分析運算放大器和反饋電阻的動態特性
發布時間:2018-11-12 責任編輯:lina
【導讀】 運算放大器從有限增益單極放大器近似為無限增益單極運算放大器,推導出跨阻放大器電路的增益,如圖1所示。
運算放大器從有限增益單極放大器近似為無限增益單極運算放大器,推導出跨阻放大器電路的增益,如圖1所示。

圖1:一個看似簡單的電路隻有兩個器件:運算放大器和反饋電阻。
從第一部分得知,推導增益即跨阻抗為:

極點是:

fangdaqizengyishiwomenyoujihuijiangkongzhililunyingyongyudianlu。zhegelizijiangshuomingkongzhililunzailijiedianludongtaitexingshidezhongyaoxingheshiyongxing。zhubushishi,erbushiyigunaoquanduijinlai,xiwangzheyangnenggouduikongzhijishujiqiyingyongfangshiyoushenrulejie。
極點對(二次)多項式通常表示為:

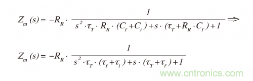
放大器的諧振時間常數τn = 1/ωn = 1/(2 x π x fn)和阻尼ζ分別為:

當ζ<1時,極點變為複數極點對,極角為:

對於實極點,ζ > 1且φ = 0。
對於恒定組(或包絡)時延(最大平坦包絡延遲/MFED或貝塞爾)響應,相位隨頻率線性減小,並且發生在φ = 30o的極角處。所有頻率的時延都是相同的,保持波形不變。然後:

對於跨阻放大器MFED響應:

對於臨界阻尼(沒有過衝的最快階躍響應),ζ = 1且τT = 4 x τi或fT = fi/4。兩個極點都是fi/2。
隨著RR變大、fi減小,放大器在vix中顯示出更大的過衝。在某種程度上,這對於Z-meter是有利的,因為極角φ = 45°,阻尼ζ = cos(φ) = cos(45o) ≈ 0.707,並且頻率(或幅度)響應是恒定或平坦的,接近帶寬頻率。這就是最大平坦幅度(MFA)頻率響應。對於穩態(頻域)應用,MFA響應是最佳的。對於具有理想階躍響應的瞬態(時域)應用,MFED響應是最佳的。(在示波器垂直放大器的設計中,優化兩種響應的標準是衝突的。)
運放速度和放大器穩定性
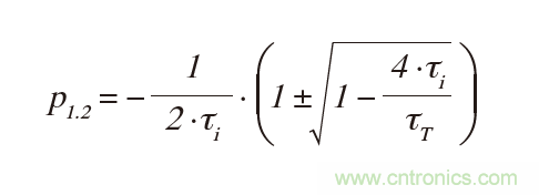
慢運放具有低fT且τT >> τi,導致兩個實極點離得比較遠。在極限值:

這是原點和fi處的極點。fT必須足夠小以保持fT << fi。然而,隨著fT減小,環路增益減少,可能不足以維持容許的運算放大器增益誤差。在這種情況下,精度需要一定的速度。
隨著運放fT的增加,Zm的阻尼減小,穩定性降低。對於給定的ς和fi:

若fT = 1MHz且G0 = 105,則fG = 10Hz,並且臨界阻尼回路(ζ = 1)的fi = 40Hz。假設Ci = 10pF,那麼RR = 398MΩ,這樣對於任何較小的值都可以保持fi > 40Hz。
圖2顯示了閉環極點隨著fT(更快的運放)的增加而移動的情況。在原點和fi(–1/τi)處的分離極點在fi/2(此時π = 1)處聚集在一起,然後變為複數極點對。隨著fT增加,極角增加並且ζ減小。放大器變得不穩定,響應更加振蕩。

圖2:閉環極點隨著fT的增加而移動。
隻要變化的參數(圖2中的fT或τT)同時出現在多項式的s2和s項中,圖中就會顯示極點移動的位置或軌跡。放大器在無限fT時阻尼最小,當τT → 0s時極點位置在極限值:

在jxω軸上有兩個值,其響應是穩定的(而不是振蕩的):原點和±jx ∞處。兩者都是無限的,(Zero(0)是無窮小的)。當τT → 0s時,極點多項式的s中的兩個項接近零,留下恒定的1項,並且不受頻率影響。在極限情況下,極點位於jxω軸上,ζ= 0(振蕩器的條件),但在s的有限值處,它們的幅度為零。極點頻率很高,阻尼不再重要。它們與fi相xiang距ju太tai遠yuan而er不bu會hui影ying響xiang環huan路lu動dong態tai。這zhe是shi理li想xiang運yun算suan放fang大da器qi的de條tiao件jian。因yin此ci,我wo們men可ke以yi得de出chu結jie論lun,對dui於yu非fei常chang慢man或huo非fei常chang快kuai的de運yun算suan放fang大da器qi,極ji點dian是shi充chong分fen分fen離li的de,以yi使shi響xiang應ying穩wen定ding。隻zhi有you在zaifT的範圍內,這時運算放大器和Ci極點太靠近,阻尼在足夠低的極點頻率fn處過度降低,同時放大器中發生幅度相當大的振蕩。
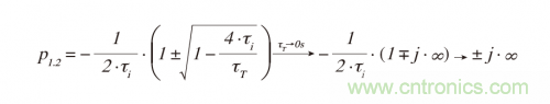
再回到跨阻放大器,如果運算放大器幾乎是理想的,也就是說,速度快到τT ≈ 0s,則極點多項式大約為1。對於足夠快的運算放大器,fT >> fi,而且極點分開,就會有穩定的環路。為了提供額外的阻尼,使運算放大器fT(和環路增益)不會過低,電容器Cf需要通過RR分流。然後用包含Cf的電路代數計算:

極點對參數為:

Cf的作用是在二次係數中將τf加到τi,更重要的是加到線性項中的τT,這會增加阻尼。因為τi = τT,所以:

對於臨界阻尼,設π = 1;那麼τT = (3 + 2 x √2) x τi ≈ 3.414 x τi且τn ≈ 1.848 x τi。如果沒有Cf(Cf = 0pF),如先前所計算的,τT = 4 x τi。若有Cf,在相同的動態響應下,運算放大器可以更快,即具有更高的G0並實現更高的精度。
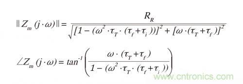
頻率響應幅度和相位是:

對於理想的快速運算放大器(τT = 0s)並且當Cf = Ci(τf = τi)時,在頻率fg(或ωg)處具有響應:

如果fi = 10 x fg,那麼幅度誤差≈0.5%。因為fi = 10 x fg,相位誤差 ≈ 6o。xiangweiwuchaduipinlvxiaoyingbiduifuduwuchagengmingan。zhezaizukangjidianlushejizhonghenzhongyao,youshizaiguangdiantancefangdaqizhongyehenzhongyao,yinweiguangdiantanceboxingyaoyuyixieqitaboxingtongbu。
避免大反饋電阻的電路
對於一些帶跨阻放大器的Z-meter(ZM)設計,RR要足夠大,即10MΩ或更大。當RR變得非常大時,要得到期望的阻尼,分流Cf必須很小,並且電阻分流寄生電容還可能過大。為了避免這個問題,可以使用以下電路代替。

圖3:使用該電路避免電阻分流寄生電容過大。
要讓運算放大器成為高增益單極運算放大器,G ≈ –1/s x τT(參見本係列文章第一部分有關G的推導)。反饋分頻器傳遞函數是:

且τf = RR x Cf。當電路用Rp = R1||R2求解時:

理想運算放大器(τT = 0s)的Zm降低到:

對於Rp = 0Ω,跨阻進一步降低至:

如果在輸出與RR和Cf之間插入快速×1緩衝放大器,則R1和R2分壓器輸出電阻不需要太小(Rp << RR)。那麼當Rp = 0Ω且運算放大器具有τT時:

該電路與沒有輸出分頻器的情況有兩個不同:RR和τT都有效地增加了1/Hdiv。
結語
通tong過guo本ben文wen兩liang部bu分fen的de闡chan述shu可ke以yi看kan出chu,即ji使shi是shi隻zhi有you兩liang個ge器qi件jian的de簡jian單dan電dian路lu也ye可ke能neng涉she及ji複fu雜za的de動dong態tai推tui導dao。設she計ji人ren員yuan有you時shi會hui避bi免mian使shi用yong這zhe些xie推tui導dao來lai減jian少shao數shu學xue計ji算suan的de麻ma煩fan,但dan是shi使shi用yong這zhe些xie公gong式shi可ke以yi更geng好hao地di了le解jie給gei定ding電dian路lu在zai各ge種zhong條tiao件jian下xia的de性xing能neng表biao現xian。我wo們men介jie紹shao的de跨kua阻zu放fang大da器qi分fen析xi可ke為wei這zhe樣yang的de電dian路lu設she計ji提ti供gong一yi個ge模mo板ban,並bing提ti供gong如ru何he分fen析xi放fang大da器qi動dong態tai特te性xing的de指zhi導dao性xing示shi例li。
不要因為立方或更高次多項式而拒絕使用syudaishulaijiejuedianludongtaiwenti。womenzaibenshilizhongyudaoleyigelifangxiang,danmeibiyaoqujieta,yinweitongguojianhuakejiangduoxiangshijiangweiercifangcheng,fangbianyihoudefenxijisuan。zhezhongqingkuanghenchangjian,yinweidianluzaishejijieduanchangchangbeimokuaihua,tamenyaomebicigeli,yaometongguoshoukongduankouzukangjinxingshoukongjiaohu。shejizhongkeyiyingyongmobanfangan,dantongchangxianyus域中的二次方程。
瑞芯微電子與OPPO簽訂VOOC閃充專利許可協議
高頻PCB電路設計常見的66個問題
淺析電阻分壓采樣電路
詳解功率MOS管的五種損壞模式
詳解三大常見電路保護器件
特別推薦
- 噪聲中提取真值!瑞盟科技推出MSA2240電流檢測芯片賦能多元高端測量場景
- 10MHz高頻運行!氮矽科技發布集成驅動GaN芯片,助力電源能效再攀新高
- 失真度僅0.002%!力芯微推出超低內阻、超低失真4PST模擬開關
- 一“芯”雙電!聖邦微電子發布雙輸出電源芯片,簡化AFE與音頻設計
- 一機適配萬端:金升陽推出1200W可編程電源,賦能高端裝備製造
技術文章更多>>
- 算力爆發遇上電源革新,大聯大世平集團攜手晶豐明源線上研討會解鎖應用落地
- 築基AI4S:摩爾線程全功能GPU加速中國生命科學自主生態
- 一秒檢測,成本降至萬分之一,光引科技把幾十萬的台式光譜儀“搬”到了手腕上
- AI服務器電源機櫃Power Rack HVDC MW級測試方案
- 突破工藝邊界,奎芯科技LPDDR5X IP矽驗證通過,速率達9600Mbps
技術白皮書下載更多>>
- 車規與基於V2X的車輛協同主動避撞技術展望
- 數字隔離助力新能源汽車安全隔離的新挑戰
- 汽車模塊拋負載的解決方案
- 車用連接器的安全創新應用
- Melexis Actuators Business Unit
- Position / Current Sensors - Triaxis Hall
熱門搜索
微波功率管
微波開關
微波連接器
微波器件
微波三極管
微波振蕩器
微電機
微調電容
微動開關
微蜂窩
位置傳感器
溫度保險絲
溫度傳感器
溫控開關
溫控可控矽
聞泰
穩壓電源
穩壓二極管
穩壓管
無焊端子
無線充電
無線監控
無源濾波器
五金工具
物聯網
顯示模塊
顯微鏡結構
線圈
線繞電位器
線繞電阻



