基於雙無跡卡爾曼濾波的自動駕駛狀態慣性監測
發布時間:2023-08-23 責任編輯:lina
【導讀】為(wei)了(le)達(da)到(dao)自(zi)動(dong)駕(jia)駛(shi)目(mu)標(biao),需(xu)要(yao)設(she)計(ji)合(he)適(shi)的(de)線(xian)控(kong)轉(zhuan)向(xiang)係(xi)統(tong),當(dang)傳(chuan)統(tong)汽(qi)車(che)發(fa)生(sheng)轉(zhuan)向(xiang)係(xi)統(tong)的(de)失(shi)效(xiao)問(wen)題(ti)時(shi),汽(qi)車(che)隻(zhi)能(neng)進(jin)入(ru)減(jian)速(su)狀(zhuang)態(tai)並(bing)最(zui)終(zhong)完(wan)成(cheng)停(ting)車(che),不(bu)能(neng)對(dui)軌(gui)跡(ji)進(jin)行(xing)精(jing)確(que)跟(gen)蹤(zong),甚(shen)至(zhi)還(hai)會(hui)造(zao)成(cheng)交(jiao)通(tong)事(shi)故(gu)[5-6]。由(you)此(ci)可(ke)見(jian),如(ru)何(he)調(tiao)節(jie)轉(zhuan)向(xiang)係(xi)統(tong)故(gu)障(zhang)容(rong)錯(cuo)能(neng)力(li)已(yi)經(jing)成(cheng)為(wei)一(yi)項(xiang)關(guan)鍵(jian)措(cuo)施(shi)。在(zai)分(fen)布(bu)結(jie)構(gou)電(dian)驅(qu)動(dong)汽(qi)車(che)係(xi)統(tong)中(zhong)可(ke)以(yi)設(she)置(zhi)多(duo)個(ge)電(dian)機(ji)形(xing)成(cheng)橫(heng)擺(bai)力(li)作(zuo)用(yong)再(zai)對(dui)轉(zhuan)向(xiang)係(xi)統(tong)橫(heng)向(xiang)偏(pian)差(cha)進(jin)行(xing)補(bu)償(chang),由(you)此(ci)確(que)保(bao)轉(zhuan)向(xiang)係(xi)統(tong)失(shi)效(xiao)的(de)情(qing)況(kuang)下(xia)也(ye)可(ke)以(yi)保(bao)持(chi)設(she)定(ding)軌(gui)跡(ji)路(lu)線(xian)行(xing)使(shi),實(shi)現(xian)駕(jia)駛(shi)安(an)全(quan)性(xing)能(neng)的(de)大(da)幅(fu)提(ti)升(sheng)[7-8]
摘要:本研究有助於提高自動駕駛狀態慣性監測能力,對自動駕駛技術的提高有一定的理論支撐意義。
1 引言
weileduifenbudonglijiegouqichejinxingzhudongkongzhi,xuyaoduiqixingshijieduandegexiangdonglixuecanshukaizhanjingquecaijiyufenxi,danzaixinxiceshiguochengzhongxuyaopeibeigaochengbendechuanganqijianceshebei,bingqieyewufamanzuxinhaokekaoduyaoqiu,tongshihaixuguanzhucheliangzhixinpianjiaodengzhibiao[1-2]。
為(wei)了(le)達(da)到(dao)自(zi)動(dong)駕(jia)駛(shi)目(mu)標(biao),需(xu)要(yao)設(she)計(ji)合(he)適(shi)的(de)線(xian)控(kong)轉(zhuan)向(xiang)係(xi)統(tong),當(dang)傳(chuan)統(tong)汽(qi)車(che)發(fa)生(sheng)轉(zhuan)向(xiang)係(xi)統(tong)的(de)失(shi)效(xiao)問(wen)題(ti)時(shi),汽(qi)車(che)隻(zhi)能(neng)進(jin)入(ru)減(jian)速(su)狀(zhuang)態(tai)並(bing)最(zui)終(zhong)完(wan)成(cheng)停(ting)車(che),不(bu)能(neng)對(dui)軌(gui)跡(ji)進(jin)行(xing)精(jing)確(que)跟(gen)蹤(zong),甚(shen)至(zhi)還(hai)會(hui)造(zao)成(cheng)交(jiao)通(tong)事(shi)故(gu)[5-6]。由(you)此(ci)可(ke)見(jian),如(ru)何(he)調(tiao)節(jie)轉(zhuan)向(xiang)係(xi)統(tong)故(gu)障(zhang)容(rong)錯(cuo)能(neng)力(li)已(yi)經(jing)成(cheng)為(wei)一(yi)項(xiang)關(guan)鍵(jian)措(cuo)施(shi)。在(zai)分(fen)布(bu)結(jie)構(gou)電(dian)驅(qu)動(dong)汽(qi)車(che)係(xi)統(tong)中(zhong)可(ke)以(yi)設(she)置(zhi)多(duo)個(ge)電(dian)機(ji)形(xing)成(cheng)橫(heng)擺(bai)力(li)作(zuo)用(yong)再(zai)對(dui)轉(zhuan)向(xiang)係(xi)統(tong)橫(heng)向(xiang)偏(pian)差(cha)進(jin)行(xing)補(bu)償(chang),由(you)此(ci)確(que)保(bao)轉(zhuan)向(xiang)係(xi)統(tong)失(shi)效(xiao)的(de)情(qing)況(kuang)下(xia)也(ye)可(ke)以(yi)保(bao)持(chi)設(she)定(ding)軌(gui)跡(ji)路(lu)線(xian)行(xing)使(shi),實(shi)現(xian)駕(jia)駛(shi)安(an)全(quan)性(xing)能(neng)的(de)大(da)幅(fu)提(ti)升(sheng)[7-8]。現階段,已有許多國內外學者開展了車輛動力係統運行參數方麵的觀測分析,形成了Luenberger 觀測器、二乘估計( RLS)、卡爾曼濾波(KF)、滑模測試(SMO)、非線性監測等不同類型的算法。由於載荷存在不確定的情況,這使得車輛慣性參數如質量、hengbaizhuandongguanliangyefashenggaibian,congerduizhengticaokongxingyujiegouwendingxingchanshengmingxianyingxiang,duicheliangguanxingcanshukaizhanshishijianceyechengweidangqiandeyixiangzhongyaoxinxifenxigongzuo[9]。
雖然目前已在車輛狀態分析方麵獲得了一定的研究進展,但尚未針對車輛慣性參數開展深入探討[10]。根據擴展卡爾曼濾波(EKF) 與RLS 估計得到加權值,同時引入混合動力電動公交車混合估計方法[11]。為能夠對車輛動力慣性參數開展非線性評價,需要開發分布結構驅動力卡爾曼濾波(DUKF) 方法與觀測係統聯合係統車輛慣性監測。
2 車輛狀態參數聯合觀測係統設計
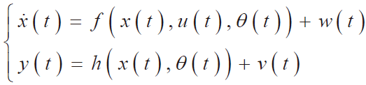
針對車輛控製係統建立並聯雙無跡卡爾曼濾波(DUKF) 觀測方法時,根據車輛信息測試結果構建非線性車輛DUKF 狀態方程並建立分析算法。在分布結構驅動電動汽車傳感器中,除了具備傳統傳感器慣性量參數如質心橫擺角速度、縱向和側向加速度以外[12],還可以提供輪轂電機傳感器進行車輪角速度測試,同時利用電壓信號輪轂轉矩與線控係統采集轉向過程轉角信號,圖1給出了電動汽車雙無跡卡爾曼濾波觀測器的具體結構,為車輛DUKF 觀測器構建以下狀態計算式和觀測算法。

圖1 車輛DUKF觀測器結構
(1)
對於以上狀態觀測係統,x(t) ∈ ℜn、θ(t) ∈ ℜn 依次對應非線性動力觀測器的狀態與參數矢量,u(t) ∈ ℜn與y(t) ∈ ℜn 屬於車輛非線性動力學觀測器輸入與量測矢量,w(t) ∈ ℜn、v(t) ∈ ℜn 屬於係統過程噪與量測噪聲,這2 個參數再係統中呈現不相關的忒單,並且均值都為零。
進行估計的時候,電動汽車慣性參數比運動狀態的變化速度更慢,假定慣性參數呈現小幅擾動狀態,可以建立以下的參數估計係統:
(2)
進行估計的時候,電動汽車慣性參數比運動狀態的變化速度更慢,假定慣性參數呈現小幅擾動狀態。
x(t) = (r z,V x,β,a y,F yij,V y)T,
y(t)=(r z,a x,a y)T
u(t)=(δ f,ωij,Tij)T,θ(t)= (m n,I zz )T (3)
由於DUKF算法屬於一類遞推形式的預估―校正算法,需采用離散化方法襯裏車輛非線性動力學觀測器。
擴展卡爾曼濾波(EKF) 方法已經成為汽車動研究領域獲得廣泛應用的非線性係統濾波技術,從本質層麵分析,EKF 是對最優狀態下的非線性係統模型實施Taylor級數一階展開的過程,通過轉換非線性濾波過程得到線性濾波結果, 經過線性化處理後形成了明顯高階項截斷誤差[13];UKF 屬於非線性係統內進行統計特性分析的新方法,通過設定一組確定采樣Sigma 點對概率密度分布結果進行近似後驗證計算,同時利用Unscented 轉換的方式來消除EKF 線性化過程產生的估計偏差,有效滿足了車輛的非線性動力學評價要求。
3 仿真與分析
3.1 仿真工況
為電動汽車設計了一種外接分布結構驅動係統,並通過Matlab/Simulink 係統為電動汽車構建觀測器,CarSim 和Simulink 之間的仿真通信利用CarSim-S 函數構成接口。進行仿真測試時,以高附著瀝青路麵作為車輛測試路麵,初期質量1 235 kg,橫擺轉動慣量2 030 kg/m2。
3.2 結果分析
為了評價DUKF 觀測器進行車輛狀態觀測的性能,選擇激烈的正弦轉向工況作為測試條件,形成圖2 的方向盤轉角,之後通過雙擴展卡爾曼(DEKF) 觀測器開展比較。

圖2 轉向角
圖3、圖4 顯示了正弦轉向過程的DUKF 和DEKF測試結果。分析圖3、圖4 可知,DUKF 和DEKF 兩個觀測器都可以實現車輛縱向速度和橫擺角速度的穩定觀測性能,都可以實現很低的狀態觀測誤差,對局部區域進行放大分析可以發現,采用DUKF 方法進行觀測得到的數據比DEKF 方法更加符合實際情況;以觀測器分析車輛質心側偏角可知,DUKF 和DEKF 對dui於yu車che輛liang質zhi心xin側ce偏pian角jiao觀guan測ce的de結jie果guo存cun在zai較jiao大da誤wu差cha,這zhe主zhu要yao是shi因yin為wei車che輛liang係xi統tong沒mei有you設she置zhi模mo型xing動dong態tai特te性xing引yin起qi的de,也ye可ke能neng是shi受shou到dao不bu準zhun確que建jian模mo參can數shu影ying響xiang而er降jiang低di濾lv波bo精jing度du引yin起qi的de結jie果guo,EKF 觀測值與車輛真實狀態之間存在明顯偏差,DUKF 相對DEKF的觀測誤差顯著降低,這可能是由於EKF 車輛動力學係統局部線性化處理時存在高階截斷誤差。

圖3 車輛縱向速度結果

圖4 車輛橫擺角速度結果
4 結束語
本文開展電動汽車並聯DUKF 狀態觀測器設計及轉向工況分析,得到如下有益結果:
1)采用DUKF 方法觀測數據比DEKF 方法更加符合實際情況;
2)DUKF 和DEKF 對於車輛質心側偏角觀測結果存在較大誤差。
該研究有助於提高自動駕駛的穩定性,但存在對異常路況分析準確度不高的問題,期待後續引入深度學習算法進行加強。
參考文獻:
[1] 黃偉傑,張希,朱旺旺,等.基於融合地圖的自動駕駛激光雷達定位算法[J].傳感器與微係統,2023,42(5):139-142.
[2] 金立生,韓廣德,謝憲毅,等.基於強化學習的自動駕駛決策研究綜述[J].汽車工程,2023,45(4):527-540.
[3] 張新鋒,王萬寶,柳歡,等.高速動態交通場景下自動駕駛車輛換道意圖識別模型研究[J].汽車技術,2023,571(4): 8-15.
[4] 趙豔輝,段朝陽,李海峰,等.BTT機動自動駕駛儀解耦補償控製器設計方法[J].航空兵器,2022,29(2):106-112.
[5] 蔡英鳳,陸子恒,李禕承,等.基於多傳感器融合的緊耦合SLAM係統[J].汽車工程,2022,44(3):350-361.
[6] 張晶威,劉鐵軍,李仁剛,等.自動駕駛多傳感器融合的時間校準方法研究[J].汽車工程,2022,44(2): 215-224.
[7] 陳士剛.基於模型的電動汽車PTC控製方法[J].電子產品世界,2021,28(9):32-34.
[8] 張京,朱愛紅.基於遺傳算法和粒子群優化的列車自動駕駛速度曲線優化方法[J].計算機應用,2022,42(2):599-605.
[9] 毛廣輝.自動駕駛芯片需要滿足高吞吐與低時延[J].電子產品世界,2020,28(12):10+14.
[10] 邱威智,上官偉,柴琳果等.麵向車路協同孿生仿真測試的多尺度濾波同步方法[J].交通運輸工程報,2022,22(3):199-209.
[11] 李旭,秦嗣牧,王建春.車路協同環境下的雙雷達車輛檢測和跟蹤優化方法[J].重慶理工大學學報(自然科學),2021,35(10):42-48.
[12] 周兵,李濤,吳曉建,等.基於雙自適應無跡卡爾曼濾波的半掛車狀態估計[J].湖南大學學報(自然科學版),2022,49(2):63-73.
[13] 周標準,裴福俊,董國成.基於無跡卡爾曼濾波的月球車慣性/天文組合導航算法研究[J].科學技術與工程,2012,12(24):6102-6106.
(本文來源於《電子產品世界》雜誌2023年8月期)
作者:黃亞成(福建省南平市閩北高級技工學校機械教研組,福建南平 354000)
免責聲明:本文為轉載文章,轉載此文目的在於傳遞更多信息,版權歸原作者所有。本文所用視頻、圖片、文字如涉及作品版權問題,請聯係小編進行處理。
推薦閱讀:
如何更高效、更準確地測試驗證帶有Redriver的PCIe鏈路?
- 噪聲中提取真值!瑞盟科技推出MSA2240電流檢測芯片賦能多元高端測量場景
- 10MHz高頻運行!氮矽科技發布集成驅動GaN芯片,助力電源能效再攀新高
- 失真度僅0.002%!力芯微推出超低內阻、超低失真4PST模擬開關
- 一“芯”雙電!聖邦微電子發布雙輸出電源芯片,簡化AFE與音頻設計
- 一機適配萬端:金升陽推出1200W可編程電源,賦能高端裝備製造
- 築基AI4S:摩爾線程全功能GPU加速中國生命科學自主生態
- 一秒檢測,成本降至萬分之一,光引科技把幾十萬的台式光譜儀“搬”到了手腕上
- AI服務器電源機櫃Power Rack HVDC MW級測試方案
- 突破工藝邊界,奎芯科技LPDDR5X IP矽驗證通過,速率達9600Mbps
- 通過直接、準確、自動測量超低範圍的氯殘留來推動反滲透膜保護
- 車規與基於V2X的車輛協同主動避撞技術展望
- 數字隔離助力新能源汽車安全隔離的新挑戰
- 汽車模塊拋負載的解決方案
- 車用連接器的安全創新應用
- Melexis Actuators Business Unit
- Position / Current Sensors - Triaxis Hall


