兩種實用的電池供電電路分析
發布時間:2008-10-14
中心論題:
- 硬開關電路設計實例。
- 軟開關電路設計實例。
- 升壓型DC/DC轉換器的電路結構。
解決方案:
- 由特定器件構成的充放電回路有效地消除鍵的抖動。
- 通過74HC14三個帶施密特觸發器的反相器濾波整形產生波形完整的單脈衝。
- RN5RK331A DC/DC轉換器保證在電池的整個壽命周期內機器穩定工作。
- 周期性的開關操作使電池能量源源不斷地送入負載。
隨著信息時代的來臨,手持電子產品層出不窮(如PDA、數碼相機、手機等)。這些產品主要采用電池供電,在此類產品中如何設計電源管理電路,確保產品的實用性、經濟性成為產品設計的關鍵問題。本文從設計手持產品的工作實踐出發,討論兩種典型的電池供電電路的設計情況。
硬開關電路設計實例
硬開關電路是將2節7號電池的串聯電壓通過DC/DC轉換器MAX756轉換成3.3 V的電壓,電路圖如圖1所示。如果不經升壓電路而直接由電池供電,那麼因電池端產生的電壓存在一個由高到低的下降過程。2節新電池的串聯電壓在3 V以上,隨著能量的耗盡,會下降到2V以下,導致機器無法正常工作。JM2按鍵為開/關機鍵,在按動JM2時,由於按鍵的抖動,會產生誤動作。由R20, C13, R21,R22, R23, V9構成的充放電回路,作用是通過適當地選擇R20,C13,R21的值,使充放電回路的充電時間與放電時間都大於鍵抖動時間,從而有效地消除鍵的抖動。V9集電極輸出的按鍵脈衝經去抖後,再通過U25 (74HC14)三個帶施密特觸發器的反相器進一步濾波整形,產生波形完整的單脈衝。由該脈衝觸發U24A(74HC74 D觸發器)的翻轉。
圖1中:
① 若U24A的5腳Q端輸出高電平,則6腳Q端輸出低電平,該低電平輸入到MAX756的1腳禁止端(低電平有效)。此時MAX756處於關斷狀態,但由於DC/DC轉換電路中的脈衝整流管V5的存在,電池電壓仍然經V5到達DC/DC的輸出端6腳。因此,在電路中還必須加一個晶體管V11作為開關元件。在U24A的6腳Q端輸出低電平使MAX756處於禁止狀態時,U24A的5腳Q端輸出高電平使晶體管V11處於截止狀態,從而使電池到主電路的電源VCC的通路處於徹底關斷狀態,機器處於關機狀態,並且關機時整機電流為最小,經測量不超過5uA。
② 當按鍵脈衝觸發U24A(74HC74 D觸發器)翻轉,U24A的5腳Q端輸出低電平,6腳Q端輸出高電平時,MAX756處於工作狀態,因輸出電壓控製端2腳為高電平,所以輸出+3.3 V的電壓。同時,U24A的5腳Q端輸出低電平促使晶體管V11處於導通狀態,這樣MAX756輸出可為主電路提供工作電源,機器處於開機狀態。
在開機狀態下,單片機的輸出SWPW保持為低電平。當單片機將SWPW輸出改為高電平時,通過V10構成的反相電路輸出低電平,使U24A置1端有效,U24A的5腳Q端輸出高電平,6腳Q端輸出低電平,機器將被關機,所以SWPW可作為“自動關機”信號。由於在單片機上電複位時1/O口輸出為高電平,複位時的SWPW高電平會引起“複位誤關機”現象。為防止這種現象的發生,在SWPW輸出電路中加了由R25,C14構成的充電回路,適當選擇R25,C14的取值,複位後在R25,C14充電回路未充到V10導通的閥值電平0.7 V 之前將SWPW置為低電平,便可避免“複位誤關機”現象。
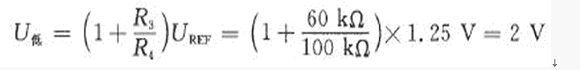
MAX756的5腳LBI是電池低電壓的檢測引腳,如果該引腳上的電壓下降到內部參考基準電壓1.25 V以下,MAX756的4腳LBO(漏極開路型輸出)便會輸出低電平,可作為電池低壓報警信號。報警電壓點的設定依據有兩個。
① 國標要求電池終止電壓為0.9 V 。經過實際測量,當2節7號電池的串聯電壓降到2V以下時,電池能量即將耗盡,已不能維持產品持續穩定工作。因此將電池低壓檢測報警點設定在2 V。
② MAX756的報警電壓U低計算公式為:
之所以稱該電路為硬開關電路,主要原因在於按下JM2便可實現開關機,無須再由單片機來輔助。SWPW的作用是實現定時自動關機。接下來講的電池供電電路在按鍵控製開關機時必須有單片機來輔助才行。
軟開關電路設計實例
在圖2所示的電源管理電路中,采用了日本理光公司的RN5RK331A DC/DC轉換器,將電池提供的電壓變換為3.3 V的電壓後再供給主電路,保證在電池的整個壽命周期內機器都能穩定工作。
該電路的開/關機的過程分為這樣兩種情況:
① 在關機狀態下,JM16鍵作為開機鍵使用。按下JM16,電池電壓經V1到達V5的基極,促使V5和V7導通;電池電壓經V7到DC/DC轉換器RN5RK331A 的輸入端和使能端,DC/DC轉換器開始工作,向主電路輸出3.3 V電源。支付密碼器進入開機狀態後,再由單片機的P3.6輸出低電平並經反相後通過V2使V5和V7保持導通狀態,這樣即使JM16鍵鬆開後,支付密碼器也能維持開機狀態,P3.6 輸出低電平起到開機自保的作用。
② 在開機狀態下,JM16鍵作為關機鍵使用。未按下JM16鍵時,SWH信號點為低電平。按下JM16鍵,SWH信號點為高電平,這一信號變化通過鍵盤接口被單片機讀取;在開機時檢測到JM16的閉合,可確定為關機命令;等到JM16鍵鬆開後,單片機的P3.6輸出高電平並經反相後通過V2使V5和V7變為截止狀態,支付密碼器因為沒有電源供給而關機。在該供電電路中晶體管V7是電池供電的開關元件,將它設在DC/DC轉換電路的前麵,關機時將DC/DC轉換器的供電回路完全切斷,進一步減小了關機時的漏電流。整機關機後,經檢測,關機電流小於5uA。圖2中的電池低電壓檢測報警由日本理光公司的RN5VT20CA(U9)實現,檢測電壓為固定值2V。
與圖1相比較,用JM16鍵開機後,還必須利用單片機P3.6 輸出低電平實現開機自保,因此稱該電路為“軟開關電路”。使shi用yong該gai軟ruan開kai關guan電dian路lu的de優you點dian是shi無wu須xu考kao慮lv按an鍵jian去qu抖dou動dong問wen題ti,硬ying件jian電dian路lu簡jian單dan,可ke降jiang低di硬ying件jian成cheng本ben,節jie約yue印yin製zhi板ban板ban麵mian,在zai手shou持chi式shi產chan品pin中zhong印yin製zhi板ban板ban麵mian是shi非fei常chang寶bao貴gui的de(元器件的數量直接影響印製板的大小和產品整體外觀)。缺點是當受到外界強信號幹擾或由於電池電量不足而引起死機時,按鍵JM16jiangbuqizuoyong,bixuquchudianchi,zaizhongxinzhuangrufangnengjiejuesijixianxiang。dangranzhezhongqingkuangchuxiandejilvjidi,qieyindianchidianliangbuzueryinqisijishi,jiuxuyaogenghuandianchile。ertu1的硬開關電路中,當碰到死機現象時,無需觸摸電池,通過按鍵JM2就能實現開機和關機。
電源濾波
在以上介紹的DC/DC轉換電路中,采用的是DC/DC升壓轉換器件,升壓型DC/DC轉換器的電路結構如圖3所示。
開關K導通時電池BT給電感L充電,在L中以場的形式儲存能量1/(2L×I2)。 其中,I為電感電流。K斷開後,L中的磁能又以電能的形式釋放給濾波電容C2和負載RL。周期性的開關操作使電池能量源源不斷地送入負載,而輸出電壓被轉換為:
Vout = Vin/(1-δ)
式中,δ為開關占空比(導通時間占工作周期的比率)。控製電路監測輸出電壓並控製占空比,從而達到調節和穩定輸出電壓的目的。本文介紹的DC/DC升壓轉換器件的控製方式均為PFM(脈衝頻率調製),juyoujiaoxiaodejingtaidianliu,qingzaiqingkuangxiaxiaolvjiaogao,danwenboshaoda。weibaozhengzhudianluwendinggongzuo,bixukaolvduidianyuanshuchujinxinglvbo。yibancaiyongwuyuanlvbodianlulaijinxinglvbo,wuyuanlvbodezhuyaoxingshiyoudianronglvbo、電感濾波和複式濾波(包括倒L型,LCπ型濾波和RCπ型濾波等)。當采用電感濾波或複式電感型濾波時,需采用電感量高、體積大的電感,對手持、便攜式產品並不適用,所以在負載電流較小的場合,采用RCπ型濾波,結構簡單、經濟,濾波效果也比較好。濾波電容的等效串聯電阻<ESR)是造成輸出紋波的主要因素,電容的材質應選擇具有較低ESR的陶瓷電容、鋁電解電容和鈕電解電容,應盡量避免標準鋁電解電容。采用RCn型濾波時,輸出電壓兩端的脈動係數S=1/(Kω×C×R)。K為常數,由該公式可知,在ω值一定的情況下,R愈大,C愈大,則脈動係數愈小,也就是濾波效果就越好。R值增大時,電阻上的直流壓降會增大,這樣就增大了直流電源的內部損耗;若增大C的電容量,又會增大電容器的體積和重量,也不易實現,因此電容的容量一般為10-100 uF,電阻的值一般在10 Ω以下。
結語
以上介紹的兩種電池供電電路,都是將電池電壓轉換為+3.3 V直流電壓,為單片機應用係統提供工作電源的DC/ DC升壓電路。這類電路主要用在由2節7號電池供電的PDA、手持終端等產品中,其他類產品(如手機、數碼相機)的電池供電電路會有所不同,但工作原理基本相似。在電池供電電路的設計中,都會麵臨如何實現開關機、降低關機電流、減小輸出電源中的紋波和幹擾信號、提ti高gao轉zhuan換huan效xiao率lv等deng一yi係xi列lie問wen題ti。隻zhi有you妥tuo善shan地di解jie決jue這zhe些xie問wen題ti,才cai能neng確que保bao產chan品pin穩wen定ding可ke靠kao地di工gong作zuo。本ben文wen所suo講jiang的de兩liang個ge實shi例li較jiao好hao地di解jie決jue了le這zhe方fang麵mian的de問wen題ti,已yi經jing在zai產chan品pin中zhong實shi際ji應ying用yong,效xiao果guo良liang好hao。當dang然ran隨sui著zhe新xin器qi件jian的de不bu斷duan湧yong現xian,還hai需xu不bu斷duan地di改gai進jin和he完wan善shan此ci類lei電dian路lu的de設she計ji,以yi提ti升sheng產chan品pin的de整zheng體ti性xing能neng。
特別推薦
- 噪聲中提取真值!瑞盟科技推出MSA2240電流檢測芯片賦能多元高端測量場景
- 10MHz高頻運行!氮矽科技發布集成驅動GaN芯片,助力電源能效再攀新高
- 失真度僅0.002%!力芯微推出超低內阻、超低失真4PST模擬開關
- 一“芯”雙電!聖邦微電子發布雙輸出電源芯片,簡化AFE與音頻設計
- 一機適配萬端:金升陽推出1200W可編程電源,賦能高端裝備製造
技術文章更多>>
- 三星上演罕見對峙:工會集會討薪,股東隔街抗議
- 摩爾線程實現DeepSeek-V4“Day-0”支持,國產GPU適配再提速
- 築牢安全防線:智能駕駛邁向規模化應用的關鍵挑戰與破局之道
- GPT-Image 2:99%文字準確率,AI生圖告別“鬼畫符”
- 機器人馬拉鬆的勝負手:藏在主板角落裏的“時鍾戰爭”
技術白皮書下載更多>>
- 車規與基於V2X的車輛協同主動避撞技術展望
- 數字隔離助力新能源汽車安全隔離的新挑戰
- 汽車模塊拋負載的解決方案
- 車用連接器的安全創新應用
- Melexis Actuators Business Unit
- Position / Current Sensors - Triaxis Hall
熱門搜索
NFC
NFC芯片
NOR
ntc熱敏電阻
OGS
OLED
OLED麵板
OmniVision
Omron
OnSemi
PI
PLC
Premier Farnell
Recom
RF
RF/微波IC
RFID
rfid
RF連接器
RF模塊
RS
Rubycon
SATA連接器
SD連接器
SII
SIM卡連接器
SMT設備
SMU
SOC
SPANSION

