雙極結型晶體管差分放大器的溫度補償
發布時間:2018-02-24 來源:電子技術設計 責任編輯:lina
【導讀】人們普遍認為,使用雙極結型晶體管(BJT)電流源可以對雙極結型晶體管差分放大器進行溫度補償,但事實並非如此。對I0進行溫度補償得到常數re,會導致電流源外部發射極電阻R0上的電壓低,從而無法精確設置I0。本設計實例分析了BJT差分放大器的發射極電路電流源I0,及其不同實現方式對放大器增益的影響。
雙極結型晶體管(BJT)對發射極耦合差分放大器電路是模擬設計人員熟悉的放大器級,但其複雜性也頗有意思。本文探討了BJT差分放大器的發射極電路電流I0及其不同實現方式對放大器增益的影響。
人們普遍認為BJT電流源可以對BJT差分放大器進行溫度補償這一結論是正確的,但似乎並不知道其成立條件。典型電路如圖1所示。

圖1:差分輸入差分輸出電壓放大器。
這是一款差分輸入差分輸出電壓放大器。在輸入和輸出量差分的情況下,電路的增量電壓增益為:

差分放大的條件是Aν1 = Aν2。當電路滿足如下等式時,它是對稱的:
然後電壓增益變成:

其中rM是互阻,輸入電壓產生(pre-α)的輸出電流流經該電阻。
好的設計目標是使Aν成為固定值。其中一個影響因素是選擇具有低溫度係數(TC)和足夠精確的電阻器,這通常很容易實現。但對於高精度設計,由環境溫度變化引起的阻值變化是需要考慮的因素。尤其還要考慮“熱效應”,即由隨νi一起變化的功耗變化引起的動態的、與波形相關的阻值變化。對於非常精確的設計,也必須考慮與施加電壓相關的阻值變化。
在精確設計中,除這裏使用的兩個(re和β)BJT T模型參數之外,其它晶體管參數,即ro,也需要考慮在內。我們假設BJT具有足夠高的厄利電壓(Early voltage),因而不需要考慮ro——至少在這裏不考慮。在實踐中,這個假設通常是有效的。
BJT通常是電路中最不理想的元件。從增益公式可以看出,增量發射極電阻re和β這兩個BJT參數影響增益。對於高β值——也即β>> 1,增益因子接近1:

對於典型β值200,α = 0.995,造成0.5%的增益誤差。如果差太大,則需要α補償技術。通常,該誤差可以通過將其包含在增益公式中來彌補,正如我們所做的。更重要的是其溫漂的大小。典型值為:
那麼對於大的β,α的TC約為50 ppm;α通常不是大問題。
Av的互阻表達式rM(分母)是輸入電壓產生輸入和輸出回路共有的(發射極)電流的電阻。輸出電流被α修改,導致發射器的電流通路的損耗。該互阻rM也包括以RB表示的β。如果RB保持為小數值,且輸入由電壓源驅動,則不必考慮β。如果源的阻值高,那麼RB項會因β隨溫度變化而影響增益。其1 %/℃ 的變化要縮小到RB/(β + 1)在rM中不占主導的程度。保持RB為小數值是另一個設計考慮因數。
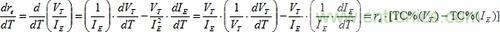
在rM中最麻煩的一項是re,因為它隨著溫度和發射極電流IE而變化,根據:

在IE恒定的情況下,re隨熱電壓VT變化,而VT與絕對溫度成比例變化。

在300K(約80℉)時,該值為1/300 K或約0.33 %/K = 0.33 %/℃。對於實驗室品質的儀器設計,我們假設一個溫度範圍超過25℃ +/- 15℃,即10℃到40℃,超過此範圍設備應能符合規範正常運行。在環境溫度變化超過15℃的情況下,VT變化約5%,這對大多數精密設計來說太大了。因此,需要補償增益的VT變化。
對re最簡單的補償方式是在rM中把它作為一個可以忽略的項(和RB項一起)。這是通過使RE占主導來實現的。對於RE>>re,re的漂移對增益的影響遠低於5%。許多情況下,占主導地位的外部發射極阻值解決了漂移問題,但犧牲了增益和功耗。通過增加I0,re成比例地減小,但電路功耗增加。這不僅對功耗受限的設備不利,還會通過增加BJT中的ΔPD(νi)而加劇發熱。
在某些情況下,re不能忽略不計,需要對其進行一些補償。最常見的一種方法是使I0跟蹤re並抵消其影響。為了使I0具有VT的TC,最簡單的方法是使用BJT電流源實現I0。電流源BJT的b-e結電壓隨溫升下降,I0增加、re減小。
電流源電路
我們將考慮的第一個電路源I0不過是個電阻R0,它返回到負電源。當電源電壓–V接近負無窮大或者R0的值接近無窮大時,這個“長尾”電流源接近理想的電流源。它對re的TC沒做補償。
下麵顯示了第二個考慮的實現。

圖2:電路在R0兩端的電壓為V – VBE(Q0)。
這個簡單電路在R0兩端的電壓為V – VBE(Q0)。隨著溫度的升高,VBE降低,但與VT的TC無關。影響VBE的另一個主要BJT參數是在p-n結(b-e結)電壓方程中發現的飽和電流IS:

對於典型的BJT(例如PN3904),IS ≈10 fA。那麼,1mA的電流產生的VBE≅0.65 V。
VT和IS都對TC(VBE)產生影響。IS對VBE的影響大於VT,且極性相反,導致對VBE的總影響約為–2mV/℃。因此,取消IS影響比VT的更重要。
根據V和VBE的相對值,TC(VBE)的影響可以通過選擇RE和電源電壓V來調節,這通常受到係統級設計的限製。通過在發射極和地之間增加一個電阻網絡,可以獨立設置戴維寧(Thevenin)等效電源電壓和R0值。如果正確地調節,隨著T增加,VBE減小、I0增加。如果增加T引起的re減小抵消了由VT引起的re增加,那麼BJT對的re和增益保持不變。
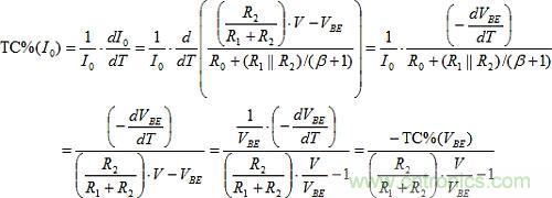
通過用T微分re,TC(re)的計算如下:
其中TC%是TC的分數變化。
TC%(I0) = TC%(IE)的設定可以建構如下。R0上的唯一變化來自VBE。因此,由T引起的I0的分數變化是:

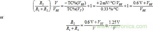
設定TC%(I0) = TC%(VT) = 1/T≅ 0.33 %/℃時,R0兩端的電壓,V – VBE = 0.6 V。在-V = -1.25V時,這個補償方案不太有吸引力。TC(I0)的極性對補償來說是正確的,但幅值不合要求,因此有了下一個方案,如圖3所示。

圖3:TC(I0)的極性對補償來說是正確的,但幅值不合要求,因此有了新的方案。
I0的實現比以前的方案更通用、更常見。基本分頻器為設置TC%(I0)提供了額外的自由度,它有助於忽略TC(β),現在是:

現在可以找到提供正確補償的分壓比。當TC%(I0)設置為等於TC%(VT)時,則:

這個結果很有意思;無論V值如何,空載分壓器電壓必須為1.25 V才能進行增益補償。這也是帶隙參考電壓,也應該是。帶隙電路使用負TC(VBE),並調節以抵消正TC(VT)。由此產生的帶隙電壓總是接近1.25V,並根據BJT摻雜水平略微變化。
經常用來提供粗略溫度補償的另一種電流源方案是插入與R2串聯的二極管,如圖4所示。

圖4:經常用來提供粗略溫度補償的一種電流源方案是插入與R2串聯的二極管。
常見的解釋是,二極管的TC補償了BJT b-e結的TC,導致更穩定的I0。一個典型的例子是使用1N4152二極管來補償PN3904。然而,二極管和BJT b-e結是完全不同的。結梯度不同,為實現更高的擊穿電壓,二極管的摻雜水平遠低於BJT基極。為了獲得良好的發射極到基極注入效率,發射極少數載流子濃度被有意地做大,這是以VBE反向擊穿為代價的,VBE反向擊穿通常在7V左右,遠低於二極管的40V。關鍵是,雖然兩個結都是矽,卻相當不匹配。
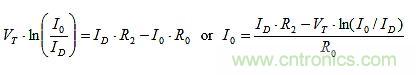
如果假定一個類似的BJT b-e結用作二極管,其基極連接到集電極,那麼結點匹配就好得多(雖然不如相鄰集成BJT好),並允許α ≅ 1,然後在BJT輸入回路周圍施加基爾霍夫電壓定律(兩個BJT結的IS被消除):

其中ID是二極管電流。如果結電流相等,則VT的TC被去除並且TC%(I0) ≅ 0 %/℃。這對需要穩定電流源的應用非常有用,但它沒有補償差分放大器的re。為得到所需的TC,電流必須有意設定為不相等,並且對於TC的補償極性,它必須為正。因此,我們必須有ID>I0。
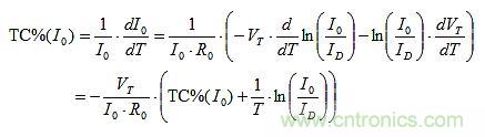
TC%(I0)通過上式中I0的隱函數微分求得:

通過另外的代數操作:

然後進行補償,設TC%(I0) = TC%(VT) = 1/T,求解:

實際的電流比因指數函數而要求R0兩端的電壓不要大於VT。對於I0 = 2mA,R0 = 22Ω,VT = 26 mV,R0兩端的電壓為44mV或1.69xVT,ID = 14.77xI0 = 29.5mA,大於多數設計所需的值。為了使R0不在發射結電路中占主導地位,需要R0為這樣的小值,以便能表示VBE的TC。然而在許多設計中,R0相對較大,且其壓降遠遠超過VT。因此,re的TC%(VT)沒有得到正確補償,增益中存在TC漂移。
前麵的方案省略了基極二極管,在允許較大的R0電壓方麵隻是略好一點。也許我們應該逆向而行,在發射極中增加一或兩個二極管。組合結的TC將是單結TC乘以組合數量,這將使RE按比例變大。我們通常不希望增加大量的串聯二極管,因為這會造成I0的靜態穩定性變差。因此,使用差動放大電流源進行re的溫度補償需要小心地進行電路靜態設計。然後使I0對結參數敏感,並且這些參數(例如IS)在分立晶體管中具有稍寬的容差,即使相同部件號也是如此。就PN3904BJT來說,在相同電流和溫度條件下,不同供應商或生產批次的產品,可能會有高達50mV的差異。這種補償方法最適合單片集成。
結論
普遍認為,BJT電流源可以對BJT差分放大器進行溫度補償,但這並非放之四海而皆準。為常數re進行I0的溫度補償,導致電流源外部發射極電阻R0上的電壓變得過低,使得無法精確設置I0。
因此,除了放大VT的更複雜的方案,在一些設計中,用於差分放大器增益穩定性的RE主導方法似乎是可接受的。另一個有多個級的方案是使用連續補償(PNP)級來消除第一級的增益TC。
特別推薦
- 噪聲中提取真值!瑞盟科技推出MSA2240電流檢測芯片賦能多元高端測量場景
- 10MHz高頻運行!氮矽科技發布集成驅動GaN芯片,助力電源能效再攀新高
- 失真度僅0.002%!力芯微推出超低內阻、超低失真4PST模擬開關
- 一“芯”雙電!聖邦微電子發布雙輸出電源芯片,簡化AFE與音頻設計
- 一機適配萬端:金升陽推出1200W可編程電源,賦能高端裝備製造
技術文章更多>>
- 算力爆發遇上電源革新,大聯大世平集團攜手晶豐明源線上研討會解鎖應用落地
- 築基AI4S:摩爾線程全功能GPU加速中國生命科學自主生態
- 一秒檢測,成本降至萬分之一,光引科技把幾十萬的台式光譜儀“搬”到了手腕上
- AI服務器電源機櫃Power Rack HVDC MW級測試方案
- 突破工藝邊界,奎芯科技LPDDR5X IP矽驗證通過,速率達9600Mbps
技術白皮書下載更多>>
- 車規與基於V2X的車輛協同主動避撞技術展望
- 數字隔離助力新能源汽車安全隔離的新挑戰
- 汽車模塊拋負載的解決方案
- 車用連接器的安全創新應用
- Melexis Actuators Business Unit
- Position / Current Sensors - Triaxis Hall
熱門搜索
微波功率管
微波開關
微波連接器
微波器件
微波三極管
微波振蕩器
微電機
微調電容
微動開關
微蜂窩
位置傳感器
溫度保險絲
溫度傳感器
溫控開關
溫控可控矽
聞泰
穩壓電源
穩壓二極管
穩壓管
無焊端子
無線充電
無線監控
無源濾波器
五金工具
物聯網
顯示模塊
顯微鏡結構
線圈
線繞電位器
線繞電阻




