大功率二極管晶閘管知識連載——損耗
發布時間:2021-12-09 責任編輯:lina
【導讀】功率二極管晶閘管廣泛應用於AC/DC變換器,UPS,交流靜態開關,SVC和電解氫等場合,但大多數工程師對這類雙極性器件的了解不及對IGBT的了解,為此我們組織了6篇連載,包括正向特性,動態特性,控製特性,保護以及損耗與熱特性。內容摘來自英飛淩《雙極性半導體技術信息》。
功率二極管晶閘管廣泛應用於AC/DC變換器,UPS,交流靜態開關,SVC和電解氫等場合,但大多數工程師對這類雙極性器件的了解不及對IGBT的了解,為此我們組織了6篇連載,包括正向特性,動態特性,控製特性,保護以及損耗與熱特性。內容摘來自英飛淩《雙極性半導體技術信息》。
3.5 功率耗散(損耗)
對晶閘管和二極管而言,耗散(或損耗)分為斷態、通態、開通和關斷損耗這幾類。晶閘管還有控製損耗。在規定冷卻條件下,這些損耗的總和決定了器件的載流能力。
在高達60Hz的電網頻率下工作且具有適度的動態要求時,可以僅考慮通態損耗,因為其它損耗的總和相對可以忽略不計。
對於具有高阻斷電壓(>2200V)或者管芯Ф≥80mm的半導體,即使是在電網頻率下工作,在計算時也應考慮關斷損耗。
3.5.1 總功率耗散Ptot
Ptot是各項損耗總和的平均值。
3.5.2 斷態損耗PD、PR
PD、PR是斷態電流和斷態電壓在正向(PD)斷態和反向 (PR)斷態造成的損耗。
3.5.3 通態損耗PT、PF
PT、PF是在僅考慮正向導通狀態的情況下,轉化為熱的電能。根據以下公式,用等效直線的值計算通態損耗 PTAV或PFAV的平均值:
PTAV=VT(TO)•ITAV+rT•I²TRMS=VT(TO)•ITAV+rT• I²TAV•F²(晶閘管)
PFAV=VF(TO)•IFAV+rT•I²FRMS=VF(TO)•IFAV+rT• I²FAV•F²(二極管)
有關波形係數F,見表1
數據手冊中的圖顯示了各種形狀電流的通態耗散功率平均值與通態電流之間的關係。
可通過以下關係式,通過更精確的近似計算通態電壓,而非用vT0、vF0和rT計算通態損耗。
![]()
數據手冊中列出了係數A、B、C和D。
例外:PowerBLOCK模塊型未列出ABCD係數。
PowerBLOCK模塊型未列出ABCD係數

表1.相位角控製對應的波形係數
3.5.4 開關損耗PTT,PFT+PRQ
PTT、PFT+PRQ是在開通(PTT對應晶閘管,PFT對應二極管)和關斷(PRQ)時轉化為熱的部分電能。平均開關損耗隨通態電流在開通和關斷時的上升率和下降率、以及重複頻率的增加而增加。對於阻斷電壓≤2200V的中等尺寸晶閘管和二極管以及高達60Hz電網頻率的應用,開關損耗與通態損耗相比幾乎可以忽略不計。
對於阻斷電壓>2200V的半導體或管芯Ф≥80mm的半導體,即使是在電網頻率下工作,在計算時也應考慮關斷損耗(必要時可應要求提供)。
但是二極管的關斷損耗通常仍可忽略不計。
3.5.4.1 開通損耗PTT,PFT
PTT、PFT是開通期間超過通態損耗PT(晶閘管)或 PF(二極管)dehaosangonglv。tashiyouzailiuzicunchuxiaoyinghezailiuquyudeyanchichuanshuzaochengde。weilenenggouyizuikuaikaitongzhenggejingzhaguanxinpian,xuduojingzhaguanjunjuyouchufafangdagongneng。cigongnengbaohanyigehuojigefangdamenji(=輔助晶閘管)。對於具有大截麵的晶閘管,放大門極為分支結構(手指結構)。此結構可使更大麵接的截麵在觸發時導通,從而減少開通損耗。開通和通態損耗之和 PTT, PFT+PT, PF對於功耗計算非常重要,可通過在開通期間和開通後,用通態電流和通態電壓積分得出。

實際上,開通損耗通常忽略不計。
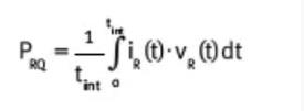
3.5.4.2 關斷損耗PRQ
關斷損耗是由載流子存儲效應造成的。它取決於反向延遲電流,反向斷態電壓幅值和上升率,因此可能受緩衝電路影響(見圖23)。

時間tint用於對關斷損耗進行積分計算。
關斷損耗的近似計算方法如下:

Erq=關斷損耗能量
f=頻率
Qr=最大恢複電荷
VR=(反向電壓)換向後的激勵電壓
3.5.5 門極功耗PG
PG是由於門極電流在門極和陰極之間流動而轉化為熱量的電能。它分為門極峰值功耗PGM(門極電流和門極電壓峰值的乘積)和門極平均功耗PGAV(門極功耗的周期平均值)
(來源: 英飛淩工業半導體)
免責聲明:本文為轉載文章,轉載此文目的在於傳遞更多信息,版權歸原作者所有。本文所用視頻、圖片、文字如涉及作品版權問題,請電話或者郵箱聯係小編進行侵刪。
推薦閱讀:
VIAVI為XL Axiata提供麵向5G的遠程光纖測試和監控解決方案
- 噪聲中提取真值!瑞盟科技推出MSA2240電流檢測芯片賦能多元高端測量場景
- 10MHz高頻運行!氮矽科技發布集成驅動GaN芯片,助力電源能效再攀新高
- 失真度僅0.002%!力芯微推出超低內阻、超低失真4PST模擬開關
- 一“芯”雙電!聖邦微電子發布雙輸出電源芯片,簡化AFE與音頻設計
- 一機適配萬端:金升陽推出1200W可編程電源,賦能高端裝備製造
- 算力爆發遇上電源革新,大聯大世平集團攜手晶豐明源線上研討會解鎖應用落地
- 築基AI4S:摩爾線程全功能GPU加速中國生命科學自主生態
- 一秒檢測,成本降至萬分之一,光引科技把幾十萬的台式光譜儀“搬”到了手腕上
- AI服務器電源機櫃Power Rack HVDC MW級測試方案
- 突破工藝邊界,奎芯科技LPDDR5X IP矽驗證通過,速率達9600Mbps
- 車規與基於V2X的車輛協同主動避撞技術展望
- 數字隔離助力新能源汽車安全隔離的新挑戰
- 汽車模塊拋負載的解決方案
- 車用連接器的安全創新應用
- Melexis Actuators Business Unit
- Position / Current Sensors - Triaxis Hall




