PCIe Gen3/Gen4接收端鏈路均衡測試(上篇:理論篇)
發布時間:2020-04-09 來源:泰克科技應用工程師 李煜 責任編輯:wenwei
【導讀】PCIe接口自從被推出以來,已經成為了PC和Server上最重要的接口。為了更高了數據吞吐率,PCI-SIG組織不斷刷新接口標準,從PCIe 3.0的8GT/s數據速率,到PCIe 4.0的16GT/s數據速率,再到PCIe 5.0的32GT/x。PCI-SIG組織實現了在速率翻倍的同時,仍能保持使用普通的FR4板材和廉價接插件,主要源自兩個方麵的改進,一是使用128b/130b編碼來代替8b/10b編碼,使得編碼效率大幅提高;另一個是使用動態均衡技術,來代替先前代的靜態均衡技術。
這裏聚焦於PCIe 3.0和4.0中的動態均衡技術,介紹其原理、實現及其相關的一致性測試。這樣一種動態均衡技術,在spec中被稱作“Link Equalization”(鏈路均衡,簡稱為LEQ)。本係列文章分上下兩篇,本文理論篇主要介紹PCIe 3.0/4.0的鏈路均衡的工作原理,下一篇實踐篇則側重於鏈路均衡的測試和調試。
另外,泰克PCI Express專家David Bouse將在4月10日(周五)13:00-16:00直播課堂【PCI Express 5.0規範更新解讀和測試揭秘】講解如何解決PCIe 5.0的新測試挑戰https://info.tek.com/cn-pcie-mofu.html。
PCIe 3.0 & 4.0的鏈路均衡
在PCIe 3.0和4.0中的鏈路均衡技術相較於先前代要複雜得多,這樣一種動態均衡技術可以分為兩個方麵進行討論。
● 均衡特性方麵:從這個方麵來說,相對於先前代的均衡來說,3.0和4.0中的均衡技術的硬件性能指標要求更高了。
● 協議方麵:為了實現動態地調整均衡設置,需要協議層的配合,這是通過PHY層的LTSSM狀態機中的Recovery.Equalization子狀態來實現的。
先來從均衡特性的角度來看看PCIe 3.0和4.0的均衡,如下展示了在PCIe 3.0/4.0中所使用的全部均衡技術,在Tx端有FFE(Feed Forward Equalizer,前饋均衡器);在Rx端有:CTLE(Continuous Time Linear Equalizer,連續時間線性均衡器)和DFE(Decision Feedback Equalizer,判決反饋均衡器)。通過FFE和CTLE,可以去除大部分由ISI所引入的抖動;通過DFE可以進一步去除ISI,它還能去除部分的阻抗失配所造成的反射。通過這些均衡處理,就能夠最大程度上地保證在接收端判決輸入處將眼圖打開。
除了上述這些均衡特性上的支持外,在協議層(LTSSM)中還規定需要通過協議的方式來動態調整鏈路上的均衡設定值,這整個過程稱作鏈路均衡(Link Equalization,LEQ)。在鏈路均衡過程中:
● 本地端按照某個初始Tx EQ的設定來發送數據;
● 對端在接收到數據時,會根據誤碼率或信號質量來判斷該Tx EQ是否合適;
● 若不合適,對端會通過協議向本地端請求一個新的Tx EQ值;
● 本地端在接收到這個請求值之後,會改變Tx EQ的值。
通過這一動態過程,就能夠保證鏈路上的Tx EQ為最優值。與此同時,本地端和對端也會同時調整Rx EQ。通過動態地調整Tx EQ和Rx EQ,就能夠靈活地適應不同的信道情況。

圖1 LEQ硬件實現的模塊框圖
發送端的均衡:FFE
在PCIe 3.0 & 4.0中使用的都是3-tap FFE,如圖 2a所示。其中,為數字信號,建模時取值為±1;為FFE的抽頭係數;為發送端的模擬信號輸出。

(a)FFE的模型框圖 (b) FFE的模擬電壓輸出
圖2 PCIe 3.0 & 4.0發送端所使用的3-tap的FFE
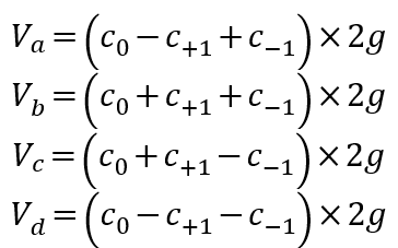
理想情況下的差分電壓幅度有:23÷2=4種可能性,這四個電壓幅度在PCIe標準中(如圖 2b所示)分別被標記為Va,Vb,Vc,Vd。

其中,Vb被稱作去加重電壓(de-emphasis voltage),Vc被稱作預衝電壓(preshoot voltage);Vd被稱作最大幅度電壓(boost voltage),PCIe標準中沒有為Va取一個專門的名字。在此基礎上,標準中通過三組比值來完備地描述FFE的性能:

若不加限製的來說,那麼形成的組合有無窮多個。但並不是所有的組合在實際應用中都是合適的。其中一個最重要的約束條件就是:去加重電壓Vb不能過小,過小的去加重電壓會導致輸出信號在接收端的眼高過低。因此通過BOOST比值對去加重地電壓幅值進行限製:對於滿擺幅的Tx輸出,規範要求BOOST≤9.5dB;對於減擺幅的Tx輸出,規範要求BOOST≤3.5dB。最終會形成一個如圖 3類似的矩陣表,圖中係數的粒度為1/24。在實際應用中可以是其他的粒度值,例如1/64;更小的粒度能夠使係數空間的取值可能性更多,在LEQ調節時也更精細。

圖3 發送端均衡的係數空間的矩陣表舉例
鑒於係數空間上的取值可能性較多,PCI-SIG協會在開發協議的過程中,廣泛地研究了在不同插入損耗下最優的係數取值組合;最後選定了若幹個特定的係數取值組合,並把它們稱作預設定值(preset),在實際的LEQ過程中,鏈路雙方就可以先采用預設定值進行粗調;若還認為鏈路的均衡設置仍然沒有達到最優,可以進一步通過係數空間的方式進行細調,最終達到速度和精度的平衡。
接收端的均衡:CTLE和DFE
在PCIe 3.0 & 4.0 基礎規範中,並沒有明確地規定接收端的結構是怎樣的;而隻是從測量的角度對接收端性能進行了規定。相反地,在規範中定義了一個行為級CTLE和行為級DFE。這些行為級模型可以作為設計指南;並(bing)且(qie)為(wei)了(le)使(shi)得(de)待(dai)測(ce)對(dui)象(xiang)能(neng)夠(gou)通(tong)過(guo)規(gui)範(fan)的(de)要(yao)求(qiu),一(yi)般(ban)來(lai)說(shuo)用(yong)戶(hu)所(suo)設(she)計(ji)的(de)接(jie)收(shou)端(duan)性(xing)能(neng)至(zhi)少(shao)要(yao)等(deng)於(yu)這(zhe)些(xie)行(xing)為(wei)級(ji)模(mo)型(xing)的(de)性(xing)能(neng),可(ke)以(yi)強(qiang)於(yu)這(zhe)些(xie)行(xing)為(wei)級(ji)模(mo)型(xing),但(dan)不(bu)能(neng)弱(ruo)於(yu)這(zhe)些(xie)行(xing)為(wei)級(ji)模(mo)型(xing)。

(a) (b)
圖4 行為級CTLE的頻響曲線:(a) PCIe 3.0 (b) PCIe 4.0
發送端的輸出在經過一段很長的FR4走線之後,僅僅使用CTLE,可能是不夠的。因此在PCIe 3.0 & 4.0中,還使用了DFE的技術。在3.0中,使用1-tap的DFE,而在4.0,由於速率相對於3.0翻倍了;所以使用2-tap的DFE,以便移除更大的ISI。
與線性均衡器FFE和CTLE相比,DFE為一種非線性均衡器。DFE的基本想法是:若已經正確接收了之前的比特數據的話;那麼先前的比特數據對當前比特所產生的影響就是已知的;從而我們就可以通過反饋的方式進行補償,這樣就能夠進一步消除抖動和噪聲的影響。不難看出這裏的非線性體現在:反饋回來的信號是經過判決之後的數字信號;而判決電路是一種非線性電路。顯然,反饋通路上的抽頭數目越多,那麼對抖動和噪聲的消除可能就越好;這也就是為什麼3.0中使用1-tap的DFE,而在4.0中使用2-tap的DFE。

(a) (b)
圖5 行為級DFE的結構:(a) PCIe 3.0 (b) PCIe 4.0
鏈路均衡過程
鏈路上的兩端剛開始建立通信的時候,並不知道整個信道的物理特性是怎樣的,例如插入損耗多大,是否有阻抗不連續等。由於PCIe 3.0和4.0的(de)插(cha)入(ru)損(sun)耗(hao)允(yun)許(xu)的(de)變(bian)化(hua)範(fan)圍(wei)很(hen)大(da),一(yi)個(ge)靜(jing)態(tai)的(de)均(jun)衡(heng)設(she)置(zhi)並(bing)不(bu)能(neng)覆(fu)蓋(gai)所(suo)有(you)的(de)情(qing)況(kuang)。這(zhe)樣(yang)就(jiu)需(xu)要(yao)鏈(lian)路(lu)上(shang)的(de)雙(shuang)方(fang)根(gen)據(ju)當(dang)前(qian)物(wu)理(li)信(xin)道(dao)的(de)特(te)性(xing),來(lai)動(dong)態(tai)地(di)調(tiao)整(zheng)均(jun)衡(heng)設(she)置(zhi),使(shi)得(de)均(jun)衡(heng)設(she)置(zhi)對(dui)於(yu)當(dang)前(qian)的(de)物(wu)理(li)信(xin)道(dao)來(lai)說(shuo)是(shi)最(zui)優(you)的(de)。假(jia)設(she)Port A和Port B是一個鏈路上的兩端,那麼鏈路均衡過程要做的事情有:
● 配置Port A和Port B的初始均衡設置;
● 配置從Port A Tx à Port B Rx這一方向的均衡設置;
● 配置從Port B Tx à Port A Rx這一方向的均衡設置;
下麵我們以Port A Tx à Port B Rx這一方向來說明鏈路均衡時如何實現的。如圖 6所示,在8GTs/或者16GT/s速率下的鏈路開始建立通信時,是以初始的未優化的TX EQ在發送TS1/TS2序列,並且Port A在TS1/TS2序列中表明其所用的TX EQ的值。

圖6 LEQ: 本地端發送未經優化的初始TX EQ
當Port B Rx在接收到這些TS1/TS2序列時,芯片內部存在一塊電路或者一套算法來評估當前的TX EQ是否合適,若認為不合適,就會如圖7所示,發送TS1序列來請求一個新的TX EQ。

圖7 LEQ:對端請求一個新的TX EQ
隨後,Port A會接收到請求設置TX EQ的TS1序列,如圖8所示,調整其TX端的FFE的設置。

圖8 LEQ:本地正確地接收到了對端的請求,設置新的TX EQ
Port A在調整完Tx FFE的設置之後,如圖9所示,會將新的TX EQ設置值更新到TS1/TS2的序列之中,發送到Port B端。若Port B仍然覺得這個時候的TX EQ不是最優,那麼仍然會重複圖中的2~4步驟,直到達到最優的TX EQ。當然上述過程並不能無限進行下去,必須要在大概32ms的範圍進行完。

圖9 LEQ:本地端告知對端已成功設置新的TX EQ
在上述2~4步驟的同時,Port B的RX端也在不停地調整其RX EQ,如圖 10所示。如圖6~圖10中所討論的,LEQ是基於請求-響應機製來完成動態均衡的。在PCIe的規範中,LEQ總共包含四個階段:Phase 0、Phase 1、Phase 2、Phase 3。其中上行端口包含全部四個過程;而下行端口不包含Phase 0。

圖10 LEQ:整個過程中同時調整RX EQ
通過圖11不難看出,在LEQ過程中,上行端口和下行端口的行為是有區別的。以上描述的是在LEQ過程中鏈路上的雙方如何調整Tx EQ。而對於Rx EQ,根據Base規範中的說明,在整個LEQ的過程、以及在後續正常工作的過程中,鏈路雙方都可以一直調整Rx EQ。

圖11 LEQ的狀態跳轉示意圖
關於泰克科技
泰克公司總部位於美國俄勒岡州畢佛頓市,致力提供創新、精確、操作簡便的測試、測量和監測解決方案,解決各種問題,釋放洞察力,推動創新能力。70多年來,泰克一直走在數字時代前沿。歡迎加入我們的創新之旅,敬請登錄:tek.com.cn
推薦閱讀:
特別推薦
- 噪聲中提取真值!瑞盟科技推出MSA2240電流檢測芯片賦能多元高端測量場景
- 10MHz高頻運行!氮矽科技發布集成驅動GaN芯片,助力電源能效再攀新高
- 失真度僅0.002%!力芯微推出超低內阻、超低失真4PST模擬開關
- 一“芯”雙電!聖邦微電子發布雙輸出電源芯片,簡化AFE與音頻設計
- 一機適配萬端:金升陽推出1200W可編程電源,賦能高端裝備製造
技術文章更多>>
- 築基AI4S:摩爾線程全功能GPU加速中國生命科學自主生態
- 一秒檢測,成本降至萬分之一,光引科技把幾十萬的台式光譜儀“搬”到了手腕上
- AI服務器電源機櫃Power Rack HVDC MW級測試方案
- 突破工藝邊界,奎芯科技LPDDR5X IP矽驗證通過,速率達9600Mbps
- 通過直接、準確、自動測量超低範圍的氯殘留來推動反滲透膜保護
技術白皮書下載更多>>
- 車規與基於V2X的車輛協同主動避撞技術展望
- 數字隔離助力新能源汽車安全隔離的新挑戰
- 汽車模塊拋負載的解決方案
- 車用連接器的安全創新應用
- Melexis Actuators Business Unit
- Position / Current Sensors - Triaxis Hall
熱門搜索



