解析USB3.0連接器的阻抗和插損測試
發布時間:2013-01-22 責任編輯:hedyxing
【導讀】當測量USB3.0通道的S參數時,可選的儀器是時域反射計或TDR。TDR係(xi)統(tong)通(tong)常(chang)往(wang)待(dai)測(ce)器(qi)件(jian)注(zhu)入(ru)一(yi)個(ge)階(jie)躍(yue)電(dian)壓(ya)信(xin)號(hao)然(ran)後(hou)測(ce)量(liang)是(shi)時(shi)間(jian)函(han)數(shu)的(de)反(fan)射(she)電(dian)壓(ya)。差(cha)分(fen)測(ce)量(liang)通(tong)過(guo)產(chan)生(sheng)極(ji)性(xing)相(xiang)反(fan)可(ke)相(xiang)對(dui)定(ding)時(shi)的(de)階(jie)躍(yue)電(dian)壓(ya)對(dui)實(shi)現(xian)。這(zhe)篇(pian)文(wen)章(zhang)中(zhong)談(tan)到(dao)的(de)都(dou)是(shi)差(cha)分(fen)信(xin)號(hao)。
下一代串行數據標準采用的高速率已經進入到微波領域。比如,Super Speed USB(USB3.0)通過雙絞線對線纜傳輸速率就達到了5Gb/s。通過連接器和(he)線(xian)纜(lan)傳(chuan)輸(shu)如(ru)此(ci)高(gao)的(de)速(su)率(lv)必(bi)須(xu)考(kao)慮(lv)通(tong)道(dao)的(de)不(bu)連(lian)續(xu)性(xing)引(yin)起(qi)的(de)失(shi)真(zhen)。為(wei)了(le)將(jiang)失(shi)真(zhen)程(cheng)度(du)保(bao)持(chi)在(zai)一(yi)個(ge)可(ke)控(kong)的(de)水(shui)平(ping),標(biao)準(zhun)規(gui)定(ding)了(le)線(xian)纜(lan)和(he)連(lian)接(jie)器(qi)對(dui)的(de)阻(zu)抗(kang)和(he)回(hui)波(bo)損(sun)耗(hao)。最(zui)新(xin)的(de)測(ce)量(liang)使(shi)用(yong)S參數S11表征而且必須歸一化到線纜的90歐姆差分阻抗。
反射電壓與發射器和待測器件之間的阻抗失配成比例,關係如下式:
Z0是源阻抗,ZL(t)是待測器件的阻抗,r(t)是反射係數,Vr(t)/Vi(t)是入射和發射電壓的比率。式(1)假設到待測器件的源,線纜和連接器都是匹配的,但事實上這種情況很少見。為了補償線纜和連接器的不理想,參考平麵校正(基線校正)通常進行開路,短路,負載校準。調整式(1)可以得到待測器件的阻抗和時間(或距離)的函數,所以可以使用校準過的TDR做阻抗測量。
圖1展示了USB3.0帶有連接器線纜的的阻抗曲線。曲線表明了隨著TDR階躍信號在線纜中的行進阻抗變化是時間的函數。注意軌跡兩頭的阻抗變化,那是由於連接器引起的,當使用上升時間100ps(階躍信號)測試時連接器的阻抗規定是90+/-7歐。TDR的上升時間非常重要,因為阻抗變化和TDR階躍信號的上升時間成反比,而規範規定的USB3.0信號的上升時間是100ps,測量中匹配這個上升時間將給出信號“看到的”阻抗。

圖1:USB3.0帶有連接器線纜的差分阻抗vs時間測量
回波損耗或S11是頻域的測量和反射係數有關。歸一化(通過反射平麵校準基線校正)反射係數的傅裏葉變換給出了回波損耗是頻率的函數。圖2給出了USB3.0線纜和連接器測量的結果。圖中的橫軸表示2GHz/div,範圍是0~20GHz,縱軸表示10dB/div。回波損耗在2GHz大約是15dB,但dan隨sui著zhe頻pin率lv的de增zeng加jia開kai始shi變bian得de越yue來lai越yue小xiao。精jing細xi的de空kong值zhi間jian隔ge是shi由you線xian纜lan末mo端duan的de連lian接jie器qi引yin起qi的de,較jiao大da的de空kong值zhi間jian隔ge是shi由you於yu連lian接jie器qi內nei部bu的de阻zu抗kang結jie構gou決jue定ding的de。

圖2:USB3.0帶有連接器線纜的差分回波損耗
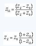
回波損耗可以參考圖1中線纜和連接器阻抗是90歐而TDR係統差分阻抗是100歐,由於USB3.0發射機阻抗是90歐,這個不匹配人為地減少了回波損耗。為了正確的表達回波損耗,將阻抗轉化為測試到的S11是非常必要的,轉換關係由下式給出。

轉化可以分為兩步。首先,用特征阻抗是100歐姆的測試係統得出的複數S參數計算出複數的負載阻抗。其次,用新的90歐姆參考阻抗計算出負載阻抗的S參數。回波損耗是頻率的函數,所以可以計算出每個頻點的S參數。
舉個例子,用100歐姆阻抗表征的複合回波損耗S11=0.53-0.12J轉換到90歐姆的如下:

式2用來將圖2中測到的插損轉換到90歐姆差分阻抗。圖3中的兩個曲線給出了100歐姆和90歐姆特征阻抗的的回波損耗。

圖3:100歐姆(虛線)和90歐姆參考(實線)的回波損耗
USB3.0線纜和連接器的差分阻抗可以使用校正的TDR係統測量插損而得出。通過對連接到待測器件的參考平麵(基線校正)運行開路,短路,負載進行校正。通過簡單的轉換測試係統和待測器件之間的不同阻抗進行插損補償。
特別推薦
- 噪聲中提取真值!瑞盟科技推出MSA2240電流檢測芯片賦能多元高端測量場景
- 10MHz高頻運行!氮矽科技發布集成驅動GaN芯片,助力電源能效再攀新高
- 失真度僅0.002%!力芯微推出超低內阻、超低失真4PST模擬開關
- 一“芯”雙電!聖邦微電子發布雙輸出電源芯片,簡化AFE與音頻設計
- 一機適配萬端:金升陽推出1200W可編程電源,賦能高端裝備製造
技術文章更多>>
- 築基AI4S:摩爾線程全功能GPU加速中國生命科學自主生態
- 一秒檢測,成本降至萬分之一,光引科技把幾十萬的台式光譜儀“搬”到了手腕上
- AI服務器電源機櫃Power Rack HVDC MW級測試方案
- 突破工藝邊界,奎芯科技LPDDR5X IP矽驗證通過,速率達9600Mbps
- 通過直接、準確、自動測量超低範圍的氯殘留來推動反滲透膜保護
技術白皮書下載更多>>
- 車規與基於V2X的車輛協同主動避撞技術展望
- 數字隔離助力新能源汽車安全隔離的新挑戰
- 汽車模塊拋負載的解決方案
- 車用連接器的安全創新應用
- Melexis Actuators Business Unit
- Position / Current Sensors - Triaxis Hall
熱門搜索
微波功率管
微波開關
微波連接器
微波器件
微波三極管
微波振蕩器
微電機
微調電容
微動開關
微蜂窩
位置傳感器
溫度保險絲
溫度傳感器
溫控開關
溫控可控矽
聞泰
穩壓電源
穩壓二極管
穩壓管
無焊端子
無線充電
無線監控
無源濾波器
五金工具
物聯網
顯示模塊
顯微鏡結構
線圈
線繞電位器
線繞電阻



