多晶矽量子效應及其對MOSFET閾值電壓的影響
發布時間:2009-01-17 來源:安徽大學電子科學與技術學院
中心議題:
- 通過電荷分布曲線近似的解析方法,計算了多晶矽量子效應對閾值電壓的影響
解決方案:
- 計算了在不同摻雜濃度下多晶矽量子效應所引起的MOSFET閾值電壓的偏移
隨著微電子工業的發展,器件的特征尺寸已經發展到了納米量級[1],並且將向著溝道長度為10 nm的方向發展。在這種器件中,為了抑製短溝道效應、DIBL效應,體矽通常采用高摻雜,此時由於器件的尺寸很小,量子效應對器件特性的影響已經不容忽視。自20世紀70年代以來,對量子效應的研究已得到廣泛的關注,主要是通過數值模擬或解析近似的方法,對體矽從積累到反型時的量子效應進行計算[2-7]。而大多認為在多晶矽中,能量彎曲很小,沒有明顯量子效應,用經典的方法可對多晶矽進行描述[7-9]。已有的對多晶矽量子效應的研究也是基於多晶矽/二氧化矽/體矽的全量子模型的數值模擬計算[10]。本文通過電荷分布曲線近似的解析方法,計算了多晶矽量子效應對閾值電壓的影響。
1 多晶矽量子效應
在通常的MOSFETzhong,suizhewaijiadianyadegaibian,gaochanzadeduojingguicongjileidaohaojinzhuanbian,duojingguizhongnengdaiwanqudebuda,beirenweibuhuixingchengshendeliangzijing。yizhiyilai,duojingguizhongzailiuzidefenbudaduoyongjingdiandefangfajinxingmiaoshu,erzaitiguigoudaozhongyongjingdianhuoliangzimoxingjinxingmiaoshu。yanjiubiaomingzaiduojinggui/二氧化矽界麵[10],由於能帶突變,對多數載流子的波函數會產生影響。量子效應下,電荷被推離界麵,從而形成大概幾個納米的“dark space”耗盡層。與經典的電荷分布不同,當經典的耗盡寬度小於或與“dark space”的寬度相近的時候,需要用量子的定義。為簡單起見,本文以N型多晶矽NMOS結構為例。

圖1 量子效應下載流子和經典情況 下多晶矽中載流子的分布對比
圖1給出了不同的柵壓下考慮多晶矽量子效應時多晶矽中載流子的分布和經典下載流子的分布,圖中CL為經典描述下載流子分布,QM為考慮量子效應下載流子的分布。體原封不動摻雜為1018 cm−3,多晶矽摻雜為1020 cm−3。當(dang)所(suo)加(jia)電(dian)壓(ya)為(wei)負(fu)電(dian)壓(ya)和(he)柵(zha)壓(ya)為(wei)閾(yu)值(zhi)電(dian)壓(ya)時(shi),量(liang)子(zi)效(xiao)應(ying)下(xia)的(de)載(zai)流(liu)子(zi)分(fen)布(bu)與(yu)經(jing)典(dian)的(de)情(qing)況(kuang)有(you)很(hen)大(da)的(de)差(cha)別(bie),而(er)加(jia)的(de)正(zheng)電(dian)壓(ya)很(hen)大(da)時(shi),量(liang)子(zi)情(qing)況(kuang)與(yu)經(jing)典(dian)情(qing)況(kuang)沒(mei)有(you)很(hen)明(ming)顯(xian)的(de)差(cha)別(bie)。這(zhe)是(shi)由(you)於(yu)在(zai)外(wai)加(jia)電(dian)壓(ya)為(wei)負(fu)時(shi),能(neng)帶(dai)的(de)突(tu)然(ran)變(bian)化(hua)對(dui)電(dian)子(zi)波(bo)函(han)數(shu)有(you)顯(xian)著(zhu)影(ying)響(xiang);而外加電壓為正的時候,對電子波函數影響很小。
本文采用電子分布曲線擬合近似,設多晶矽/二氧化矽界麵處為0=x點,向上為正,峰值處的點的坐標為,分別用以下分布來近似上升和下降階段的載流子分布:
(1)
(2)
式中
為多晶矽中的摻雜濃度;
是電子的擴散長度,它是多晶矽中摻雜濃度的函數,很快就能計算出;
為峰值處的電子濃度比平衡時多出的部分。令:
(3)
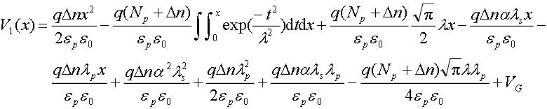
通過在不同的柵壓時βαγ,取不同的擬合值,能較好地近似體矽從積累到反型的各種情況下載流子的分布。同時所取的βαγ,必須滿足電中性條件:
(4)
即
(5)
式中Qsq為考慮量子效應時體矽的麵電荷密度。

圖2 電子分布的數值模擬與近似分布曲線
圖2給出了摻雜濃度為1020 cm−3,duiyingzhayaweiyuzhidianyashidejinsiquxianyushuzhimonifenbuquxiandeduibi,faxianjinsiquxianhemonifenbuquxianzaisuoyanjiudequjianshangnenghenhaodifuhe,shuomingjinsifangfajuyouhenhaodezhunquexing。lingwaigenjuliangzijisuan,dianzifenbudefengzhikeyongdianzidediyigebohanshudediyigefengzhichujinsijisuan:

式中 ,![]()
為電子能量,
為多晶矽/二氧化矽界麵相對於柵表麵的電勢差。
[page]
2 對閾值電壓的影響
在多晶矽中的泊鬆方程為
(7)
由式(1)、(2)可得,電子濃度分布下多晶矽中的泊鬆方程為:
(8)(9)
式中 當邊界條件在∞→x時,
。求解得到多晶矽柵上的電場及電勢分布為:
(10)
(11)
(12)
(13)
則
(14)
由於
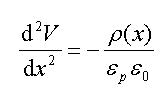
為多晶矽/二氧化矽界麵處的電勢與柵上所加電壓的差,則多晶矽柵上的壓降
。則考慮多晶矽量子效應的
小於不考慮多晶矽量子效應時的
時,即導致閾值電壓的減小。不考慮多晶矽量子效應(多晶矽用耗盡模型)時,多晶矽柵上的壓降)
(15)

圖3是柵壓為閾值電壓時的多晶矽中電場和電壓分布,圖中體矽摻雜為
,多晶矽摻雜為
,二氧化矽厚度為5 nm。可ke以yi看kan到dao考kao慮lv多duo晶jing矽gui量liang子zi效xiao應ying時shi氧yang化hua層ceng電dian場chang比bi不bu考kao慮lv多duo晶jing矽gui量liang子zi效xiao應ying時shi大da,這zhe是shi由you於yu偶ou極ji子zi的de產chan生sheng使shi電dian場chang發fa生sheng扭niu曲qu,增zeng加jia了le氧yang化hua層ceng中zhong的de電dian場chang,使shi得de在zai體ti矽gui中zhong的de載zai流liu子zi增zeng加jia,也ye就jiu意yi味wei著zhe多duo晶jing矽gui量liang子zi效xiao應ying會hui導dao致zhi閾yu值zhi電dian壓ya的de減jian小xiao。
通過曲線近似,能定出不同摻雜濃度下的γβα,代入式(14)可以得到即為多晶矽上的電壓降。

圖4 不同摻雜濃度下考慮多晶矽量子效應與不考慮多晶矽量子效應時多晶矽柵上壓降之差
圖4給出了不同的多晶矽摻雜下,考慮多晶矽量子效應相對於隻考慮體矽量子效應時MOSFET閾值電壓偏移的數值模擬結果與本文的模型結果。圖中體矽摻雜濃度為
,二氧化矽層厚度為3 nm,可以看到隨著多晶矽摻雜濃度的增加,多晶矽量子效應對MOSFET閾值電壓的影響增大,而且變化很快,在摻雜低時候基本可以忽略,而在多晶矽摻雜濃度高時則不能忽略。但在小尺寸MOSFET中,多晶矽摻雜都很高,通常在
量級,此時量子效應不能忽視。同時可看到,通過與數值模擬結果[10]比較,本文模型具有很好的準確性。
基金項目:國家自然科學基金資助項目(60276042); 安徽省自然科學基金資助項目(01044104)
作者簡介:孫家訛(1983 – ),男,碩士生,主要從事微電子學方麵的研究.
- 噪聲中提取真值!瑞盟科技推出MSA2240電流檢測芯片賦能多元高端測量場景
- 10MHz高頻運行!氮矽科技發布集成驅動GaN芯片,助力電源能效再攀新高
- 失真度僅0.002%!力芯微推出超低內阻、超低失真4PST模擬開關
- 一“芯”雙電!聖邦微電子發布雙輸出電源芯片,簡化AFE與音頻設計
- 一機適配萬端:金升陽推出1200W可編程電源,賦能高端裝備製造
- 貿澤EIT係列新一期,探索AI如何重塑日常科技與用戶體驗
- 算力爆發遇上電源革新,大聯大世平集團攜手晶豐明源線上研討會解鎖應用落地
- 創新不止,創芯不已:第六屆ICDIA創芯展8月南京盛大啟幕!
- AI時代,為什麼存儲基礎設施的可靠性決定數據中心的經濟效益
- 矽典微ONELAB開發係列:為毫米波算法開發者打造的全棧工具鏈
- 車規與基於V2X的車輛協同主動避撞技術展望
- 數字隔離助力新能源汽車安全隔離的新挑戰
- 汽車模塊拋負載的解決方案
- 車用連接器的安全創新應用
- Melexis Actuators Business Unit
- Position / Current Sensors - Triaxis Hall




