分析PID控製到底是怎麼回事
發布時間:2020-05-11 責任編輯:lina
【導讀】在實際工程中,應用最為廣泛的調節器控製規律為比例、積分、微分控製,簡稱PID控製,又稱PID調節。
在實際工程中,應用最為廣泛的調節器控製規律為比例、積分、微分控製,簡稱PID控製,又稱PID調節。

PID控製器問世至今以其結構簡單、穩定性好、工作可靠、調整方便而成為工業控製的主要技術之一。
當dang被bei控kong對dui象xiang的de結jie構gou和he參can數shu不bu能neng完wan全quan掌zhang握wo,或huo得de不bu到dao精jing確que的de數shu學xue模mo型xing時shi,控kong製zhi理li論lun的de其qi它ta技ji術shu難nan以yi采cai用yong時shi,係xi統tong控kong製zhi器qi的de結jie構gou和he參can數shu必bi須xu依yi靠kao經jing驗yan和he現xian場chang調tiao試shi來lai確que定ding,這zhe時shi應ying用yongPID控製技術最為方便。即當我們不完全了解一個係統和被控對象,或不能通過有效的測量手段來獲得係統參數時,最適合用PID控製技術。
PID控製,實際中也有PI和PD控製。PID控製器就是根據係統的誤差,利用比例、 積分、微分計算出控製量進行控製的。PID控製器的參數整定是控製係統設計的核心內容!
如果你從來沒有接觸過PID,看完這篇文章你就會明白PID控製到底是怎麼回事了!
1.假設我們麵對的係統是一個簡單的水箱液位,要從空箱開始注水達到某個高度,而你能控製的變量就是注水籠頭的開關大小。這個簡單的數學模型就是:dx=u。
對於這個係統,我們隻需要一個比例環節u=k pe就能將其控製住。
此時,kp的大小代表了水龍頭的粗細(即出水量大小對液位誤差的敏感程度,假設水龍頭開度與誤差正比關係),越粗調的越快,也就是所謂的“增大比例係數一般會加快係統響應”。如下圖:

2.假設這個水箱不僅僅是裝水的容器了,還需要持續穩定的給用戶供水。這個係統的數學模型就需要增加一項:dx=u-c,這裏的c是個正的常數。
我們發現如果控製器隻有一個比例環節,那麼當係統穩定,也就是dx=0的時候,恰好e=c/kp,在係統穩定時不為0,液位離我們想要的高度總是差那麼一點,這也就是所謂的穩態誤差,或者叫靜差。
這時候c是固定的,那麼當然kp越大,e就越小。這也就是所謂的增大比例係數P在有靜差的情況下有利於減小靜差。如下圖:

3.從上麵的公式e=c/kp可以看出,kp再大也不可能把e變成0。老是調不到預定位置老板是會罵人的,這可咋辦?
ranhouyourenjiuxiangdao,dierxiaojielitoushuixianggendiyixiaojiedexiangbi,jiuduoleyigeloushuidekulong。talouduoshaowogeitabuduoshao,nabujiuchenglediyixiaojielidejiandanxitongleme!靠誰補呢?積分環節這時候就派上用場了。
我們把之前的控製器變成比例環節+積分環節:

積(ji)分(fen)環(huan)節(jie)的(de)意(yi)義(yi)就(jiu)相(xiang)當(dang)於(yu)你(ni)增(zeng)加(jia)了(le)一(yi)個(ge)水(shui)龍(long)頭(tou),這(zhe)個(ge)水(shui)龍(long)頭(tou)的(de)開(kai)關(guan)規(gui)則(ze)是(shi)水(shui)位(wei)比(bi)預(yu)定(ding)高(gao)度(du)低(di)就(jiu)一(yi)直(zhi)往(wang)大(da)了(le)擰(ning),比(bi)預(yu)定(ding)高(gao)度(du)高(gao)就(jiu)往(wang)小(xiao)了(le)擰(ning)。如(ru)果(guo)漏(lou)水(shui)速(su)度(du)不(bu)變(bian),那(na)麼(me)總(zong)有(you)一(yi)天(tian)這(zhe)個(ge)水(shui)龍(long)頭(tou)出(chu)水(shui)的(de)速(su)度(du)恰(qia)好(hao)跟(gen)漏(lou)水(shui)的(de)速(su)度(du)相(xiang)等(deng)了(le),係(xi)統(tong)就(jiu)和(he)第(di)一(yi)小(xiao)節(jie)一(yi)樣(yang)了(le)。那(na)時(shi),靜(jing)差(cha)就(jiu)沒(mei)有(you)了(le)。這(zhe)就(jiu)是(shi)所(suo)謂(wei)的(de)積(ji)分(fen)環(huan)節(jie)可(ke)以(yi)消(xiao)除(chu)係(xi)統(tong)靜(jing)差(cha)。
4.什麼叫積分時間常數呢?一般PID控製裏,表示積分環節敏感度的那個係數中,Ti就是積分時間常數。從這個式子我們可以看出,積分時間常數越大,積分環節係數就越小,積分環節就越不敏感(也就是第二個水龍頭越細)。
當隻有一個比例環節的水龍頭注水的時候,是不會注水注多的,因為離得越近水龍頭關的越小。
但dan是shi當dang用yong兩liang個ge水shui龍long頭tou注zhu水shui的de時shi候hou,在zai沒mei到dao預yu定ding高gao度du前qian第di二er個ge積ji分fen環huan節jie的de水shui龍long頭tou可ke以yi一yi直zhi往wang大da了le擰ning,當dang到dao達da預yu定ding高gao度du的de時shi候hou它ta恰qia好hao擰ning到dao最zui大da,自zi然ran而er然ran就jiu會hui注zhu水shui注zhu多duo了le,而er多duo出chu去qu的de這zhe部bu分fen水shui叫jiao做zuo“超調”。第二個水龍頭越粗,多注的水就會越多,它調到恰好等於漏水速度的時間就會越快,同時會多更多波折。
於是,老師告訴我們增大積分時間I有利於減小超調,減小振蕩,使係統的穩定性增加,但是係統靜差消除時間變長。如下圖:

5.接下來看點有意思的東西。還是上麵這個係統,假如我們選用相同的積分時間常數,但是選擇不同的比例係數會如何呢?

看到上麵這幅圖,一些記性好的童鞋可能會有疑問。因為老師明明說過”過大的比例係數會使係統有比較大的超調,並產生振蕩,使穩定性變壞“,但是上麵這幅圖裏怎麼比例大的反而超調小呢?
其實上麵這幅圖很好解釋,小節4裏我們說明了PI控kong製zhi器qi超chao調tiao出chu現xian原yuan因yin是shi積ji分fen這zhe個ge水shui龍long頭tou在zai到dao達da目mu標biao液ye位wei時shi也ye恰qia好hao開kai到dao了le最zui大da。而er比bi例li這zhe個ge水shui龍long頭tou越yue粗cu,那na麼me它ta在zai超chao出chu目mu標biao液ye位wei時shi對dui超chao調tiao的de抑yi製zhi也ye就jiu越yue明ming顯xian。
這裏,我想強調的是: PID參數整定的結論是根據普遍經驗總結的,但是針對某個具體的係統不一定完全適用。
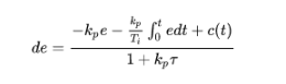
6.在上麵的係統中,我們假設用戶用水的固定的一個值,但是實際情況中用戶的用水量往往是變化的。假如我們的係統是dx=u-c(t)呢?
我們試著來分析一下:
我們的控製目標是讓x=xd,係統誤差的定義是:e=xd-x;
那麼,誤差狀態方程就是:;
我們設定的控製目標是個常數,所以xd=0;
,從這個式子可以看出,當e=0時,不再變化,而c(t)是始終變化的。
此時de不恒為零,也就是說e不恒為零。
當c變成c(t)的時候,e=0就不再是係統的穩定平衡點了,經典意義上係統不再穩定。
7.這裏加一個微分環節D變成PID控製會不會讓係統重新穩定呢?
當加入微分環節,

,那麼,

,對於任意,微分環節都讓de的變化減慢了。
這也就是“微分環節主要作用是在響應過程中抑製偏差向任何方向的變化”,“微分常數不能過大,否則會使響應過程提前製動,延長調節時間”。
至於“微分環節會提高係統抗擾動能力,降低係統抗噪聲能力”,更多指的是大多數細微測量噪聲造成的e很小,但瞬時的de較大,微分環節相對於PI環節更容易收到這些細微噪聲的影響。
但是,無論如何選取微分參數,PID控製都不能使係統穩定。
從這裏,我們可以看到PID控製的局限。
希望大家不要死記口訣,多用所學到的控製理論來針對具體問題具體分析。
免責聲明:本文為轉載文章,轉載此文目的在於傳遞更多信息,版權歸原作者所有。本文所用視頻、圖片、文字如涉及作品版權問題,請聯係小編進行處理。
特別推薦
- 噪聲中提取真值!瑞盟科技推出MSA2240電流檢測芯片賦能多元高端測量場景
- 10MHz高頻運行!氮矽科技發布集成驅動GaN芯片,助力電源能效再攀新高
- 失真度僅0.002%!力芯微推出超低內阻、超低失真4PST模擬開關
- 一“芯”雙電!聖邦微電子發布雙輸出電源芯片,簡化AFE與音頻設計
- 一機適配萬端:金升陽推出1200W可編程電源,賦能高端裝備製造
技術文章更多>>
- 築基AI4S:摩爾線程全功能GPU加速中國生命科學自主生態
- 一秒檢測,成本降至萬分之一,光引科技把幾十萬的台式光譜儀“搬”到了手腕上
- AI服務器電源機櫃Power Rack HVDC MW級測試方案
- 突破工藝邊界,奎芯科技LPDDR5X IP矽驗證通過,速率達9600Mbps
- 通過直接、準確、自動測量超低範圍的氯殘留來推動反滲透膜保護
技術白皮書下載更多>>
- 車規與基於V2X的車輛協同主動避撞技術展望
- 數字隔離助力新能源汽車安全隔離的新挑戰
- 汽車模塊拋負載的解決方案
- 車用連接器的安全創新應用
- Melexis Actuators Business Unit
- Position / Current Sensors - Triaxis Hall
熱門搜索




