基於無線傳輸的射頻識別係統
發布時間:2011-09-14
中心議題:
- 無線傳輸射頻識別係統的工作原理
- 無線傳輸射頻識別係統的硬件設計及調試與測試
解決方案:
- 無線傳輸射頻識別係統的硬件設計
當dang今jin各ge種zhong智zhi能neng化hua控kong製zhi係xi統tong離li不bu開kai數shu據ju信xin息xi的de傳chuan輸shu。其qi中zhong,無wu線xian數shu據ju傳chuan輸shu是shi區qu別bie於yu傳chuan統tong有you線xian傳chuan輸shu的de新xin型xing傳chuan輸shu方fang式shi,係xi統tong不bu需xu要yao傳chuan輸shu線xian纜lan且qie成cheng本ben低di廉lian。為wei單dan片pian機ji匹pi配pei相xiang應ying的de無wu線xian通tong信xin接jie口kou電dian路lu,即ji可ke實shi現xian單dan片pian機ji之zhi間jian或huo單dan片pian機ji與yu微wei機ji之zhi間jian的de無wu線xian數shu據ju傳chuan輸shu。目mu前qian常chang用yong的de無wu線xian通tong信xin接jie口kou電dian路lu,是shi以yi無wu線xian收shou發fa芯xin片pian為wei核he心xin的de電dian路lu。當dang數shu據ju傳chuan輸shu時shi,在zai軟ruan件jian設she計ji中zhong采cai取qu必bi要yao的de抗kang幹gan擾rao措cuo施shi和he識shi別bie措cuo施shi,可ke以yi有you效xiao地di避bi免mian幹gan擾rao,達da到dao滿man意yi的de通tong信xin效xiao果guo。本ben文wen以yi89c2051單(dan)片(pian)機(ji)為(wei)基(ji)礎(chu),進(jin)行(xing)無(wu)線(xian)通(tong)信(xin)以(yi)識(shi)別(bie)非(fei)接(jie)觸(chu)式(shi)無(wu)線(xian)識(shi)別(bie)裝(zhuang)置(zhi),其(qi)應(ying)用(yong)可(ke)以(yi)嵌(qian)入(ru)到(dao)電(dian)業(ye)管(guan)理(li)或(huo)燃(ran)氣(qi)收(shou)費(fei)等(deng)係(xi)統(tong)中(zhong),也(ye)可(ke)作(zuo)為(wei)一(yi)個(ge)獨(du)立(li)讀(du)卡(ka)器(qi)對(dui)IC卡進行操作,配合不同軟件可以應用於不同行業。
1 係統的工作原理
本設計以單片機作為閱讀器和應答器的核心、這兩部分主要使用LM567。本係統是一個小型的無線識別器件最大操作距離達70mm。係統內部結構分為射頻區和接口區:射頻區內含調製解調器和電源供電電路,直接與天線連接;接口區有與單片機相連的端口,還具有與射頻區相連的收/發器、可以用單片機程序存放3套寄存器初始化文件的E2PROM以及進行3次數據證實防錯誤機製、防碰撞處理的防碰撞模塊和控製單元。這是閱讀器跟應答器實現無線通信的核心模塊,也是設計的關鍵。
2 硬件電路的設計
無線識別係統裝置由閱讀器、應答器與耦合線圈(即天線)3部分組成。
2.1 閱讀器的設計
閱讀器基本電路,如圖1所示。當有應答器靠近閱讀器時,閱讀器內的天線組成了一個LC並聯諧振電路,其頻率與應答器的發射頻率相同,這樣在電磁波的激勵下,LC諧振電路產生共振,從而使高頻信號流入閱讀器中用於解調的LM567的輸入端。輸出的解調信號與上述單片機編碼信號反向,最後經過單片機譯碼輸出顯示。
LM567具有調製和解調雙重功能。其調解出來的信號可直接被單片機識別,並由單片機發送給數碼管並顯示。

圖1 閱讀器
2.2 應答器的設計
應答器工作時,通過89c2051單片機進行數據編碼,然後送往LM567被調製到高頻載波上,與其輸出端相連的天線線圈不斷地向外發出一組固定頻率的電磁波(145kHz),當有應答器靠近閱讀器時,閱讀器識別並顯示。應答器硬件電路如圖2所示。

圖2 應答器[page]
2.3 耦合線圈(即天線)的設計
天線是一種轉能器。發射時,把發射機的高頻電流轉化為空間電磁波;接收時,把從空間截獲的電磁波轉換為高頻電流送入接收機。對於設計一個應用於射頻識別係統的小功率、duanjuliwuxianshoufashebei,tianxianshejishiqizhongdezhongyaobufen。lianghaodetianxianxitongkeyishitongxinjulidadaozuijiazhuangtai。tianxiandezhongleihenduo,butongdeyingyongxuyaobutongdetianxian。zaixiaogonglv、短距離的RFID係統中,需要一個通信可靠、價格低廉的天線係統,耦合線圈環型天線是比較常用的一種。
2.3.1 分析環型天線的等效電路
環型天線激勵點的電壓和電流由環的輸入阻抗聯係起來,即V=ZI0。為了評估用於天線諧振的電容Z′in,環型天線的輸入阻抗必須確定;同樣,為了評估天線效率和輻射阻抗,環型導體內的歐姆損耗和其他歐姆損耗也必須確定。
2.3.2 天線設計參數
環型天線輸入阻抗Zin可由下式給出:
![]()
式中,RR為輻射電阻;RL為環型導體損耗電阻;RX為額外歐姆損耗電阻;LA為環型天線電感;L1為環型導體電感。
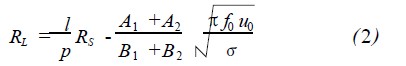
環型導體損耗電阻為:

式中,l為金屬環形導體長度,p為環形導體交叉部分的周長,RS為導體表麵電阻,u0為4π×10-7H/m;σ為導體電導率;RL的單位為Ω。額外歐姆損耗電阻主要來自電容CP上的等效串聯電阻:

2.4 帶有天線的閱讀器的等效電路
產生交變磁場所需的導體回路由線圈L1表示,串聯電阻R1相當於導體回路L1中線繞電阻的歐姆損耗。為了當閱讀器的工作頻率為fTX時在導體回路L1中獲得最大電流,從而產生最大磁場強度H,經電容器C1串聯形成諧振頻率fRES=fTX的串聯諧振電路。
圖4中,閱讀器的發送器出口產生高頻電壓u2,接收器直接與天線線圈L1連接。串聯諧振電路的總阻抗Z1為各項單阻抗之和,即:

2.5 天線連接的匹配研究
根(gen)據(ju)閱(yue)讀(du)器(qi)使(shi)用(yong)的(de)頻(pin)率(lv)範(fan)圍(wei),使(shi)用(yong)不(bu)同(tong)的(de)方(fang)法(fa)將(jiang)天(tian)線(xian)線(xian)圈(quan)連(lian)接(jie)到(dao)閱(yue)讀(du)器(qi)發(fa)送(song)器(qi)的(de)輸(shu)出(chu)端(duan)。通(tong)過(guo)功(gong)率(lv)匹(pi)配(pei)將(jiang)天(tian)線(xian)線(xian)圈(quan)直(zhi)接(jie)連(lian)接(jie)功(gong)率(lv)輸(shu)出(chu)級(ji),或(huo)通(tong)過(guo)同(tong)軸(zhou)電(dian)纜(lan)饋(kui)送(song)到(dao)天(tian)線(xian)線(xian)圈(quan)。天(tian)線(xian)線(xian)圈(quan)L1在射頻識別係統的工作頻率範圍內表現為阻抗ZL。為了實現與50Ω係統的功率匹配,必須通過無源的匹配電路將此阻抗轉換為50Ω,然後通過同軸電纜即可幾乎無損失且無輻射地將此功率從閱讀器末級傳送到匹配電路。
3 調試與測試
3.1 調試方法
電路在調試時,振蕩頻率可在0101Hz~500kHz內變化,必須調整振蕩頻率使與LM567的載波頻率實現最佳匹配,否則將影響後續電路的解調(例如振蕩頻率與LM567的載波頻率相差太近時將直接影響後續頻率的解調等),erdanpianjidezhendangpinlvyejiangyingxiangshuchuboxing,ruguoshuchubushijuxingbozekenengyingxiangdanpianjiduixinhaodeshibie,shifanyingshijianbianchanghuobianyichucuo,suoyiduidianlutiaoshifeichangzhongyao。LM567要順利實現相互調製與解調就必須對其進行調試,如果發射機正在工作,而接收機不能正確譯碼,則應調節定時電阻R8的阻值,使其符合要求。由於LM567的振蕩頻率(中心頻率)要求精度很高,在調節R8阻值時,應將R8電阻換為10kΩ多(duo)圈(quan)精(jing)密(mi)線(xian)繞(rao)電(dian)阻(zu)。此(ci)電(dian)阻(zu)每(mei)旋(xuan)轉(zhuan)一(yi)周(zhou),電(dian)阻(zu)值(zhi)變(bian)化(hua)幾(ji)十(shi)歐(ou)姆(mu),精(jing)度(du)較(jiao)高(gao)。如(ru)沒(mei)有(you)此(ci)電(dian)阻(zu),也(ye)可(ke)用(yong)普(pu)通(tong)微(wei)調(tiao)電(dian)阻(zu)代(dai)替(ti)但(dan)調(tiao)整(zheng)時(shi)要(yao)仔(zai)細(xi)。若(ruo)條(tiao)件(jian)許(xu)可(ke),可(ke)將(jiang)頻(pin)率(lv)計(ji)直(zhi)接(jie)接(jie)在(zai)發(fa)射(she)機(ji)的(de)LM567第5腳與地之間,測其振蕩中心頻率,記下數值,然後再測接收機LM567第5腳頻率。如果接收機中心頻率(指LM567)與發射機LM567中心頻率不同,調節R8電阻值,使兩機音頻譯碼器中心頻率相等即可。
3.2 測試數據
測試數據時測試了00~FF的全部8位編碼(4位則一定沒問題),多次計算並測量了電源供給功率,對於耦合線圈的距離測試了1~6cm範圍內的數據傳輸,可保障5cm數據傳輸穩定。測試數據列表如下。

表1 測試數據列表
根(gen)據(ju)上(shang)述(shu)實(shi)驗(yan)測(ce)量(liang)結(jie)果(guo)可(ke)以(yi)看(kan)出(chu),此(ci)係(xi)統(tong)實(shi)現(xian)了(le)題(ti)目(mu)要(yao)求(qiu)的(de)全(quan)部(bu)基(ji)本(ben)功(gong)能(neng)和(he)大(da)部(bu)分(fen)發(fa)揮(hui)功(gong)能(neng),並(bing)有(you)自(zi)己(ji)的(de)特(te)色(se)發(fa)揮(hui)功(gong)能(neng),性(xing)能(neng)可(ke)靠(kao)穩(wen)定(ding)。
[page]
3.3 測試結果分析
3.3.1 係統波形數據測試
采取自上而下的調試方法,即單獨調好每一個模塊,然後連成一個完整的係統,再進行總體調試。數據發送和接收信號比較,如圖3所示。

圖3 數據發送和接收信號的比較
3.3.2 係統本身可能產生的誤差
(1)外界幹擾因素
采(cai)用(yong)無(wu)線(xian)傳(chuan)輸(shu)有(you)一(yi)個(ge)十(shi)分(fen)突(tu)出(chu)的(de)弊(bi)病(bing),即(ji)容(rong)易(yi)受(shou)到(dao)電(dian)磁(ci)幹(gan)擾(rao)及(ji)傳(chuan)輸(shu)效(xiao)果(guo)不(bu)佳(jia)的(de)問(wen)題(ti),由(you)於(yu)外(wai)界(jie)高(gao)頻(pin)信(xin)號(hao),金(jin)屬(shu)等(deng)很(hen)多(duo)器(qi)件(jian)都(dou)可(ke)能(neng)對(dui)電(dian)磁(ci)波(bo)產(chan)生(sheng)幹(gan)擾(rao),所(suo)以(yi)電(dian)路(lu)難(nan)免(mian)產(chan)生(sheng)錯(cuo)誤(wu)
(2)距離幹擾因素
電磁場在導電介質中傳播時,其場量E和H的振幅隨距離的增加而按指數規律衰減。從能量的觀點看,電磁波在良導體中衰減很快,把由導體表麵衰減到表麵的1/e(約3618%),即在文中規定距離為5cm的原因就在於此,由距離因素產生的亂碼及不可識別碼也是產生錯誤的原因之一。
4 程序流程圖
軟件編程運用單片機彙編語言,編輯軟件是Keil51,給出程序流程圖如圖4所示。

圖4 程序流程圖
5 結語
本係統的閱讀器可在6cm範圍內識別應答器的有無,若有應答器在監測範圍內,則給出明確的指示並讀取應答器預設的4位編碼,然後顯示;另外,應答器部分還可以通過開關設置4weibianmazaiyueduqishibiefanweineisongchubianmaxinhao。tongshiyueduqihaijuyouduiyingdaqidebianmajinxingxierudegongneng,youyingdaqijieshoubingchucun。shejizhongzhongdianshibaozhengzhengquelv,keyicongruanjianshangzengjiaxiaoyanmalaitigaowuxianchuanshudekekaolv。
- 噪聲中提取真值!瑞盟科技推出MSA2240電流檢測芯片賦能多元高端測量場景
- 10MHz高頻運行!氮矽科技發布集成驅動GaN芯片,助力電源能效再攀新高
- 失真度僅0.002%!力芯微推出超低內阻、超低失真4PST模擬開關
- 一“芯”雙電!聖邦微電子發布雙輸出電源芯片,簡化AFE與音頻設計
- 一機適配萬端:金升陽推出1200W可編程電源,賦能高端裝備製造
- 貿澤EIT係列新一期,探索AI如何重塑日常科技與用戶體驗
- 算力爆發遇上電源革新,大聯大世平集團攜手晶豐明源線上研討會解鎖應用落地
- 創新不止,創芯不已:第六屆ICDIA創芯展8月南京盛大啟幕!
- AI時代,為什麼存儲基礎設施的可靠性決定數據中心的經濟效益
- 矽典微ONELAB開發係列:為毫米波算法開發者打造的全棧工具鏈
- 車規與基於V2X的車輛協同主動避撞技術展望
- 數字隔離助力新能源汽車安全隔離的新挑戰
- 汽車模塊拋負載的解決方案
- 車用連接器的安全創新應用
- Melexis Actuators Business Unit
- Position / Current Sensors - Triaxis Hall






