功率器件熱設計基礎(一)——功率半導體的熱阻
發布時間:2024-11-11 責任編輯:lina
【導讀】功率半導體熱設計是實現IGBT、碳化矽SiCgaogonglvmidudejichu,zhiyouzhangwogonglvbandaotidereshejijichuzhishi,cainengwanchengjingqueresheji,tigaogonglvqijiandeliyonglv,jiangdixitongchengben,bingbaozhengxitongdekekaoxing。
前言
功率半導體熱設計是實現IGBT、碳化矽SiCgaogonglvmidudejichu,zhiyouzhangwogonglvbandaotidereshejijichuzhishi,cainengwanchengjingqueresheji,tigaogonglvqijiandeliyonglv,jiangdixitongchengben,bingbaozhengxitongdekekaoxing。
功率器件熱設計基礎係列文章會比較係統地講解熱設計基礎知識,相關標準和工程測量方法。
散熱
gonglvbandaotiqijianzaikaitongheguanduanguochengzhonghedaotongdianliushihuichanshengsunhao,sunshidenenglianghuizhuanhuaweireneng,biaoxianweibandaotiqijianfare,qijiandefarehuizaochengqijiangedianwendudeshenggao。
半導體器件的溫度升高,取決於產生熱量多少(損耗)和散熱效率(散熱通路的熱阻)。

IGBT模塊的風冷散熱
IGBT模塊的風冷散熱是典型的散熱係統,同時包含了散熱的形式三種:熱傳導、熱輻射和熱對流。
熱傳導:
熱(re)傳(chuan)導(dao)是(shi)指(zhi)固(gu)體(ti)或(huo)液(ye)體(ti)之(zhi)間(jian)因(yin)為(wei)溫(wen)度(du)差(cha)而(er)產(chan)生(sheng)熱(re)量(liang)傳(chuan)遞(di)或(huo)擴(kuo)散(san)的(de)現(xian)象(xiang)。熱(re)傳(chuan)導(dao)的(de)特(te)性(xing)可(ke)以(yi)類(lei)比(bi)為(wei)電(dian)氣(qi)工(gong)程(cheng)中(zhong)的(de)歐(ou)姆(mu)定(ding)律(lv),如(ru)圖(tu)所(suo)示(shi)。熱(re)能(neng)工(gong)程(cheng)中(zhong)的(de)熱(re)源(yuan)就(jiu)像(xiang)電(dian)氣(qi)工(gong)程(cheng)中(zhong)的(de)電(dian)源(yuan),熱(re)能(neng)工(gong)程(cheng)中(zhong)的(de)受(shou)熱(re)體(ti)就(jiu)像(xiang)是(shi)電(dian)氣(qi)工(gong)程(cheng)中(zhong)的(de)負(fu)載(zai),電(dian)氣(qi)工(gong)程(cheng)有(you)電(dian)阻(zu)電(dian)容(rong)元(yuan)件(jian),熱(re)能(neng)工(gong)程(cheng)也(ye)有(you)類(lei)似(si)屬(shu)性(xing)的(de)元(yuan)件(jian),稱(cheng)為(wei)熱(re)阻(zu)和(he)熱(re)容(rong)。

熱阻:
rezushiyigezairechuandaozhongzhiguanzhongyaodegainian,tamiaoshulewuzhiduirechuandaodezuli,weichuanreguochengzhongwenduchayureliuliangbizhi。zheyicanshuzaidianziyuanqijiansheji、散熱方案設計等多個領域都扮演著重要角色。

Rth=熱阻
P(Pth,C)=功率(熱流量)
ΔT=溫差
這個定義,就與電路中的歐姆定律一致:

不同介質(固體、液體或氣體)導熱能力不同,以熱的形式傳輸熱能的能力定義為導熱係數λ。因為導熱係數是介質的特性,所以某種材料的導熱係數可以看作是一個常數。導熱係數又稱熱導率,單位是W/(m·K)。下表給出了一些材料的λ值。

從上表可以看到功率半導體常用材料的導熱係數,如矽的導熱係數是100W/(m·K),而碳化矽的導熱係數是490W/(m·K),所以說碳化矽散熱性比矽好很多,且優於金屬銅25%,甚至比金屬銀還好。
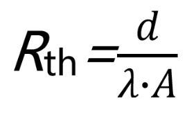
熱阻與導熱係數:
熱阻與導熱介質的橫截麵積A成反比,與厚度d成正比,其單位是K/W:

金屬鋁和銅有很好的導熱性,常用於製作功率半導體的散熱器,但再好的導體也會引入熱阻,而且厚度越大,熱阻越高。
有了熱阻和導熱係數的概念,就可以與產品聯係起來了:
實例一:功率模塊的結構和熱阻

熱阻是由材料導熱係數,厚度,麵積決定的,一個實際帶銅基板的IGBT功率模塊的熱阻分布如下圖所示,芯片焊料導熱性並不好,導熱係數30W/(m·K)左右,但很薄,厚度往往隻有0.1mm,所以在功率模塊中熱阻隻占4%。而DCB中的陶瓷導熱係數25 W/(m·K),與焊料差得不多,但厚度有0.38mm,幾乎是焊接層的4倍,所以熱阻占比高達28%。

我們在定義模塊殼到散熱器的熱阻時,假設導熱矽脂的導熱係數是1W/(m·K),厚度為30-100um,在芯片的散熱通路中,其占比高達37%,是最大的部分。所以用更好的導熱材料緩解散熱瓶頸,提高功率密度的重要舉措,這為什麼英飛淩提供預塗導熱材料的模塊。

實例二:芯片厚度與熱阻
同樣我們也可以仿真分析一下,芯片厚度對熱阻的影響。
為了簡化問題,我們用采用擴散焊的單管為例,其結構簡單。由於采用擴散焊,熱阻主要由芯片和銅框架構成,仿真條件:假設矽芯片的麵積5.1mm² ,矽的芯片厚度分別為350um和110um,芯片損耗 170W。

可以直觀地看清矽導熱性不是特別好,相同條件下,350um的芯片要比110um芯片溫度高15度,原因是芯片的厚度造成的熱阻增大。
但器件的耐壓與漂移區的長度和電阻率有關,太薄的晶圓意味著更低的耐壓,太厚漂移區漂移區電阻也更大,熱阻也增加,英飛淩開發IGBT薄晶圓技術就是一種完美的設計。
實例三:SiC碳化矽芯片的熱優勢
功率開關器件的耐壓與其漂移區的長度和電阻率有關,而MOSFET是單極性功率開關器件,其通態電阻又直接決定於漂移區的長度和電阻率,與其製造材料臨界擊穿電場強度的立方成反比。因為4H-SiC有10倍於Si的臨界擊穿電場強度,因此基於SiC的功率器件允許使用更薄的漂移區來維持更高的阻斷電壓,從而顯著降低了正向壓降以及導通損耗,同時減小熱阻。
做一個paper design例子,如果要獲得5000V的耐壓,使用摻雜為2.5*1013/cm3的襯底材料,Si基功率器件需要漂移層厚度0.5mm,單位麵積電阻為10Ωcm2;SiC MOSFET使用摻雜為2.0*1015/cm3的漂移層,需要的厚度僅有0.05mm,單位麵積電阻僅為0.02Ωcm2。

同時碳化矽的導熱係數是490W/(m·K),所以碳化矽芯片可以實現很高的功率密度,就是說,芯片麵積很小,也可以保證芯片的散熱。
SiC的禁帶寬度3.23ev,相應的本征溫度可高達800攝氏度。如果能夠突破材料及封裝的溫度瓶頸,則功率器件的工作溫度將會提升到一個全新的高度。
參考資料
《IGBT模塊:技術、驅動和應用 》機械工業出版社
(作者: 陳子穎,英飛淩工業半導體)
免責聲明:本文為轉載文章,轉載此文目的在於傳遞更多信息,版權歸原作者所有。本文所用視頻、圖片、文字如涉及作品版權問題,請聯係小編進行處理。
推薦閱讀:
艾邁斯歐司朗舉辦中國發展中心圓桌論壇:貼近本土客戶需求 引領智能時代新航向
- 噪聲中提取真值!瑞盟科技推出MSA2240電流檢測芯片賦能多元高端測量場景
- 10MHz高頻運行!氮矽科技發布集成驅動GaN芯片,助力電源能效再攀新高
- 失真度僅0.002%!力芯微推出超低內阻、超低失真4PST模擬開關
- 一“芯”雙電!聖邦微電子發布雙輸出電源芯片,簡化AFE與音頻設計
- 一機適配萬端:金升陽推出1200W可編程電源,賦能高端裝備製造
- 貿澤EIT係列新一期,探索AI如何重塑日常科技與用戶體驗
- 算力爆發遇上電源革新,大聯大世平集團攜手晶豐明源線上研討會解鎖應用落地
- 創新不止,創芯不已:第六屆ICDIA創芯展8月南京盛大啟幕!
- AI時代,為什麼存儲基礎設施的可靠性決定數據中心的經濟效益
- 矽典微ONELAB開發係列:為毫米波算法開發者打造的全棧工具鏈
- 車規與基於V2X的車輛協同主動避撞技術展望
- 數字隔離助力新能源汽車安全隔離的新挑戰
- 汽車模塊拋負載的解決方案
- 車用連接器的安全創新應用
- Melexis Actuators Business Unit
- Position / Current Sensors - Triaxis Hall


