PCB上的器件熱耦合與散熱解決方案
發布時間:2019-02-26 責任編輯:lina
【導讀】任何散熱解決方案的目標都是確保設備的工作溫度不超過其製造商規定的安全限值。在電子工業中,這個工作溫度被稱為器件的“結溫”。例如,在處理器中,這個術語字麵上指的是電能轉換為熱量的半導體結。
任何散熱解決方案的目標都是確保設備的工作溫度不超過其製造商規定的安全限值。在電子工業中,這個工作溫度被稱為器件的“結溫”。例如,在處理器中,這個術語字麵上指的是電能轉換為熱量的半導體結。
為wei了le保bao持chi工gong作zuo,熱re量liang必bi須xu以yi確que保bao可ke接jie受shou的de結jie溫wen的de速su率lv流liu出chu半ban導dao體ti。當dang熱re流liu從cong整zheng個ge器qi件jian封feng裝zhuang的de結jie處chu移yi動dong時shi,這zhe種zhong熱re流liu遇yu到dao阻zu力li,就jiu像xiang電dian子zi在zai流liu過guo導dao線xian時shi麵mian對dui電dian阻zu一yi樣yang。在zai熱re力li學xue方fang麵mian,這zhe種zhong電dian阻zu稱cheng為wei導dao電dian電dian阻zu,由you幾ji個ge部bu分fen組zu成cheng。從cong結jie點dian開kai始shi,熱re量liang可ke以yi流liu向xiang元yuan件jian的de殼ke體ti,可ke以yi放fang置zhi散san熱re器qi。這zhe被bei稱cheng為weiΘJC,或結至殼體的熱阻。熱量也可以從組件的頂部表麵流出並流入板中。這被稱為結到電路板電阻,或ΘJB
ΘJB定義為當熱路徑僅從結點到電路板時,結點和電路板之間的溫差除以功率。為了測量ΘJB,器件的頂部是絕緣的,冷板連接到電路板邊緣(圖1)。這是真正的熱阻,這是器件的特性。唯一的問題是,在實際應用中,人們不知道從不同路徑傳輸了多少功率。

圖1:橫截麵圖環形冷板RΘJB 2 。
ΨJB是使用多個傳熱路徑時的溫差的度量,例如組件的側麵和頂部董事會。這些多路徑是實際係統中固有的,必須謹慎使用測量。
youyuzujianneiyouduogechuanrelujing,dangedianzubunengyongyujingquejisuanjiewen。congjiedaohuanjingderezubixujinyibuxifenweidianzuwangluo,yitigaojiewenyucedejingdu。jianhuadedianzuwangluorutu2所示。

圖2:結至環境電阻網絡。
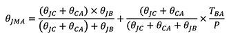
Joiner等人 1 完成的先前工作將ΘJMA與電路板溫度相關聯(見公式1)。 ΘJMA是在評估所有傳熱路徑時從結到環境的總熱阻。在這種情況下,ΘCA由散熱器熱阻以及器件和接收器之間的界麵電阻表示。
表1列出了典型BGA組件的JEDEC參數。這些用於以下示例計算中:
ΘJMA=移動空氣熱阻的結點
ΘJB=結至電路板的熱阻
ΘJC=結至殼體的熱阻
ΘCA= Case環境熱阻
TBA =電路板溫升

參數說明值單位ΘJC熱電阻 -
結到外殼0.45°C/WΘJB熱阻 -
結至電路板2.6°C/W TDP熱設計功率20 W Tj最高結溫105°C
表1:典型熱封裝規格
suizhedianlubanbujubiandeyuelaiyuemiji,xuyaoshejichushiyongjinkenengshaokongjiandeyouhuasanrejiejuefangan。jianeryanzhi,meiyouyuliangyunxuguodushejidesanreqijuyoujinmideyuanjianjianju。kaolvbanouhedeyingxiangshizhezhongyouhuadezhongyaobufen。zhiyouzaikaolvjiekedaoketidechuanrelujingshicaicunzaishiyongchaodachicunsanreqidekenengxing。
為確保在55°C環境溫度下的105°C結溫,典型元件(見表1)需要2.05°C/W的散熱器電阻(如果忽略電路板導通)。當考慮電路板導通時,假設電路板溫度與空氣溫度相同,實際結溫可能低至74°C。這表示散熱片大於必要的溫度。
從這個例子可以看出,必須考慮來自元件連接點的所有傳熱路徑。僅使用ΘJC和ΘCA值(zhi)可(ke)能(neng)導(dao)致(zhi)大(da)於(yu)最(zui)佳(jia)的(de)散(san)熱(re)器(qi),並(bing)且(qie)可(ke)能(neng)無(wu)法(fa)準(zhun)確(que)預(yu)測(ce)工(gong)作(zuo)結(jie)溫(wen)。使(shi)用(yong)建(jian)議(yi)的(de)相(xiang)關(guan)性(xing)也(ye)可(ke)以(yi)預(yu)測(ce)從(cong)實(shi)驗(yan)中(zhong)得(de)知(zhi)電(dian)路(lu)板(ban)溫(wen)度(du)時(shi)的(de)結(jie)溫(wen),如(ru)圖(tu)3所示。

圖3:電路板溫度升高對結溫的影響。
當存在多個元件時,情況變得比僅使用電路板上的單個元件複雜得多。通過PCB的組件之間存在傳導耦合,以及組件和相鄰卡之間的輻射和對流耦合。圖4顯示了一個帶有兩個元件的簡單PCB。兩個元件的功耗假定為P1和P2,並且假設我們可以忽略輻射傳熱。每個器件下的電路板溫度分別為Tb1和Tb2。我們還假設電路板上兩個元件之間的橫向電阻為θb1b2。

圖4:具有兩個元件的PCB的簡單原理圖。

圖5:具有兩個組件的PCB的簡單電阻網絡。
在節點J1,J2處應用能量平衡,b1和b2:

有四個方程和四個未知數:Tj1,Tj2。 Tb1和Tb2。未wei知zhi數shu可ke以yi通tong過guo求qiu解jie聯lian立li方fang程cheng來lai確que定ding。這zhe個ge簡jian單dan的de例li子zi表biao明ming,通tong過guo傳chuan導dao路lu徑jing耦ou合he兩liang個ge元yuan件jian,找zhao到dao結jie溫wen會hui變bian得de複fu雜za得de多duo。在zai實shi際ji應ying用yong中zhong,當dang遇yu到dao具ju有you不bu同tong導dao電dian平ping麵mian的de多duo個ge組zu件jian和he多duo個gePCB時,情況比上述示例複雜得多,所有導電平麵都通過傳導,對流和輻射相互作用。
為了獲得合理的答案,設計師必須使用合理的工程判斷來近似不同組件之間的耦合。這可以通過以下方法實現:
方法1 - 使用控製體積法或電阻網絡模型的分析模型。這種方法需要過度簡化問題;否則解決方案變得非常複雜和不切實際。
方法2 - 在簡化幾何上使用CFD,如Guenin [4] 所述。該方法表明組件的等效表麵積為:
其中An是組件的等效占位麵積,Pn是組件的功耗,PTotal是總功耗,ATotal是PCB的總表麵積。在計算等效占位麵積之後,可以使用CFD模擬具有占位麵積An和功耗為1瓦的單個元件的簡單PCB。此過程可有效計算電路板溫度與環境溫度(θBA)之間的差值,功耗為1瓦。圖6顯示了一個這樣的元件的CFD模擬,圖7顯示了θBA作為PCB尺寸的函數。圖7可用於通過簡單計算其有效占地麵積來確定其他組件的θBA。假設所有組件具有相同的占位麵積。

圖6:PCB上單個組件的CFD模擬

圖7:作為PCB尺寸 4 的函數的ΘBA分布。
電路板溫度可以計算如下:
結溫可以計算為:
其中ψJB是特征參數。
方法3 - 如果PCB可用,通過實驗測量電路板溫度TB,並使用公式8來查找結溫。同樣,這是近似值,因為器件耦合到PCB的條件可能與JEDEC測試板使用的條件完全不同。
特別推薦
- 噪聲中提取真值!瑞盟科技推出MSA2240電流檢測芯片賦能多元高端測量場景
- 10MHz高頻運行!氮矽科技發布集成驅動GaN芯片,助力電源能效再攀新高
- 失真度僅0.002%!力芯微推出超低內阻、超低失真4PST模擬開關
- 一“芯”雙電!聖邦微電子發布雙輸出電源芯片,簡化AFE與音頻設計
- 一機適配萬端:金升陽推出1200W可編程電源,賦能高端裝備製造
技術文章更多>>
- 築基AI4S:摩爾線程全功能GPU加速中國生命科學自主生態
- 一秒檢測,成本降至萬分之一,光引科技把幾十萬的台式光譜儀“搬”到了手腕上
- AI服務器電源機櫃Power Rack HVDC MW級測試方案
- 突破工藝邊界,奎芯科技LPDDR5X IP矽驗證通過,速率達9600Mbps
- 通過直接、準確、自動測量超低範圍的氯殘留來推動反滲透膜保護
技術白皮書下載更多>>
- 車規與基於V2X的車輛協同主動避撞技術展望
- 數字隔離助力新能源汽車安全隔離的新挑戰
- 汽車模塊拋負載的解決方案
- 車用連接器的安全創新應用
- Melexis Actuators Business Unit
- Position / Current Sensors - Triaxis Hall
熱門搜索





