高速SerDes均衡之FFE
發布時間:2021-09-07 來源:不忘初心的模擬小牛牛 責任編輯:wenwei
【導讀】高速接口SerDes為(wei)實(shi)現(xian)芯(xin)片(pian)間(jian)信(xin)號(hao)的(de)有(you)線(xian)傳(chuan)輸(shu),需(xu)要(yao)完(wan)成(cheng)數(shu)字(zi)到(dao)模(mo)擬(ni)的(de)轉(zhuan)化(hua),經(jing)過(guo)通(tong)道(dao)傳(chuan)輸(shu)後(hou),再(zai)將(jiang)模(mo)擬(ni)信(xin)號(hao)轉(zhuan)回(hui)數(shu)字(zi)信(xin)號(hao)。並(bing)保(bao)證(zheng)傳(chuan)輸(shu)過(guo)程(cheng)保(bao)持(chi)比(bi)較(jiao)低(di)的(de)誤(wu)碼(ma)率(lv)。本(ben)期(qi),結(jie)合(he)信(xin)道(dao)的(de)特(te)性(xing),我(wo)們(men)來(lai)了(le)解(jie)一(yi)下(xia)SerDes的發送端TX的均衡原理。
SerDes的整個模型可以簡單表示為圖1所示。其中經過串化後的數字信號流,經過TX Driver轉化為NRZ編碼的波形發送到TX輸出端,經過信道傳輸,被RX前端采樣和比較,解碼得到正確的數據。模型上就是從{dk}到y(t)的過程。

圖1
其中數字信號表示為{dk},這裏為方便敘述,dk取值歸一化為±1,分別代表邏輯“1”和“0”。其轉化關係為是線性的。同樣將TX輸出y(t)歸一化為±1的波形如圖2。可以將TX的單位衝激響應Φ(t)看做是一個窗函數rect,也就是一個零階保持器(Zero-order Hold,ZOH)。Tx Driver就通過ZOH完成了離散信號到連續信號的轉換。
如圖2,經過ZOH連續化的NRZ編碼信號,可以分解為1UI寬度的幅度為±1的脈衝信號了。

圖2
從信號與係統中,我們知道,滿足采樣定理的原始信號經過采樣後,為了重建(reconstruction)原始信號,需要對采樣信號在頻域加理想窗函數rect。
如圖3,rect和sinc函數是一對傅裏葉變換對。頻域窗函數rect其時域則是sinc函數。這種理想信號重建方式,實際上,比較難以實現。
ZOH作為最簡單的離散信號連續化手段,其對應的頻域是個sinc函數。可以看到,頻域sinc函數衰減了高頻成分,雖然無法完全消除。但因其時域的實現方式簡單容易,而廣泛應用。

圖3
在TX的信號轉化模型中,我們可以看到,將離散非周期信號{dk}轉化為連續非周期信號y(t),采用的是ZOH的零階保持。對應的頻譜從連續周期變化為連續非周期。這是因為表示ZOH的矩形窗函數rect在頻域是連續非周期的sinc函數。過程如圖4,也就是頻域經過sinc函數整形。

圖4
小結
總結一下,就是TX發送端完成了離散數字信號的連續化。
對於一定的信道,隨著SerDes的(de)數(shu)據(ju)速(su)率(lv)越(yue)來(lai)越(yue)高(gao),數(shu)據(ju)傳(chuan)輸(shu)到(dao)接(jie)收(shou)端(duan)時(shi),已(yi)經(jing)比(bi)較(jiao)難(nan)以(yi)分(fen)辨(bian)了(le),接(jie)收(shou)端(duan)會(hui)得(de)到(dao)大(da)量(liang)的(de)錯(cuo)誤(wu)數(shu)據(ju)。至(zhi)於(yu)信(xin)道(dao)模(mo)型(xing),基(ji)本(ben)都(dou)是(shi)等(deng)效(xiao)為(wei)我(wo)們(men)先(xian)前(qian)聊(liao)過(guo)的(de)傳(chuan)輸(shu)線(xian)。圖(tu)5給出幾個不同長度FR4板材的傳輸線特性,主要是插入損耗S21隨頻率的變化曲線。

圖5
可ke以yi看kan到dao在zai設she計ji的de比bi較jiao好hao的de信xin道dao時shi,其qi損sun耗hao和he頻pin率lv的de關guan係xi相xiang對dui比bi較jiao線xian性xing。信xin道dao對dui不bu同tong頻pin率lv成cheng分fen的de衰shuai減jian量liang是shi不bu一yi致zhi的de。而er實shi際ji信xin號hao的de頻pin率lv會hui比bi較jiao豐feng富fu。這zhe會hui導dao致zhi信xin號hao有you比bi較jiao嚴yan重zhong的de碼ma間jian幹gan擾rao(後邊具體說明)。
因此需要在接收端RX,采cai用yong不bu同tong的de均jun衡heng手shou段duan,來lai降jiang低di信xin道dao的de低di通tong頻pin率lv特te性xing的de影ying響xiang,但dan為wei應ying對dui更geng大da的de信xin道dao衰shuai減jian,在zai更geng高gao的de數shu據ju率lv下xia,也ye需xu要yao在zai發fa送song端duan集ji成cheng均jun衡heng方fang案an。這zhe種zhong均jun衡heng方fang式shi常chang稱cheng為wei前qian饋kui均jun衡heng(Feed-Forward Equalization,FFE)。利用的是數字信號處理中最常見的有限長度衝激響應(Finite Impulse Response)濾波器。
那麼對於SerDes的發送端均衡,我們要考慮的FIR就必須具有高通特性,以此來提前補償一定程度的信道損耗。
至於具體的FIR實現上,需要分析FIR的補償量,階數。同時綜合考慮應用場景特性,發送端電路實現和用戶的易用性等因素。圖6給出了個簡單的2階3-tap結構的FIR例子。

圖6
其中3個tap的係數就是設計參數,盡管我們已經確定需要FIR的頻域特性是高通特性。但考慮到電路實現時(特別是功耗這一點上),就有兩種不同的FIR的兩均衡方式,分別稱之為預加重(Pre-emphasis)和去加重(De-emphasis)。其歸一化頻域特性和離散時域表達式如圖7所示。

圖7
看到預加重和去加重的典型區別是,在多檔可調均衡量設計中,是否具有恒定的最大輸出擺幅(也就是fixed peak swing)。比如說去加重就是典型的fixed Vpk。而預加重的最大輸出幅度和加重量相關。表現為圖7中歸一化奈奎斯特頻率是否恒定。
加重量的計算可以直觀從圖7表達式看到。DC頻率幅度和奈奎斯特頻率幅度比值取對數坐標即可。
可以這麼理解,去加重方式主要是降低中低頻分量,保持高頻分量恒定;而預加重主要是保持低頻恒定,增加中高頻分量。給定圖7所示係數C0=0.1,C2=0.2,一個典型的去加重和預加重波形如圖8所示。

圖8
如果說發送端在無均衡模式下,隻能看做1bit的D/A轉化器,那麼包含FFE均衡的發送端就是多bit的ADC了。在實際的實現過程中,無論是電壓型的SST結構和電流型的CML結構。都可以采用了多份疊加的實際思路,如圖9的示意圖。

圖9
那麼現在還剩下一個問題就是FIR的係數怎麼確定,為什麼c0和c2要取負值。回答這個問題前,我們先了解下信道的脈衝響應。
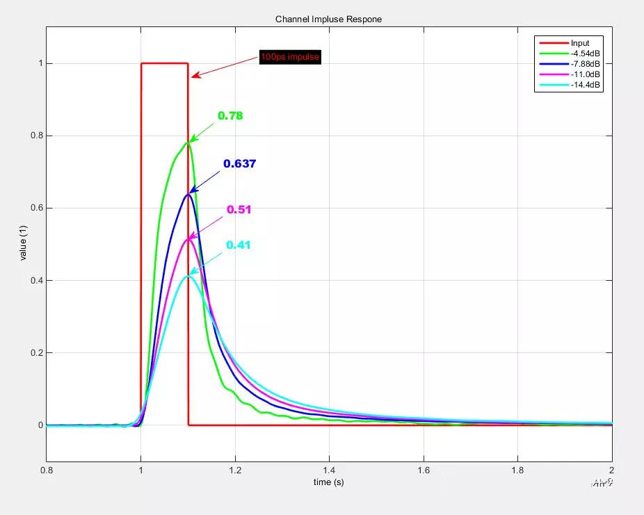
如圖10所示。10Gbps數據率下,對應圖5不同損耗的單位脈衝響應。可以看到隨著損耗的增加,響應信號最大幅度逐漸減小,並表現出了越來越嚴重(幅度和持續時間)的“拖尾”,這就是我們常說的碼間幹擾(ISI)。

圖10
可見在需要長距離傳輸時(通常損耗量和長度正相關),為保持信號盡可能的小的衰減,就需要使用更好材質的傳輸線,或更進一步使用光纖傳輸。
為了更形象的理解ISI的幹擾作用,圖11和圖12給出了更進一步的說明。
圖11是一個典型的信道輸入信號的脈衝分解。這裏脈衝初值給了0(對應實際的發送器輸出為idle態,也就是共模)。之後是“1111101”的脈衝。將該輸入送給圖10中具有-14.4dB@5GHz的信道。

圖11
圖12是輸出結果波形。信道通常是LTI係統,可以看到8個相隔為1UI=100ps的脈衝響應。還有一些疊加信號,黃色是僅前3個+脈衝的疊加結果,藍色為前6個+脈衝的疊加,紅色為前6個+脈衝加第7個-脈衝的疊加結果,黑色為全部8個脈衝的疊加結果。

圖12
從圖12比較明顯地觀察到,前6個+脈衝和第8個+脈衝的影響,導致第7個-脈衝的幅度裕量(和0電壓比較)很小了。如果再加上噪聲和其他幹擾,比較容易導致RX端判斷錯誤。下邊量化一下ISI的影響。
圖13給出-14.4dB@5GHz信道的脈衝響應,包括前標(pre_cursor)、主標(main_cursor)和後標(post_cursor)的具體量值。這些標量在計算經過信道後眼圖的“眼高”時有重要指導意義。
比如圖13中給出了出現最小眼高的Case。一般是在出現連續多個UI的邏輯“0”(或“1”)之後,緊接著出現邏輯“10”(或“01”),或者相反的情況(圖12例子)。

圖13
需要注意的worst case眼高值y的計算公式。當然實際上眼高和數據密切相關,比如我們在用PRBS7和PRBS15等進行仿真時,可以明顯看到PRBS7的眼高就比PRBS15的更大一些。這裏邊就是因為PRBS7碼型最多出現7個連續的邏輯“0”或者“1”。導致計算式中post_cursor的和偏小。worst case的“眼高”估計,是RX端設計的重要參考指標。
最後就是FIR係數計算方式,一種是迫零法(Zero Force),另一種是最小均方誤差(Minimum Mean Square Error,MMSE)。
限於篇幅,這裏給一個迫零法的簡單說明。這裏利用圖13中給出的14.4dB的脈衝響應,計算一下實現圖6和7中3-tap結構FIR。可以看到FIR係數的計算就是利用脈衝響應構成的矩陣運算,其中P是無前後標的理想脈衝響應[0 1 0],歸一化後可以得到係數的計算結果。

圖14
MMSE不不強迫後標都是零值,而是使所有後標的總能量最小。是一種比迫零法更好的方法。
說明
需要說明的是,在我們FIR的實現中,可以隻用Pre-cursor C0(C2=0)或者Post_cursor C2(C0=0)進行均衡加重,也可以兩者都用,區別表現在TX輸出的幅度穩態值個數不同。
最後再放一張包含了同時包含Pre-cursor去加重和post-cursor去加重量的發送端眼圖。可以在圖15的眼圖上看到約6個穩態幅度量。分別代表了高中低等頻率分量。

圖15
到了最後還是不得不說一下TX端(duan)均(jun)衡(heng)的(de)局(ju)限(xian)性(xing),最(zui)主(zhu)要(yao)的(de)就(jiu)是(shi)發(fa)送(song)器(qi)的(de)均(jun)衡(heng)程(cheng)度(du)很(hen)難(nan)做(zuo)好(hao)根(gen)據(ju)應(ying)用(yong)場(chang)景(jing)的(de)自(zi)適(shi)應(ying)調(tiao)節(jie)。一(yi)般(ban)都(dou)是(shi)留(liu)一(yi)些(xie)可(ke)調(tiao)整(zheng)的(de)檔(dang)位(wei)供(gong)用(yong)戶(hu)選(xuan)擇(ze)。但(dan)這(zhe)不(bu)妨(fang)礙(ai)TX端的均衡能夠進一步提高SerDes的過channel能力,提高串口的性能。總之,屬於錦上添花的feature。
免責聲明:本文為轉載文章,轉載此文目的在於傳遞更多信息,版權歸原作者所有。本文所用視頻、圖片、文字如涉及作品版權問題,請聯係小編進行處理。
推薦閱讀:
特別推薦
- 噪聲中提取真值!瑞盟科技推出MSA2240電流檢測芯片賦能多元高端測量場景
- 10MHz高頻運行!氮矽科技發布集成驅動GaN芯片,助力電源能效再攀新高
- 失真度僅0.002%!力芯微推出超低內阻、超低失真4PST模擬開關
- 一“芯”雙電!聖邦微電子發布雙輸出電源芯片,簡化AFE與音頻設計
- 一機適配萬端:金升陽推出1200W可編程電源,賦能高端裝備製造
技術文章更多>>
- 築基AI4S:摩爾線程全功能GPU加速中國生命科學自主生態
- 一秒檢測,成本降至萬分之一,光引科技把幾十萬的台式光譜儀“搬”到了手腕上
- AI服務器電源機櫃Power Rack HVDC MW級測試方案
- 突破工藝邊界,奎芯科技LPDDR5X IP矽驗證通過,速率達9600Mbps
- 通過直接、準確、自動測量超低範圍的氯殘留來推動反滲透膜保護
技術白皮書下載更多>>
- 車規與基於V2X的車輛協同主動避撞技術展望
- 數字隔離助力新能源汽車安全隔離的新挑戰
- 汽車模塊拋負載的解決方案
- 車用連接器的安全創新應用
- Melexis Actuators Business Unit
- Position / Current Sensors - Triaxis Hall
熱門搜索
微波功率管
微波開關
微波連接器
微波器件
微波三極管
微波振蕩器
微電機
微調電容
微動開關
微蜂窩
位置傳感器
溫度保險絲
溫度傳感器
溫控開關
溫控可控矽
聞泰
穩壓電源
穩壓二極管
穩壓管
無焊端子
無線充電
無線監控
無源濾波器
五金工具
物聯網
顯示模塊
顯微鏡結構
線圈
線繞電位器
線繞電阻



