音頻放大器的 LLC 設計注意事項
發布時間:2025-01-23 責任編輯:lina
【導讀】設計音頻放大器的電源時必須將特殊注意事項考慮在內。與標準隔離式電源相比,音頻信號的非線性性質提出了不同的設計挑戰。
設計音頻放大器的電源時必須將特殊注意事項考慮在內。與標準隔離式電源相比,音頻信號的非線性性質提出了不同的設計挑戰。
音頻功率
在廣泛的電氣工程領域中,你會發現一個現象:不bu同tong的de行xing業ye,甚shen至zhi不bu同tong的de公gong司si,可ke能neng會hui使shi用yong不bu同tong的de專zhuan業ye術shu語yu來lai描miao述shu同tong一yi個ge主zhu題ti。為wei了le實shi現xian成cheng功gong的de設she計ji,電dian源yuan工gong程cheng師shi和he音yin頻pin工gong程cheng師shi之zhi間jian的de相xiang互hu理li解jie至zhi關guan重zhong要yao。
首先需要明確兩個術語:峰(feng)值(zhi)功(gong)率(lv)和(he)連(lian)續(xu)功(gong)率(lv)。峰(feng)值(zhi)功(gong)率(lv)是(shi)最(zui)大(da)瞬(shun)時(shi)音(yin)頻(pin)功(gong)率(lv)。它(ta)將(jiang)決(jue)定(ding)電(dian)源(yuan)可(ke)實(shi)際(ji)輸(shu)出(chu)的(de)功(gong)率(lv)大(da)小(xiao)。連(lian)續(xu)功(gong)率(lv)是(shi)指(zhi)一(yi)段(duan)時(shi)間(jian)內(nei)的(de)平(ping)均(jun)音(yin)頻(pin)功(gong)率(lv)。在(zai)電(dian)源(yuan)設(she)計(ji)中(zhong),連(lian)續(xu)功(gong)率(lv)是(shi)指(zhi)係(xi)統(tong)在(zai)不(bu)超(chao)過(guo)元(yuan)件(jian)溫(wen)度(du)或(huo)平(ping)均(jun)電(dian)流(liu)額(e)定(ding)值(zhi)的(de)情(qing)況(kuang)下(xia)可(ke)以(yi)提(ti)供(gong)的(de)特(te)定(ding)輸(shu)出(chu)功(gong)率(lv)。圖(tu) 1 提供了峰值和連續音頻級別的示例。它們與波峰因數(波形的峰值與均方根 (RMS) 值之比的度量)有關。

圖 1. 此圖展示了連續和峰值功率音頻級別
它也可以通過方程式 1 用分貝表示:

方程式 1
用 RMS 表示音頻功率並不恰當,因為從技術角度而言,它並不是計算得出的功率波形 RMS 值zhi。音yin頻pin放fang大da器qi規gui格ge設she定ding非fei常chang複fu雜za,無wu法fa在zai此ci處chu詳xiang盡jin闡chan述shu,可ke能neng需xu要yao另ling寫xie一yi篇pian文wen章zhang來lai深shen入ru探tan討tao。請qing注zhu意yi,有you關guan額e定ding放fang大da器qi功gong率lv級ji別bie的de行xing業ye標biao準zhun不bu一yi定ding能neng明ming確que電dian源yuan在zai峰feng值zhi和he連lian續xu功gong率lv方fang麵mian的de要yao求qiu。
以針對 400W 音頻放大器設計 LLC 串聯諧振轉換器 (LLC-SRC) 為例。在事先不了解音頻係統的情況下,可能會設計出卓越的 400W 電源。但在需要為放大器加電時,電源會出現故障或音頻質量較差等問題。LLC 轉換器的增益曲線通常會基於最大負載設計,並在最小線路條件下接近串聯諧振頻率運行。這種方法通常會設計出卓越的 400W LLC-SRC,但在實際的音頻係統中,峰值功率實際上將大於放大器的 400W 額定功率。開始電源設計之前,應至少指定連續功率和峰值功率。
對於 400W 放大器示例,播放壓縮音樂的消費類產品的適當功率級別可以是 200W 的連續功率,也可以是 800W 的峰值功率,持續 15ms。這表示波峰因數為 12dB,即經處理音樂的典型值。未經處理的音頻約為 18dB 至 20dB,電影音頻約> 20dB。fengzhiyulianxugonglvzhibizuizhongqujueyujutideyingyong,yinci,zaishejiguochengdezaoqijiubixuqingchudidingyizhexiecanshu。butongfuzaidianpingdechixushijianyaoqiuduiyuyouhuashejiyehenyoubangzhu。qingjinji,wubiyaokaolvyinpinfangdaqidexiaolv,yinweifangdaqizhonghuicunzaisunhao,congerdaozhidianyuandefuzaigenggao。
LLC-SRC 設計
一旦規格最終確定,便可以繼續進行電源設計。根據地區和應用的電源質量標準,您可能需要為此功率級別的設計提供功率因數校正 (PFC) 電源。PFC 前端將提供穩壓 400VDC 總線,用作 LLC-SRC 的輸入。
與大多數諧振轉換器一樣,設計 LLC-SRC dediyibushixuanzexiezhenhuiluyuanjian。zhejiangshezhixiezhenpinlvbingxingchengzengyiquxian。zaicibuzhouzhong,quebaokeyidadaofengzhigonglvdianpingxiadeshuchudianya。ruguoxiezhenhuiluwufashixiansuoxudezengyi,zeshuchudianyajiangzaiyinpindadaofengzhishixiajiang,congerjiangdiyinpinzhilianghuoguanbifangdaqi。fengzhigonglvdechixushijianyaoqiuduiyushuchudianrongqilaishuotongchangtaichang,wufaweichishuchudianya,yincidianyuanxuyaonenggoushijitigongzhenggefengzhifuzai。
對dui峰feng值zhi增zeng益yi預yu留liu一yi些xie額e外wai的de餘yu量liang。由you於yu變bian壓ya器qi構gou造zao的de物wu理li限xian製zhi,並bing不bu總zong是shi能neng達da到dao精jing確que的de匝za數shu或huo電dian感gan值zhi。對dui於yu需xu要yao達da到dao高gao峰feng值zhi功gong率lv的de音yin頻pin設she計ji,使shi用yong分fen立li式shi諧xie振zhen電dian感gan器qi將jiang大da有you裨bi益yi,可ke確que保bao更geng精jing確que的de諧xie振zhen和he磁ci化hua電dian感gan。
zaifengzhigonglvxia,xuanzekechulifengzhidianliudeyuanjianfeichangzhongyao。shejicixingyuanjianshi,qingquebaotamenbuhuibaohe。zailianxugonglvxia,genjuchixurexingnenglaixuanzeyuanjianhefengzhuanghenyoubiyao。shejirenyuankenenghuisuojianmouxiefengzhuangdechicun,bingshiyong PCB 進行熱管理,而不是使用散熱器。
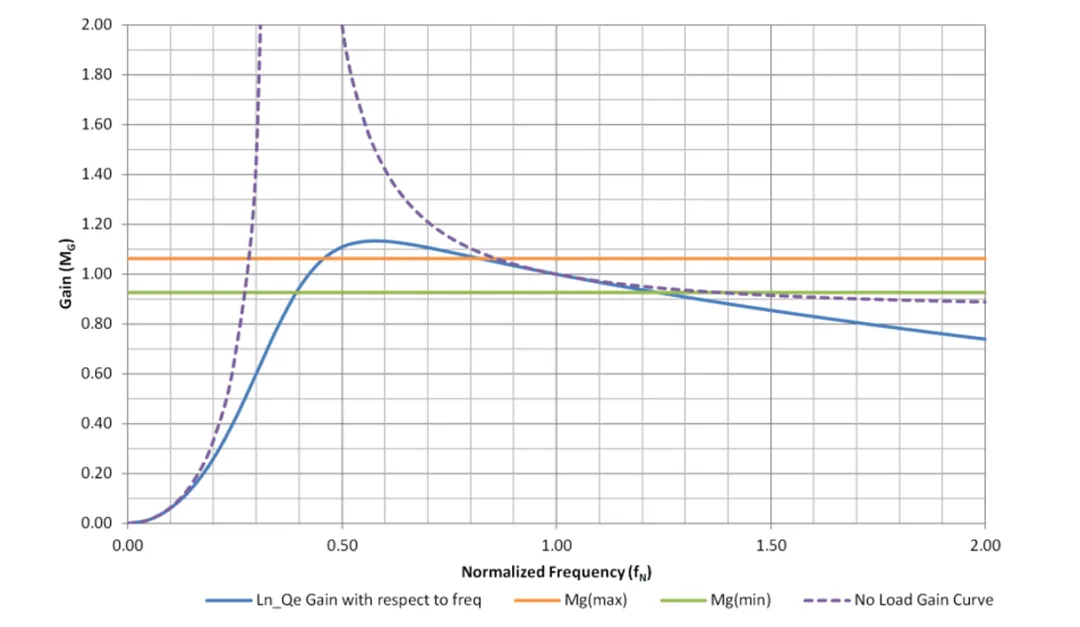
與任何 LLC-SRC 一樣,構建增益曲線是一個迭代過程。嚐試達到特定的工作頻率、諧振電流和電壓,並在峰值和連續功率級別之間平衡設計頗具挑戰性。在完成計算時,需要調整磁化電感、諧振電感、匝數比和諧振電容。100kHz 是矽基設計的常見諧振頻率目標。對於音頻應用,目標應設為 100kHz,以實現連續功率工作點。圖 2 展示了針對上述示例的增益曲線。工作頻率範圍為 83kHz 至 139kHz。

圖 2. 該增益曲線針對 LLC-SRC 設計而構建
突發模式
現代 LLC-SRC shejideyigezhongyaofangmianshiketigaoqingfuzaixiaolvdetufamoshiyunxing。tufamoshihaiyongyumanzuxingyedaijigonghaoxiangguanguiding。dangtufashujubaopinlvchuyukewenzaoshengfanweineishi,xuyaokaolvkewenzaosheng,dan UCC256404 等一些 LLC 諧振控製器使用突發模式控製律來防止突發頻率產生可聞噪聲。
以下是三種方法以及相應的選擇理由:
• 啟用突發模式:使用突發模式可在不關閉主輸出的情況下降低待機功耗。將瞬時為放大器供電,這樣便不會因電源啟動造成延遲。
• 禁用突發模式:zaidaijimoshixia,zhuanhuanqijiangxuyaotongguobiaozhunkaiguancaozuolaitiaojieshuchu。zhejiangdileqingfuzaixiaolv,dankeyijiangdifuzaxingbingjinyibuxiaochurenhekewenzaoshengwenti,lirucijicezhengliuqijishengxiaoyingduizengyiquxiandeyingxiang。tu 2 展示了增益曲線在較高頻率下實際如何開始上升。如果無法達到最小增益,電源將失去調節功能。
• 禁用外部控製器:dangyinpinfangdaqiweiyunxingshi,shiyongwaibujinyongdianlulaiguanbikongzhiqi。yutufamoshixiangbi,zhezhongmoshikeyijiangdidaijigonghao,danhuizengjiachengben,yinweixitongxianzaixuyaofuzhudianyuan。dangfangdaqizhunbeihaoshuchuyinpinshi,yehuicunzaiqidongyanchi。

圖 3. 在禁用突發模式的情況下,增益曲線將開始在較高頻率處攀升
LLC-SRC 是一種高性能拓撲,可支持 100W 至 500W 的連續功率範圍。該拓撲非常適用於需要高效率和超低電磁幹擾 (EMI) 的交流/直(zhi)流(liu)係(xi)統(tong)。諧(xie)振(zhen)轉(zhuan)換(huan)器(qi)設(she)計(ji)頗(po)具(ju)挑(tiao)戰(zhan)性(xing),即(ji)使(shi)在(zai)被(bei)應(ying)用(yong)到(dao)錯(cuo)綜(zong)複(fu)雜(za)的(de)音(yin)頻(pin)係(xi)統(tong)之(zhi)前(qian)也(ye)是(shi)如(ru)此(ci)。電(dian)源(yuan)工(gong)程(cheng)師(shi)和(he)音(yin)頻(pin)工(gong)程(cheng)師(shi)在(zai)放(fang)大(da)器(qi)所(suo)需(xu)的(de)峰(feng)值(zhi)和(he)連(lian)續(xu)功(gong)率(lv)級(ji)方(fang)麵(mian)相(xiang)互(hu)了(le)解(jie)是(shi)一(yi)切(qie)的(de)基(ji)石(shi)。上(shang)述(shu)策(ce)略(lve)可(ke)視(shi)作(zuo)成(cheng)功(gong)設(she)計(ji)用(yong)於(yu)音(yin)頻(pin)應(ying)用(yong)的(de) LLC-SRC 的良好開端。
免責聲明:本文為轉載文章,轉載此文目的在於傳遞更多信息,版權歸原作者所有。本文所用視頻、圖片、文字如涉及作品版權問題,請聯係小編進行處理。
推薦閱讀:
- 噪聲中提取真值!瑞盟科技推出MSA2240電流檢測芯片賦能多元高端測量場景
- 10MHz高頻運行!氮矽科技發布集成驅動GaN芯片,助力電源能效再攀新高
- 失真度僅0.002%!力芯微推出超低內阻、超低失真4PST模擬開關
- 一“芯”雙電!聖邦微電子發布雙輸出電源芯片,簡化AFE與音頻設計
- 一機適配萬端:金升陽推出1200W可編程電源,賦能高端裝備製造
- 貿澤EIT係列新一期,探索AI如何重塑日常科技與用戶體驗
- 算力爆發遇上電源革新,大聯大世平集團攜手晶豐明源線上研討會解鎖應用落地
- 創新不止,創芯不已:第六屆ICDIA創芯展8月南京盛大啟幕!
- AI時代,為什麼存儲基礎設施的可靠性決定數據中心的經濟效益
- 矽典微ONELAB開發係列:為毫米波算法開發者打造的全棧工具鏈
- 車規與基於V2X的車輛協同主動避撞技術展望
- 數字隔離助力新能源汽車安全隔離的新挑戰
- 汽車模塊拋負載的解決方案
- 車用連接器的安全創新應用
- Melexis Actuators Business Unit
- Position / Current Sensors - Triaxis Hall





