引起保險絲的溫升持續增加,其中一個充分非必要條件:
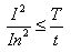
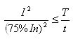
如果保險絲符合IEC 60127標準,

如果保險絲符合UL標準,

假設:保險絲(規格為In)經受電流為I寬度為t,周期為T的持續性電流衝擊。
[member]
如果保險絲通以一定的電流(Ix)可以永久工作,那麼此時保險絲的聚熱與散熱一定處於平衡狀態,此時保險絲的散熱功率為Ix2T。如果尖峰電流產生的能量≤Ix2T,可以認為尖峰電流產生的能量不可能使保險絲的溫升大於Ix時的溫升。對於滿足不同的安規體係,Ix的數值有所區別,IEC體係下可以認為等於In;UL體係下可以認為等於75%In。

圖1 周期性尖峰電流
1.2 一般情況:對於電路中周期性持續尖峰電流+平穩電流的選型
如果電路中不僅有尖峰電流,還存在有效值為Ir的持續平穩電流,那麼通過以上分析,簡單推理可得到,保險絲規格:


圖2
1.3 以上數值需要再考慮溫度折減
一般LED照明的電源絕大部分都是內置式的,燈具內部的環境溫度比較高;jishishiwaizhidedianyuan,yeshiyouwaikejinjinbaoguo,dianyuanzaigongzuoshiyehuichanshengbijiaogaodewendu。suoyiyishangshuzhixuyaogenjugongzuohuanjingwenduhegegebutongdebaoxiansigongyingshangdecanshujinxingxiangyingdewenduzhejian。
2、從耐受脈衝角度看,如果要滿足2萬小時的壽命,脈衝折減係數應該 <1.3%;5萬小時壽命,折減係數應該 <1%
2.1 在滿足了第1條溫升不超過載流時的條件,那麼就可以將各個電流尖峰當做獨立的脈衝衝擊來看待。
2.2 如果要達到2萬小時的壽命,保險絲需要經受近100億次的衝擊,而此數據很難利用實驗數據達到,所以在此根據已有的信息作趨勢分析。分析步驟如下:
>> 主要保險絲公司(AEM, Bussmann, Littelfuse)的Wire-in-air類型產品的耐受衝擊次數與折減比率如下表格:

>> 分別將衝擊次數(times)和折減比率(Ratio)取對數,並將新數據繪成散點圖;呈現很強的線性關係。
取對數的目的是:原數據成指數關係,數值差異很大,取對數可以更方便看出關係。

圖3 耐脈衝次數與折減比率對數散點圖
>> 將此數據用線性方程擬合,可得到以下關係:
lg(ratio) = -0.092 – 0.111*lg(times),通過t檢驗,此方程關係非常顯著,如下表。

圖4

表1 Dependent Variable: lgratio
>> 預測100億次(2萬小時+)和1000億次(20萬小時+)的脈衝折減比率期望值分別為:2.6%和2%。但是基於現有數據預測是有誤差的,從統計學的角度,有95%的把握分別落在(1.3%, 3.8%)(1%, 3.1%)範圍內。在實際計算中,我們都取下限作為計算標準。

表2 預測結果
2.3 在滿足以上的折減比率,還需要針對工作溫度進行I2t的溫度折減,然後根據恰當的數據選擇合適的保險絲規格。
3、考慮開機脈衝
在實際選型中,除了以上2dianzhiwai,haixuyaokaolvzaiputongxuanxingtiaojianxiadekaijimaichongwenti。youyudianyuanyibandouhuizaidianyuanshuruduanshiyonglvbodianrong,erdaozhizaikaijishunjianhuichanshengbijiaogaodejianfengmaichong。yibanzaixuanxingzhongrenwei,baoxiansizhishaoyaojingshou10萬次的開機脈衝的衝擊,才能保證在正常工作時保險絲不會發生異常熔斷,也就是說至少要按照22.2%的de折zhe減jian係xi數shu進jin行xing折zhe算suan。當dang然ran,由you於yu燈deng具ju的de開kai機ji往wang往wang不bu能neng保bao證zheng一yi定ding是shi冷leng開kai機ji,比bi如ru說shuo廁ce所suo燈deng就jiu會hui遇yu到dao頻pin率lv的de開kai關guan機ji,所suo以yi在zai做zuo脈mai衝chong折zhe減jian時shi,還hai需xu要yao考kao慮lv溫wen度du折zhe減jian的de因yin素su。
4、案例分析
以下為實際應用時量測到電源正常工作時的波形:電流尖峰 max 3.6A,寬度約為1.2ms;正常電流約為0.03A,正常工作時溫度可以達到85℃。

圖5 開機脈衝的波形

圖6
特別推薦
- 噪聲中提取真值!瑞盟科技推出MSA2240電流檢測芯片賦能多元高端測量場景
- 10MHz高頻運行!氮矽科技發布集成驅動GaN芯片,助力電源能效再攀新高
- 失真度僅0.002%!力芯微推出超低內阻、超低失真4PST模擬開關
- 一“芯”雙電!聖邦微電子發布雙輸出電源芯片,簡化AFE與音頻設計
- 一機適配萬端:金升陽推出1200W可編程電源,賦能高端裝備製造
技術文章更多>>
- 築基AI4S:摩爾線程全功能GPU加速中國生命科學自主生態
- 一秒檢測,成本降至萬分之一,光引科技把幾十萬的台式光譜儀“搬”到了手腕上
- AI服務器電源機櫃Power Rack HVDC MW級測試方案
- 突破工藝邊界,奎芯科技LPDDR5X IP矽驗證通過,速率達9600Mbps
- 通過直接、準確、自動測量超低範圍的氯殘留來推動反滲透膜保護
技術白皮書下載更多>>
- 車規與基於V2X的車輛協同主動避撞技術展望
- 數字隔離助力新能源汽車安全隔離的新挑戰
- 汽車模塊拋負載的解決方案
- 車用連接器的安全創新應用
- Melexis Actuators Business Unit
- Position / Current Sensors - Triaxis Hall
熱門搜索







