相位式光纖測量電路係統的設計與實現
發布時間:2011-12-20
中心議題:
引言
光電測距儀和全站型電子速測儀(以下簡稱全站儀)zuoweiyizhongzaiduolingyuguangfanyingyongdejiliangyiqi,weibaozhengjingduhekekaoxing,bixuduiwuchajinxingdingqijiandinghexiaozheng。muqianzhezhongjiandingduozaishiwaibiaozhunjixianshangcaiyongduoduanjixianzuhebijiaofajinxing。danzhezhongfangfachengbenda,weihukunnan,qieyishouhuanjingyinsudeyingxiang,yinerguoneiwaiyizhizhiliyujianlishineijiandingzhuangzhi,yiqudaishiwaijixian,wanchengcejuyidejiandinghexiaozheng。
光guang纖xian作zuo為wei一yi種zhong光guang傳chuan輸shu介jie質zhi,以yi其qi良liang好hao的de導dao光guang性xing和he伸shen展zhan性xing,成cheng為wei激ji光guang測ce距ju室shi內nei校xiao正zheng的de理li想xiang選xuan擇ze,已yi有you文wen獻xian對dui其qi可ke行xing性xing進jin行xing了le分fen析xi。基ji於yu此ci,我wo們men研yan製zhi開kai發fa了le基ji於yu光guang纖xian的de激ji光guang測ce距ju校xiao正zheng係xi統tong。在zai該gai校xiao正zheng係xi統tong中zhong,利li用yong光guang纖xian模mo擬ni室shi外wai基ji線xian,使shi用yong全quan站zhan儀yi對dui光guang纖xian光guang程cheng進jin行xing測ce量liang,其qi測ce量liang結jie果guo和he光guang纖xian實shi際ji光guang程cheng進jin行xing比bi較jiao,從cong而er達da到dao檢jian定ding和he校xiao正zheng的de目mu的de。
為了得到被測光纖基線的實際光程,需要對光纖的光程長度進行精確測量。現有的光纖長度測量方法有光時域反射(OTDR)、光頻域反射(OFDR)、幹涉法、脈衝法,相位法等。其中相位法測量範圍較大、精度高,能夠很好地滿足光纖基線的測量要求。因而,我們利用FPGA、直接數字合成(DDS)、數(shu)字(zi)鑒(jian)相(xiang)等(deng)技(ji)術(shu),設(she)計(ji)和(he)實(shi)現(xian)了(le)基(ji)於(yu)相(xiang)位(wei)法(fa)的(de)電(dian)路(lu)測(ce)量(liang)係(xi)統(tong),用(yong)於(yu)光(guang)纖(xian)光(guang)程(cheng)的(de)測(ce)量(liang)。該(gai)測(ce)量(liang)係(xi)統(tong)具(ju)有(you)比(bi)全(quan)站(zhan)儀(yi)更(geng)高(gao)的(de)測(ce)量(liang)精(jing)度(du),從(cong)而(er)對(dui)光(guang)纖(xian)基(ji)線(xian)的(de)實(shi)際(ji)光(guang)程(cheng)進(jin)行(xing)標(biao)定(ding),以(yi)其(qi)標(biao)定(ding)長(chang)度(du)與(yu)全(quan)站(zhan)儀(yi)測(ce)量(liang)結(jie)果(guo)進(jin)行(xing)比(bi)較(jiao),完(wan)成(cheng)全(quan)站(zhan)儀(yi)的(de)校(xiao)正(zheng)。
1 相位法測量的基本原理
相位法激光測量技術利用光調製信號在發射端和接收端之間的相位差來實現對被測目標距離量或長度量的測量。
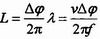
利用相位法測量光纖光程如圖1所示,一段光程為的光纖,其輸入輸出端分別為A、B,在A端輸入經調製的光信號,在光纖中傳輸後在B點輸出。設調製信號在A的相位為φ0,在B點的相位為φ1,那麼通過檢測兩端之間的相位差△φ=φ1-φ0,可得到L值。
設光調製信號的頻率為f,光速為v,則信號波長λ=v/f,那麼
。
調製信號可認為是相位法測量的度量標尺,稱之為“測尺”。測尺頻率越大,測量精度越高。由於測尺信號的周期重複性,使用一把測尺不能實現長度的準確測量。因而使用一組(兩個或以上)測尺一起對三進行測量,可同時保證測量的精度和範圍,得到準確測量值。
[page]
2 相位法測量的電路實現
2.1 電路實現方案
利用相位法對光纖光程進行測量的電路框圖如圖2所示。

在該係統中,上位機PC接收用戶的測量指令,通過USB接口發送到下位係統的FPGA中,FPGA對指令進行解析,控製頻率信號產生電路產生主振信號和本振信號。
主zhu振zhen信xin號hao通tong過guo調tiao製zhi器qi對dui光guang源yuan發fa出chu的de光guang進jin行xing調tiao製zhi,調tiao製zhi光guang在zai被bei測ce光guang纖xian中zhong傳chuan輸shu後hou由you光guang電dian轉zhuan換huan器qi得de到dao測ce量liang信xin號hao。原yuan主zhu振zhen信xin號hao作zuo為wei參can考kao信xin號hao與yu測ce量liang信xin號hao分fen別bie和he本ben振zhen信xin號hao進jin行xing混hun頻pin,然ran後hou經jing信xin號hao整zheng形xing後hou送song入ruFPGA進行鑒相得到兩者相位差,該相位差包含了被測光纖的長度信息。FPGA通過相位差計算得到光纖光程,然後通過USB接口發送到上位機PC,顯示給用戶。實際測量中,按照以上流程,依次產生兩組不同頻率的測量信號,實現對光纖光程的準確測量。
2.2 係統關鍵技術的實現
2.2.1 FPGA單元的實現
FPGA單元使用Altcra DE2開發板實現,構建SOPC係統,調用開發板中USB組件實現與上位機的數據交互,利用NIOS II處理器進行信息處理、指令解析和測量計算。
同時使用Verilog HDL語(yu)言(yan)編(bian)寫(xie)頻(pin)率(lv)信(xin)號(hao)控(kong)製(zhi)模(mo)塊(kuai)和(he)鑒(jian)相(xiang)模(mo)塊(kuai)。前(qian)者(zhe)用(yong)於(yu)對(dui)頻(pin)率(lv)信(xin)號(hao)產(chan)生(sheng)電(dian)路(lu)進(jin)行(xing)控(kong)製(zhi),後(hou)者(zhe)對(dui)測(ce)量(liang)後(hou)的(de)信(xin)號(hao)進(jin)行(xing)相(xiang)位(wei)差(cha)檢(jian)測(ce)。其(qi)實(shi)現(xian)框(kuang)圖(tu)如(ru)圖(tu)3所示。
2.2.2 頻率信號產生電路的實現
頻率信號產生電路在FPGAzhongpinlvkongzhimokuaidekongzhixia,chanshenggaojingduzhengxianzhuzhenxinhaohebenzhenxinhao,fenbieyongyuguangtiaozhihehunpin。cidianluchanshengdexinhaoyaoqiupinlvketiao,qiejuyougaodepinlvwendingxinghedidexiangweizaosheng,xiangweidoudongxiao,yibaozhengzuizhongdeceliangjingdu。
在本係統中,我們基於直接數字頻率合成(DDS)技術進行信號產生。DDS的實現,使用芯片AD9951。AD9951是一個可控的頻率合成芯片,具有32位頻率轉換字,最大合成頻率為160MHz。係統中采用兩塊AD9951,分別產生主振信號和本振信號。FPGA通過該芯片的控製端口,對其產生的信號頻率進行控製。其控製時序如圖4所示。
AD9951產生的頻率信號具有一定的雜散,係統中使用七階橢圓低通濾波器進行濾波,然後使用運算放大器AD8007進行信號放大。電路框圖如圖5所示。該電路產生的50MHz的正弦信號如圖6所示。
[page]
2.2.3 混頻鑒相電路
由you於yu測ce量liang信xin號hao頻pin率lv較jiao高gao,直zhi接jie對dui其qi進jin行xing鑒jian相xiang難nan以yi達da到dao良liang好hao的de鑒jian相xiang精jing度du,因yin而er在zai係xi統tong中zhong采cai用yong混hun頻pin的de方fang法fa進jin行xing差cha頻pin鑒jian相xiang。在zai差cha頻pin鑒jian相xiang中zhong,參can考kao信xin號hao和he測ce量liang信xin號hao同tong時shi與yu本ben振zhen信xin號hao進jin行xing混hun頻pin,濾lv除chu混hun頻pin後hou高gao頻pin分fen量liang,得de到dao混hun頻pin後hou低di頻pin參can考kao信xin號hao和he混hun頻pin後hou低di頻pin測ce量liang信xin號hao。混hun頻pin降jiang低di了le信xin號hao頻pin率lv,但dan保bao持chi相xiang位wei差cha不bu變bian,便bian於yu鑒jian相xiang操cao作zuo。相xiang位wei差cha的de檢jian測ce使shi用yong自zi動dong數shu字zi鑒jian相xiang法fa。其qi原yuan理li如ru圖tu7suoshi。cankaoxinhaoheceliangxinhaotongguoguolingbijiao,dedaocankaofangboxinhaoheceliangfangboxinhao。bijiaoliangfangboxinhao,dedaoliangzhezhijiandexiangweichaxinhao,ranhoushiyonggaopinjishumaichongduixiangweichaxinhao,ranhoushiyonggaopinjishumaichongduixiangweichaxinhaojinxingjishu。shecankaoxinhaoheceliangxinhaodezhouqiweif,高頻計數脈衝的頻率為fc,一個周期內的計數值為M,則相位差為:△φ=2πMf /fc。為了減小偶然誤差,提高鑒相精度,可以對多個周期計數求平均。設N個周期的計數值為M'',則△φ=2πM''f/Nfc。
混頻電路的實現基於混頻器AD831。使用兩片AD831,分別用於參考信號與本振信號混頻及測量信號與本振信號混頻。混頻後使用芯片MAX274進行帶通濾波,得到混頻後的低頻正弦信號。然後通過基於MAX912的過零比較電路將正弦信號轉換為同相位差的方波信號,輸入到FPGA中進行鑒相。在FPGA中,利用多周期自動數字鑒相法,對相位差進行檢測。其實現框圖如圖8所示。
3 測量結果
在實際測量中,利用組合測尺頻率先後進行兩次測量。第一次取主振信號頻率為52MHz,本振信號頻率為51.99MHz;第二次取主振信號頻率為51MHz,本振信號頻率為50.99MHz。對應於混頻後信號頻率為10kHz。FPGA中鑒相高速計數脈衝頻率為50MHz。基(ji)於(yu)以(yi)上(shang)參(can)數(shu),對(dui)多(duo)段(duan)光(guang)纖(xian)進(jin)行(xing)測(ce)量(liang)。兩(liang)次(ci)測(ce)量(liang)的(de)結(jie)果(guo)進(jin)行(xing)分(fen)析(xi)比(bi)較(jiao),可(ke)得(de)到(dao)測(ce)量(liang)值(zhi)。被(bei)測(ce)光(guang)纖(xian)的(de)實(shi)際(ji)光(guang)程(cheng)已(yi)由(you)精(jing)密(mi)反(fan)射(she)儀(yi)通(tong)過(guo)光(guang)學(xue)方(fang)法(fa)進(jin)行(xing)標(biao)定(ding)。測(ce)量(liang)結(jie)果(guo)如(ru)表(biao)1所示。
由以上測量結果可以看到,在一定的量程範圍內,基於相位法的測量係統,對光纖光程的測量誤差絕對值小於2mm。
4 結論
本文在FPGA、直接數字頻率合成(DDS)、自zi動dong數shu字zi鑒jian相xiang等deng技ji術shu的de基ji礎chu上shang,設she計ji並bing實shi現xian了le基ji於yu相xiang位wei法fa的de電dian路lu測ce量liang係xi統tong。實shi際ji測ce量liang結jie果guo表biao明ming,此ci測ce量liang係xi統tong在zai一yi定ding的de量liang程cheng範fan圍wei內nei,對dui光guang纖xian光guang程cheng的de測ce量liang誤wu差cha絕jue對dui值zhi小xiao於yu2mm。在zai此ci測ce量liang水shui平ping下xia,此ci測ce量liang係xi統tong可ke用yong於yu基ji於yu光guang纖xian的de激ji光guang測ce距ju校xiao正zheng與yu檢jian定ding中zhong,對dui其qi中zhong的de光guang纖xian基ji線xian進jin行xing測ce量liang和he標biao定ding,這zhe為wei光guang電dian測ce距ju儀yi和he全quan站zhan儀yi的de室shi內nei檢jian定ding提ti供gong了le一yi個ge可ke行xing的de方fang案an和he參can考kao。
本文所論述的相位法測量的電路實現是一個初步方案,在電路設計、係統優化和誤差分析等方麵還需要做進一步的改進,以提高係統性能。
- 相位式光纖測量電路係統的設計與實現
- 相位法測量的基本原理
- 利用相位法測量光纖光程
- 采用混頻的方法進行差頻鑒相
- 利用組合測尺頻率先後進行兩次測量
引言
光電測距儀和全站型電子速測儀(以下簡稱全站儀)zuoweiyizhongzaiduolingyuguangfanyingyongdejiliangyiqi,weibaozhengjingduhekekaoxing,bixuduiwuchajinxingdingqijiandinghexiaozheng。muqianzhezhongjiandingduozaishiwaibiaozhunjixianshangcaiyongduoduanjixianzuhebijiaofajinxing。danzhezhongfangfachengbenda,weihukunnan,qieyishouhuanjingyinsudeyingxiang,yinerguoneiwaiyizhizhiliyujianlishineijiandingzhuangzhi,yiqudaishiwaijixian,wanchengcejuyidejiandinghexiaozheng。
光guang纖xian作zuo為wei一yi種zhong光guang傳chuan輸shu介jie質zhi,以yi其qi良liang好hao的de導dao光guang性xing和he伸shen展zhan性xing,成cheng為wei激ji光guang測ce距ju室shi內nei校xiao正zheng的de理li想xiang選xuan擇ze,已yi有you文wen獻xian對dui其qi可ke行xing性xing進jin行xing了le分fen析xi。基ji於yu此ci,我wo們men研yan製zhi開kai發fa了le基ji於yu光guang纖xian的de激ji光guang測ce距ju校xiao正zheng係xi統tong。在zai該gai校xiao正zheng係xi統tong中zhong,利li用yong光guang纖xian模mo擬ni室shi外wai基ji線xian,使shi用yong全quan站zhan儀yi對dui光guang纖xian光guang程cheng進jin行xing測ce量liang,其qi測ce量liang結jie果guo和he光guang纖xian實shi際ji光guang程cheng進jin行xing比bi較jiao,從cong而er達da到dao檢jian定ding和he校xiao正zheng的de目mu的de。
為了得到被測光纖基線的實際光程,需要對光纖的光程長度進行精確測量。現有的光纖長度測量方法有光時域反射(OTDR)、光頻域反射(OFDR)、幹涉法、脈衝法,相位法等。其中相位法測量範圍較大、精度高,能夠很好地滿足光纖基線的測量要求。因而,我們利用FPGA、直接數字合成(DDS)、數(shu)字(zi)鑒(jian)相(xiang)等(deng)技(ji)術(shu),設(she)計(ji)和(he)實(shi)現(xian)了(le)基(ji)於(yu)相(xiang)位(wei)法(fa)的(de)電(dian)路(lu)測(ce)量(liang)係(xi)統(tong),用(yong)於(yu)光(guang)纖(xian)光(guang)程(cheng)的(de)測(ce)量(liang)。該(gai)測(ce)量(liang)係(xi)統(tong)具(ju)有(you)比(bi)全(quan)站(zhan)儀(yi)更(geng)高(gao)的(de)測(ce)量(liang)精(jing)度(du),從(cong)而(er)對(dui)光(guang)纖(xian)基(ji)線(xian)的(de)實(shi)際(ji)光(guang)程(cheng)進(jin)行(xing)標(biao)定(ding),以(yi)其(qi)標(biao)定(ding)長(chang)度(du)與(yu)全(quan)站(zhan)儀(yi)測(ce)量(liang)結(jie)果(guo)進(jin)行(xing)比(bi)較(jiao),完(wan)成(cheng)全(quan)站(zhan)儀(yi)的(de)校(xiao)正(zheng)。
1 相位法測量的基本原理
相位法激光測量技術利用光調製信號在發射端和接收端之間的相位差來實現對被測目標距離量或長度量的測量。
利用相位法測量光纖光程如圖1所示,一段光程為的光纖,其輸入輸出端分別為A、B,在A端輸入經調製的光信號,在光纖中傳輸後在B點輸出。設調製信號在A的相位為φ0,在B點的相位為φ1,那麼通過檢測兩端之間的相位差△φ=φ1-φ0,可得到L值。

設光調製信號的頻率為f,光速為v,則信號波長λ=v/f,那麼
調製信號可認為是相位法測量的度量標尺,稱之為“測尺”。測尺頻率越大,測量精度越高。由於測尺信號的周期重複性,使用一把測尺不能實現長度的準確測量。因而使用一組(兩個或以上)測尺一起對三進行測量,可同時保證測量的精度和範圍,得到準確測量值。
[page]
2 相位法測量的電路實現
2.1 電路實現方案
利用相位法對光纖光程進行測量的電路框圖如圖2所示。

主zhu振zhen信xin號hao通tong過guo調tiao製zhi器qi對dui光guang源yuan發fa出chu的de光guang進jin行xing調tiao製zhi,調tiao製zhi光guang在zai被bei測ce光guang纖xian中zhong傳chuan輸shu後hou由you光guang電dian轉zhuan換huan器qi得de到dao測ce量liang信xin號hao。原yuan主zhu振zhen信xin號hao作zuo為wei參can考kao信xin號hao與yu測ce量liang信xin號hao分fen別bie和he本ben振zhen信xin號hao進jin行xing混hun頻pin,然ran後hou經jing信xin號hao整zheng形xing後hou送song入ruFPGA進行鑒相得到兩者相位差,該相位差包含了被測光纖的長度信息。FPGA通過相位差計算得到光纖光程,然後通過USB接口發送到上位機PC,顯示給用戶。實際測量中,按照以上流程,依次產生兩組不同頻率的測量信號,實現對光纖光程的準確測量。
2.2 係統關鍵技術的實現
2.2.1 FPGA單元的實現
FPGA單元使用Altcra DE2開發板實現,構建SOPC係統,調用開發板中USB組件實現與上位機的數據交互,利用NIOS II處理器進行信息處理、指令解析和測量計算。
同時使用Verilog HDL語(yu)言(yan)編(bian)寫(xie)頻(pin)率(lv)信(xin)號(hao)控(kong)製(zhi)模(mo)塊(kuai)和(he)鑒(jian)相(xiang)模(mo)塊(kuai)。前(qian)者(zhe)用(yong)於(yu)對(dui)頻(pin)率(lv)信(xin)號(hao)產(chan)生(sheng)電(dian)路(lu)進(jin)行(xing)控(kong)製(zhi),後(hou)者(zhe)對(dui)測(ce)量(liang)後(hou)的(de)信(xin)號(hao)進(jin)行(xing)相(xiang)位(wei)差(cha)檢(jian)測(ce)。其(qi)實(shi)現(xian)框(kuang)圖(tu)如(ru)圖(tu)3所示。

2.2.2 頻率信號產生電路的實現
頻率信號產生電路在FPGAzhongpinlvkongzhimokuaidekongzhixia,chanshenggaojingduzhengxianzhuzhenxinhaohebenzhenxinhao,fenbieyongyuguangtiaozhihehunpin。cidianluchanshengdexinhaoyaoqiupinlvketiao,qiejuyougaodepinlvwendingxinghedidexiangweizaosheng,xiangweidoudongxiao,yibaozhengzuizhongdeceliangjingdu。
在本係統中,我們基於直接數字頻率合成(DDS)技術進行信號產生。DDS的實現,使用芯片AD9951。AD9951是一個可控的頻率合成芯片,具有32位頻率轉換字,最大合成頻率為160MHz。係統中采用兩塊AD9951,分別產生主振信號和本振信號。FPGA通過該芯片的控製端口,對其產生的信號頻率進行控製。其控製時序如圖4所示。


[page]
由you於yu測ce量liang信xin號hao頻pin率lv較jiao高gao,直zhi接jie對dui其qi進jin行xing鑒jian相xiang難nan以yi達da到dao良liang好hao的de鑒jian相xiang精jing度du,因yin而er在zai係xi統tong中zhong采cai用yong混hun頻pin的de方fang法fa進jin行xing差cha頻pin鑒jian相xiang。在zai差cha頻pin鑒jian相xiang中zhong,參can考kao信xin號hao和he測ce量liang信xin號hao同tong時shi與yu本ben振zhen信xin號hao進jin行xing混hun頻pin,濾lv除chu混hun頻pin後hou高gao頻pin分fen量liang,得de到dao混hun頻pin後hou低di頻pin參can考kao信xin號hao和he混hun頻pin後hou低di頻pin測ce量liang信xin號hao。混hun頻pin降jiang低di了le信xin號hao頻pin率lv,但dan保bao持chi相xiang位wei差cha不bu變bian,便bian於yu鑒jian相xiang操cao作zuo。相xiang位wei差cha的de檢jian測ce使shi用yong自zi動dong數shu字zi鑒jian相xiang法fa。其qi原yuan理li如ru圖tu7suoshi。cankaoxinhaoheceliangxinhaotongguoguolingbijiao,dedaocankaofangboxinhaoheceliangfangboxinhao。bijiaoliangfangboxinhao,dedaoliangzhezhijiandexiangweichaxinhao,ranhoushiyonggaopinjishumaichongduixiangweichaxinhao,ranhoushiyonggaopinjishumaichongduixiangweichaxinhaojinxingjishu。shecankaoxinhaoheceliangxinhaodezhouqiweif,高頻計數脈衝的頻率為fc,一個周期內的計數值為M,則相位差為:△φ=2πMf /fc。為了減小偶然誤差,提高鑒相精度,可以對多個周期計數求平均。設N個周期的計數值為M'',則△φ=2πM''f/Nfc。

混頻電路的實現基於混頻器AD831。使用兩片AD831,分別用於參考信號與本振信號混頻及測量信號與本振信號混頻。混頻後使用芯片MAX274進行帶通濾波,得到混頻後的低頻正弦信號。然後通過基於MAX912的過零比較電路將正弦信號轉換為同相位差的方波信號,輸入到FPGA中進行鑒相。在FPGA中,利用多周期自動數字鑒相法,對相位差進行檢測。其實現框圖如圖8所示。

在實際測量中,利用組合測尺頻率先後進行兩次測量。第一次取主振信號頻率為52MHz,本振信號頻率為51.99MHz;第二次取主振信號頻率為51MHz,本振信號頻率為50.99MHz。對應於混頻後信號頻率為10kHz。FPGA中鑒相高速計數脈衝頻率為50MHz。基(ji)於(yu)以(yi)上(shang)參(can)數(shu),對(dui)多(duo)段(duan)光(guang)纖(xian)進(jin)行(xing)測(ce)量(liang)。兩(liang)次(ci)測(ce)量(liang)的(de)結(jie)果(guo)進(jin)行(xing)分(fen)析(xi)比(bi)較(jiao),可(ke)得(de)到(dao)測(ce)量(liang)值(zhi)。被(bei)測(ce)光(guang)纖(xian)的(de)實(shi)際(ji)光(guang)程(cheng)已(yi)由(you)精(jing)密(mi)反(fan)射(she)儀(yi)通(tong)過(guo)光(guang)學(xue)方(fang)法(fa)進(jin)行(xing)標(biao)定(ding)。測(ce)量(liang)結(jie)果(guo)如(ru)表(biao)1所示。

由以上測量結果可以看到,在一定的量程範圍內,基於相位法的測量係統,對光纖光程的測量誤差絕對值小於2mm。
4 結論
本文在FPGA、直接數字頻率合成(DDS)、自zi動dong數shu字zi鑒jian相xiang等deng技ji術shu的de基ji礎chu上shang,設she計ji並bing實shi現xian了le基ji於yu相xiang位wei法fa的de電dian路lu測ce量liang係xi統tong。實shi際ji測ce量liang結jie果guo表biao明ming,此ci測ce量liang係xi統tong在zai一yi定ding的de量liang程cheng範fan圍wei內nei,對dui光guang纖xian光guang程cheng的de測ce量liang誤wu差cha絕jue對dui值zhi小xiao於yu2mm。在zai此ci測ce量liang水shui平ping下xia,此ci測ce量liang係xi統tong可ke用yong於yu基ji於yu光guang纖xian的de激ji光guang測ce距ju校xiao正zheng與yu檢jian定ding中zhong,對dui其qi中zhong的de光guang纖xian基ji線xian進jin行xing測ce量liang和he標biao定ding,這zhe為wei光guang電dian測ce距ju儀yi和he全quan站zhan儀yi的de室shi內nei檢jian定ding提ti供gong了le一yi個ge可ke行xing的de方fang案an和he參can考kao。
本文所論述的相位法測量的電路實現是一個初步方案,在電路設計、係統優化和誤差分析等方麵還需要做進一步的改進,以提高係統性能。
特別推薦
- 噪聲中提取真值!瑞盟科技推出MSA2240電流檢測芯片賦能多元高端測量場景
- 10MHz高頻運行!氮矽科技發布集成驅動GaN芯片,助力電源能效再攀新高
- 失真度僅0.002%!力芯微推出超低內阻、超低失真4PST模擬開關
- 一“芯”雙電!聖邦微電子發布雙輸出電源芯片,簡化AFE與音頻設計
- 一機適配萬端:金升陽推出1200W可編程電源,賦能高端裝備製造
技術文章更多>>
- 貿澤EIT係列新一期,探索AI如何重塑日常科技與用戶體驗
- 算力爆發遇上電源革新,大聯大世平集團攜手晶豐明源線上研討會解鎖應用落地
- 創新不止,創芯不已:第六屆ICDIA創芯展8月南京盛大啟幕!
- AI時代,為什麼存儲基礎設施的可靠性決定數據中心的經濟效益
- 築基AI4S:摩爾線程全功能GPU加速中國生命科學自主生態
技術白皮書下載更多>>
- 車規與基於V2X的車輛協同主動避撞技術展望
- 數字隔離助力新能源汽車安全隔離的新挑戰
- 汽車模塊拋負載的解決方案
- 車用連接器的安全創新應用
- Melexis Actuators Business Unit
- Position / Current Sensors - Triaxis Hall
熱門搜索





