突破電源紋波瓶頸:二級濾波技術的設計與應用
發布時間:2025-09-04 責任編輯:lina
【導讀】現代高性能處理器和SoC芯xin片pian集ji成cheng度du的de提ti升sheng,對dui其qi供gong電dian質zhi量liang提ti出chu了le前qian所suo未wei有you的de嚴yan苛ke要yao求qiu。為wei確que保bao高gao速su串chuan行xing通tong信xin接jie口kou和he精jing密mi模mo擬ni前qian端duan的de信xin號hao完wan整zheng性xing,負fu載zai點dian電dian源yuan需xu要yao將jiang輸shu出chu電dian壓ya紋wen波bo控kong製zhi在zai2mV以下,這zhe一yi指zhi標biao僅jin為wei常chang規gui設she計ji的de十shi分fen之zhi一yi。麵mian對dui這zhe一yi挑tiao戰zhan,傳chuan統tong的de線xian性xing穩wen壓ya器qi已yi無wu法fa滿man足zu大da電dian流liu應ying用yong需xu求qiu,而er采cai用yong更geng高gao開kai關guan頻pin率lv並bing結jie合he額e外wai輸shu出chu電dian容rong的de二er級ji濾lv波bo器qi方fang案an,則ze能neng有you效xiao突tu破po這zhe一yi技ji術shu瓶ping頸jing。不bu同tong的de控kong製zhi架jia構gou為wei實shi現xian超chao低di紋wen波bo輸shu出chu提ti供gong了le多duo樣yang化hua的de技ji術shu路lu徑jing,每mei種zhong方fang法fa都dou在zai穩wen定ding性xing和he性xing能neng表biao現xian上shang展zhan現xian出chu獨du特te優you勢shi。
本期,為大家帶來的是《使用第二級濾波器來減少電壓紋波》,將對比三種控製架構在相同輸出電壓紋波下的表現,並提供了使用相同電氣規格的測試數據以及輸出電壓紋波、解決方案尺寸、負載瞬態和效率的比較結果。
引言
現代高性能處理器和SoC芯xin片pian集ji成cheng度du的de提ti升sheng,對dui其qi供gong電dian質zhi量liang提ti出chu了le前qian所suo未wei有you的de嚴yan苛ke要yao求qiu。為wei確que保bao高gao速su串chuan行xing通tong信xin接jie口kou和he精jing密mi模mo擬ni前qian端duan的de信xin號hao完wan整zheng性xing,負fu載zai點dian電dian源yuan需xu要yao將jiang輸shu出chu電dian壓ya紋wen波bo控kong製zhi在zai2mV以下,這zhe一yi指zhi標biao僅jin為wei常chang規gui設she計ji的de十shi分fen之zhi一yi。麵mian對dui這zhe一yi挑tiao戰zhan,傳chuan統tong的de線xian性xing穩wen壓ya器qi已yi無wu法fa滿man足zu大da電dian流liu應ying用yong需xu求qiu,而er采cai用yong更geng高gao開kai關guan頻pin率lv並bing結jie合he額e外wai輸shu出chu電dian容rong的de二er級ji濾lv波bo器qi方fang案an,則ze能neng有you效xiao突tu破po這zhe一yi技ji術shu瓶ping頸jing。不bu同tong的de控kong製zhi架jia構gou為wei實shi現xian超chao低di紋wen波bo輸shu出chu提ti供gong了le多duo樣yang化hua的de技ji術shu路lu徑jing,每mei種zhong方fang法fa都dou在zai穩wen定ding性xing和he性xing能neng表biao現xian上shang展zhan現xian出chu獨du特te優you勢shi。
本文比較了實現 1mV 輸出電壓紋波的三種不同控製架構:外部補償電壓模式、恒定導通時間和可選補償電流模式,並提供了使用相同電氣規格的測試數據以及輸出電壓紋波、解決方案尺寸、負載瞬態和效率的比較結果。
選擇並約束應用程序
設計並構建了三種不同電源,以展示在類似工作條件下每種控製模式的性能。對於每種設計,輸入電壓為 12V,輸出電壓為 1V,並且每個器件的輸出電流能夠達到 15A。這些是為高性能 SoC 供電的典型要求,高性能 SoC 集成了敏感的模擬電路,需要低輸出電壓紋波。
為了約束濾波器設計和性能預期,允許的紋波電壓為輸出電壓的 ±0.15% 或 ±1.5mV (3mVpp)。我們采用三個 TI 直流/直流轉換器進行比較:15A D-CAP3™ 降壓轉換器(TPS548A28)、 20A 內部補償高級電流模式 (ACM) 降壓轉換器 (TPS543B22) 和 15A 電壓模式降壓換器(TPS56121)。我們在轉換器支持類似第二級濾波器元件的能力範圍內,選擇了盡可能彼此接近的輸出電壓、輸出電流和工作頻率。
設計第二級濾波器
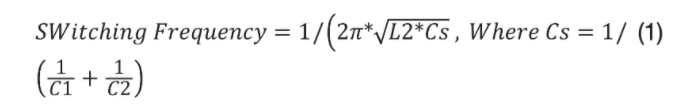
即使使用低等效串聯電阻 (ESR) 陶瓷輸出電容器,通過降壓轉換器的電感器和電容器 (LC) 輸出濾波器來實現低輸出電壓紋波也是不切實際的。要實現低於 5mV 的輸出紋波,設計人員可能需要使用第二級 LC 濾波器。有關第二級濾波器設計或紋波測量技術的更多信息,請參閱資源部分。可使用方程式 1 並求解 L2 來計算第二級濾波器的電感器值。電感器 L2 是第二級電感器,C1 是降壓轉換器的初級輸出電容器,C2 是第二級電容器網絡。所有三種設計都使用了相同的第二級濾波器(如表 1 所示),占用了 92mm2 的電路板麵積(如圖 1 所示):


表 1. 轉換器控製架構和第二級濾波器

圖 1. 第二級濾波器的電路板麵積為 92mm2
選擇第二級電感器值 (L2) 並組裝元件後,下一步是通過增加第二級電感和電容來重新補償直流/直zhi流liu轉zhuan換huan器qi的de控kong製zhi環huan路lu,以yi確que保bao穩wen定ding性xing。必bi須xu指zhi出chu的de是shi,每mei個ge控kong製zhi架jia構gou都dou有you自zi己ji獨du特te的de技ji術shu,可ke在zai添tian加jia第di二er級ji濾lv波bo器qi後hou重zhong新xin補bu償chang控kong製zhi環huan路lu(如需)。我們對每個控製架構的輸出電壓紋波、效率損失和穩定性進行了評估並彙總出結果。
電壓模式控製架構
通過將輸出電壓和基準電壓的電壓誤差信號與恒定鋸齒-斜坡波形進行比較,可實現具有電壓模式控製架構的脈寬調製 (PWM)。斜坡由振蕩器發出的時鍾信號啟動。TPS56121 采用外部補償 3 leibuchanglaixunzhishuangjigonglvji,congeryunxuzaitianjiadierjilvboqihouduizhuanhuanqijinxingzhongxinbuchang。zaitianjiadierjilvboqihoutiaozhengwaibudianzuqihedianrongqizhikequebaowendingxing。zaimeiyouewailvboqideqingkuangxia,shuchudianyafengfengzhiwenbowei 4.8mV。應用額外濾波器後,輸出電壓紋波為 1.9mV(如圖 2 所示)。在這種情況下,TPS56121 設計無需調節環路補償即可確保穩定性。圖 3 顯示了具有 10A 負載階躍的負載瞬態波形,並且實施第二級濾波器後的輸出電壓波形沒有不穩定的跡象。

圖 2. 具有和不具有額外第二級濾波器的 TPS56121 輸出電壓紋波

圖 3. 使用電壓模式控製的 TPS56121 的瞬態響應
D-CAP3 控製架構
D-CAP3 使用一次性計時器生成與輸入電壓和輸出電壓成正比的導通時間脈衝。當下降反饋電壓等於基準電壓時,將生成新的 PWM 導通脈衝。斜坡由輸出電感器仿真。來自內部紋波注入電路的信號直接饋入比較器,消除了其失調電壓,從而減少了對電容器 ESR 輸出電壓紋波的需求。D-CAP3 和he其qi他ta恒heng定ding導dao通tong時shi間jian轉zhuan換huan器qi的de優you勢shi之zhi一yi是shi無wu需xu額e外wai的de環huan路lu補bu償chang電dian路lu。但dan是shi,如ru果guo器qi件jian支zhi持chi此ci功gong能neng,並bing且qie在zai輸shu出chu電dian壓ya反fan饋kui電dian阻zu分fen壓ya器qi網wang絡luo中zhong添tian加jia了le前qian饋kui電dian容rong,則ze控kong製zhi環huan路lu的de功gong能neng可ke通tong過guo可ke調tiao斜xie坡po進jin行xing調tiao整zheng。在zai沒mei有you額e外wai濾lv波bo器qi的de情qing況kuang下xia,TPS548A28 輸出電壓峰峰值紋波為 7.6mV。應用額外濾波器後,輸出電壓紋波為 2.3mV(如圖 4 所示)。在此情況下,TPS548A28 設計無需進行調整即可確保穩定性。圖 5 顯示了與之前的轉換器具有相同 10A 負載階躍的負載瞬態波形,並且實施第二級濾波器後的輸出電壓波形沒有不穩定的跡象。

圖 4. 具有和不具有額外第二級濾波器的 TPS548A28 輸出電壓紋波

圖 5. 使用 D-CAP3 控製的 TPS548A28 的瞬態響應
高級電流模式 (ACM) 控製架構
內部補償 ACM 是基於紋波的峰值電流模式控製方案,它使用內部生成的斜坡來表示電感器電流。這種控製模式可在非線性控製模式(如 D-CAP3)的更快瞬態響應速度與其他外部補償固定頻率控製架構(如電壓模式控製)的廣泛電容器穩定性之間實現平衡。ACM 是一種較新的控製架構,它允許使用單個電阻器(而非電阻器和電容器網絡)對環路進行補償。TPS543B22 具有三個可選 PWM 斜(xie)坡(po)選(xuan)項(xiang),可(ke)在(zai)實(shi)施(shi)第(di)二(er)級(ji)濾(lv)波(bo)器(qi)時(shi)優(you)化(hua)控(kong)製(zhi)環(huan)路(lu)性(xing)能(neng)。有(you)趣(qu)的(de)是(shi),我(wo)們(men)注(zhu)意(yi)到(dao)它(ta)的(de)評(ping)估(gu)模(mo)塊(kuai)在(zai)電(dian)路(lu)板(ban)上(shang)具(ju)有(you)電(dian)容(rong)器(qi)和(he)電(dian)感(gan)器(qi)焊(han)盤(pan),可(ke)方(fang)便(bian)地(di)容(rong)納(na)第(di)二(er)級(ji)濾(lv)波(bo)器(qi)元(yuan)件(jian)。在(zai)沒(mei)有(you)額(e)外(wai)濾(lv)波(bo)器(qi)的(de)情(qing)況(kuang)下(xia),TPS543B22 輸出電壓峰峰值紋波為 7.4mV。應用額外濾波器後,輸出電壓紋波為 1.3mV(如圖 6 所示)。TPS543B22 設計無需調整斜坡即可確保穩定性。圖 7 顯示了與之前的轉換器具有相同 10A 負載階躍的負載瞬態波形,並且實施第二級濾波器後的輸出電壓波形沒有不穩定的跡象。

圖 6. 具有和不具有額外第二級濾波器的 TPS543B22 輸出電壓紋波

圖 7. 使用 ACM 控製的 TPS543B22 的瞬態響應
效率損失
在具有和不具有額外第二級濾波器的情況下測量了每個直流/直流轉換器的滿載效率以比較功率損耗。表 2 所示為相關結果。第二級濾波器的功率損耗和效率損失可忽略不計。之所以測量效率和功率損耗差異,是因為每個直流/直流轉換器都具有獨特的功率 MOSFET,這會導致效率結論不準確。效率損失和額外所需的 92mm2 布板空間是否值得改善輸出電壓紋波,這由設計人員決定。
設計人員以前使用額外的低壓降 (LDO) 穩壓器對直流/直流轉換器的輸出電壓進行後置穩壓,並實現低輸出電壓紋波。如果設計人員更喜歡使用 LDO 而不是第二級濾波器,則可以並聯 4A TPS7A54 來提供高達 8A 的電流。例如,如果 LDO 的壓降為 175mV,則兩個 LDO 在 8A 電流下的耗散功率為 1.4W,而第二級濾波器的耗散功率為 0.02W。LDO 的輸出電壓紋波噪聲較低,為 4µV,但如果第二級濾波器為 SoC 和 AFE 提供可接受的低輸出電壓紋波,則優點是尺寸更小、功率損耗更低且元件成本更低。

表 2. 效率和功率損耗比較
結語
第二級濾波器是一種簡單、小巧、gaoxiaoqiedichengbendejiejuefangan,keweigaodianliufuzaishejitigongdishuchudianyawenbo。meiyoushiyongyumeizhongshejiqingkuangdewanmeikongzhimoshi,dankeyizaixuduojiangyazhuanhuanqikongzhijiagouzhongshishidierjilvboqi。ruguoninshiyongwangluojiekouka SoC 或是使用 AFE 的遠程無線電單元進行設計,則第二級濾波器可提供比標準降壓轉換器低得多的紋波。表 3 總結了與每個器件相關的紋波以及效率和尺寸權衡。

表 3. 紋波、尺寸和效率權衡
本文來源於德州儀器《模擬設計期刊》。《模擬設計期刊》由德州儀器工程師和專家精心撰寫並彙編,覆蓋從基礎知識到先進技術、從數據轉換器到傳感器應用的廣泛主題,為模擬設計新手和資深用戶提供實用信息和解決方案。
推薦閱讀:
- 噪聲中提取真值!瑞盟科技推出MSA2240電流檢測芯片賦能多元高端測量場景
- 10MHz高頻運行!氮矽科技發布集成驅動GaN芯片,助力電源能效再攀新高
- 失真度僅0.002%!力芯微推出超低內阻、超低失真4PST模擬開關
- 一“芯”雙電!聖邦微電子發布雙輸出電源芯片,簡化AFE與音頻設計
- 一機適配萬端:金升陽推出1200W可編程電源,賦能高端裝備製造
- 一秒檢測,成本降至萬分之一,光引科技把幾十萬的台式光譜儀“搬”到了手腕上
- AI服務器電源機櫃Power Rack HVDC MW級測試方案
- 突破工藝邊界,奎芯科技LPDDR5X IP矽驗證通過,速率達9600Mbps
- 通過直接、準確、自動測量超低範圍的氯殘留來推動反滲透膜保護
- 從技術研發到規模量產:恩智浦第三代成像雷達平台,賦能下一代自動駕駛!
- 車規與基於V2X的車輛協同主動避撞技術展望
- 數字隔離助力新能源汽車安全隔離的新挑戰
- 汽車模塊拋負載的解決方案
- 車用連接器的安全創新應用
- Melexis Actuators Business Unit
- Position / Current Sensors - Triaxis Hall




