基於音頻功放過溫保護電路設計
發布時間:2012-11-23 責任編輯:sherryyu
【導讀】過溫保護已經悄悄的滲透到各種領域,如“5.26事件”,是不是就是車子的過溫保護沒做好才引起爆炸。本文介紹音頻功放的過溫保護電路設計,利用PTATdianliulaijiancewendudebianhua,bingzhuanhuanchengdianyaxinhaoshuruliangjibijiaoqijinxingbijiao,congerchanshengguorebaohuxinhao。bijiaoqidechizhixiaoyingnengyouxiaofangzhirezhendangxianxiangdefasheng。gaidianluduiwenduganyinglingmindugao,feichangshihejichengzaijichengdianluxinpianzhong。
在集成電路芯片工作的過程中,不可避免地會有功率損耗,而這些功率損耗中的絕大部分將轉換成熱能散出。在環境過高、短路等異常情況下,會導致芯片內部的熱量不能被及時散出,從而不可避免地使芯片工作溫度上升。過高的工作溫度對芯片工作性能、可靠性和安全性都有很大的影響。研究表明,芯片溫度每升高1℃,MOS管的驅動能力將下降約為4%,連線延遲增加5%,集成電路失效率增加一倍,因此芯片內部必須要有過溫保護電路來保障芯片安全。
文中將介紹一種可用標準CMOS工藝實現的過溫保護電路。在電路設計上,使用了與溫度成正比的電流源(PTAT電流)和具有負溫度係數的PNP管(CMOS 工藝中寄生)結jie電dian壓ya作zuo為wei兩liang路lu差cha動dong的de感gan溫wen單dan元yuan。這zhe種zhong差cha動dong的de傳chuan感gan方fang式shi,可ke以yi提ti高gao電dian路lu對dui溫wen度du變bian化hua反fan應ying的de靈ling敏min度du,同tong時shi,其qi具ju有you的de遲chi滯zhi功gong能neng,可ke以yi有you效xiao的de避bi免mian熱re振zhen蕩dang對dui芯xin片pian的de損sun壞huai。
1 架構原理分析
1.1 工作原理分析

圖1為本設計的原理架構,Q1為NWELLCMOS工藝中寄生PNP三極管,其集電極是必須與地點位連接,為了利用寄生PN結導通正向導通電壓的負溫度特性,把Q1做二極管連接(基集也接到地),這樣A點和地之間的電壓VA就具有了PN結正向電壓的與溫度成反比的性質。由於基準電路輸出的偏置電壓加在M0、M1、M5的柵極上,則其所在支路上都會產生PTAT電流 (Proportional to Abso-lute Temperature);在提供偏置的同時,也在電阻R0上產生了與溫度成正比的電壓VB即B點電壓隨之增大。當達到某一溫度TH(設定的關斷溫度) 後,VH≥VA、比較器Comp輸出高電平,經過倒相器INV後,輸出TSD為低電平;此信號作用於電路的其它模塊後,使整個芯片停止工作,實現熱保護功能。同時,TSD信號正反饋作用於M2柵上,開啟M2,加大了電阻R0上電流,使VB更高。
在芯片被熱保護,停止工作後,芯片上的溫度會從TH下降,使得A點電壓VA慢慢上升,B點電壓VB慢慢下降。由於先前TSD的正反饋作用已經使VB 升高,因此在這種狀態下,要出現VA≥VB使比較器輸出翻轉情況就需要A點有比先前的電壓VA更大的電壓,相應地使得下降時翻轉點對應的恢複溫度TL也會比TH低。當溫度低於TL後,VB≥VA,通過比較器作用後,會使TSD輸出高電平,使芯片恢複工作。同時,TSD信號仍然會再次正反饋作用於M2柵上,關斷M2,進一步減小了電阻R0上的電流,使VB更低。
整個工作過程中,TSD的正反饋起到了遲滯的作用。使得正常工作時,TSD輸出高電平作用於電路其它模塊。當溫度過高時,TSD輸出低電平作用於電路其它模塊,使芯片停止工作,保護芯片。
[page]
1.2 溫度翻轉點的計算
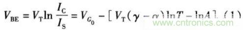
A點的電壓VA為PN結兩邊電壓,PN結電壓的表達式可寫為

式中VG為帶隙電壓,γ和α為器件參數,A代表了那些方程推到過程中與溫度無關的常量。因為Vt=kt/q,可以得到VBE隨溫度上升是降低的。其關於溫度變化的方程為

如果忽略由溫度變化引起lnT項變化對式(2)的影響,dVBE/dT可近似等於常數C0。常溫下C0約為-2 mV/K。為了簡化計算,則PN結關於溫度的變化方程可近似線性為
![]()
B點的電壓為電阻上的電壓,可由歐姆定理計算得到。計算溫度上升翻轉點TH,當溫度上升時,由前分析可知,TSD為高電平,M2截止。因此流入R0的電流隻有I1一路。此狀態下VB電壓的表達式為
![]()
翻轉點(VA=VB)時的對應方程為

計算溫度下降翻轉點TL當從高於TH溫度下降時,由前分析可知,TSD為低電平,M2開啟。因此流入電阻R的電流有I1,I2兩路。此狀態下VB電壓的表達式為
![]()
翻轉點(VA=VB)時對應方程為

式(10)即為過溫保護工作時的遲滯量。
[page]
2 實際電路設計
設計的過熱保護電路大體上分為3個部分,如圖2所示。


啟動電路:啟動電路隻有在剛上電的時候才會工作,當電源電壓從0 V慢慢升高,同時輸入信號Shut為低電平時,開關管 M37就會被打開,MOS管M38也會導通,這樣就會使得在M38這條支路上的電壓慢慢升高。以二極管形式連接的M40的柵端也會隨之升高,也為右端的 M45,M43,M42提供柵極電壓,從而破壞了基準電路的平衡,使之能夠啟動起來。當M40的柵極電壓上升到M44的閾值電壓時,就會將其導通,使得產生了一個有電源到地的通路,這樣也就完成了啟動電路的功能。
偏著電路:此部分電路的工作原理與產生PTAT電流電路的原理基本相同,輸出端的電壓為其它電路提供偏置。M36、M45、Q4組成的支路將在右端支路的電流取出,經過濾波、放大後又鏡像回去,在M34、M42、Q1的支路上輸出一個偏置電壓信號。由於電流鏡的工作原理,所以要求M34~M36和 M42~M45均為相同的對管。另外,此電路中M33作為關斷管,當Shut信號為高電平時,M33就會處於導通狀態,這樣這屆就會將M34、M35關斷,使得整個電路關斷。
熱敏關斷保護電路:由於基準電路輸出的偏置電壓加到M39、M51、M52柵極上,所以在這兩條支路上都會產生PTAT電流。采用M41、M47、M48、M49、M50構成的兩級比較器來實現原理等效圖中Comp的功能。此比較器的第一級為PMOS差動輸入。
用 PMOS做差動輸人的作用:(1)降低了輸入的噪聲。正常情況下,溫度不可能有很劇烈的變化,因此溫度波動的頻率不可能很高,所以閃爍噪聲1/f將成為噪聲的主要成分。由於PMOS輸入可降低噪聲對電路的影響;(2)PMOS輸入使共模輸入範圍的下限降低。此電路比較器要比較是接近於PN結VBE的電壓,用PMOS構(gou)成(cheng)的(de)輸(shu)入(ru)端(duan)可(ke)更(geng)好(hao)的(de)滿(man)足(zu)這(zhe)種(zhong)低(di)共(gong)模(mo)輸(shu)入(ru)電(dian)壓(ya)的(de)要(yao)求(qiu)。比(bi)較(jiao)器(qi)的(de)第(di)二(er)級(ji)為(wei)共(gong)源(yuan)放(fang)大(da)器(qi),作(zuo)為(wei)比(bi)較(jiao)器(qi)的(de)第(di)二(er)級(ji),其(qi)主(zhu)要(yao)作(zuo)用(yong)增(zeng)大(da)了(le)輸(shu)出(chu)擺(bai)幅(fu)、提高了增益和輸入的分辨率,加快了高低電平的轉換速率。電路中電容C0的作用:電容C0可以抑製一些幹擾量在比較器通向輸入端電阻風上產生的電壓波動,以防止係統被擾動引起的誤動作。
[page]
3 仿真測試
按照以上設計的電路。用Cadence Specture對其進行仿真,器件的模型參數采用0.35μm CMOS工藝。圖2為過溫保護電路的輸出控製信號TSD,隨溫度上升和下降的曲線。電源電壓取3.3 V。從仿真結果可以看出,該電路實現了良好的“溫度遲滯”特性。遲滯功能有效的避免了芯片出現熱振蕩問題。關斷溫度TH160°和恢複溫度TL140°。
- 噪聲中提取真值!瑞盟科技推出MSA2240電流檢測芯片賦能多元高端測量場景
- 10MHz高頻運行!氮矽科技發布集成驅動GaN芯片,助力電源能效再攀新高
- 失真度僅0.002%!力芯微推出超低內阻、超低失真4PST模擬開關
- 一“芯”雙電!聖邦微電子發布雙輸出電源芯片,簡化AFE與音頻設計
- 一機適配萬端:金升陽推出1200W可編程電源,賦能高端裝備製造
- 築基AI4S:摩爾線程全功能GPU加速中國生命科學自主生態
- 一秒檢測,成本降至萬分之一,光引科技把幾十萬的台式光譜儀“搬”到了手腕上
- AI服務器電源機櫃Power Rack HVDC MW級測試方案
- 突破工藝邊界,奎芯科技LPDDR5X IP矽驗證通過,速率達9600Mbps
- 通過直接、準確、自動測量超低範圍的氯殘留來推動反滲透膜保護
- 車規與基於V2X的車輛協同主動避撞技術展望
- 數字隔離助力新能源汽車安全隔離的新挑戰
- 汽車模塊拋負載的解決方案
- 車用連接器的安全創新應用
- Melexis Actuators Business Unit
- Position / Current Sensors - Triaxis Hall




