5G通信組件技術特點及軍事通信領域應用
發布時間:2021-07-04 來源:江明,仲維彬 海軍裝備部 責任編輯:wenwei
【導讀】本文介紹了目前三種5G射頻組件,並關注這些組件在軍事通信領域中的應用。通過詳細介紹RF MEMS開關、基於物聯網的能量收集器、RF SAW濾波器三種組件的內部結構、技術特點以及它們支持增強係統應用的功能,同時根據其技術特點,對5G通信配套組件在未來軍事通信領域的應用進行了展望。
0 引言
隨著物聯網(IoT)的出現以及下一代移動網絡5G目標的實現,電路和設備技術都取得了長足的進步。本文重點介紹三種5G器件技術及其組件,從射頻/微波微機電係統(MEMS)器qi件jian到dao物wu聯lian網wang傳chuan感gan器qi的de能neng量liang收shou集ji,再zai到dao聲sheng表biao麵mian波bo濾lv波bo器qi的de應ying用yong,並bing對dui這zhe三san種zhong組zu件jian的de軍jun事shi通tong信xin應ying用yong技ji術shu可ke行xing性xing進jin行xing了le探tan討tao,給gei出chu了le應ying用yong示shi例li。
本文第一部分介紹並評估RF MEMS開關以及實現所需要的RF的設計要求,這裏主要關注RF MEMS開關構成和RF性能方麵的先進性,因為它們將在未來通信領域,特別是軍事通信領域發揮越來越重要的作用。
第二部分主要關注能量收集器在IoT中的應用,主要討論熱電能量發生器(TEG)設(she)備(bei)。熱(re)電(dian)能(neng)量(liang)收(shou)集(ji)器(qi)指(zhi)的(de)是(shi)那(na)些(xie)可(ke)以(yi)用(yong)收(shou)集(ji)到(dao)的(de)微(wei)量(liang)的(de)浪(lang)費(fei)熱(re)量(liang)來(lai)產(chan)生(sheng)可(ke)使(shi)用(yong)電(dian)能(neng)的(de)設(she)備(bei),該(gai)轉(zhuan)化(hua)的(de)電(dian)能(neng)反(fan)過(guo)來(lai)可(ke)以(yi)應(ying)用(yong)在(zai)設(she)備(bei)上(shang)。無(wu)論(lun)是(shi)軍(jun)用(yong)還(hai)是(shi)民(min)用(yong)通(tong)信(xin)設(she)備(bei),熱(re)-電能量發生器的優勢適合於一些不便接受或更換的場景,因此在軍事通信裝備中將有廣闊應用的可能。
第三部分將介紹RF表麵聲波(SAW)濾波器的技術和應用。這些叉指式換能器(IDT)內容的介紹將主要針對射頻前端接收的無源MEMS諧振器及搭建成的多級SAW濾波器,目前這種濾波器已開始在軍事通信領域展露出相關應用。
zuihou,benwenfenbieduisanzhongzujiandejishujuxianhuoyingyongpingjing,yijitamenzaigongyihegongchengtuiguangzhongcunzaidekunnanhebuzu,jinxingfenxihejieshao,bingduiquanwenjinxingzongjie。
1 射頻微機電係統(RF MEMS)
過去,MEMS開關一致被認為是性能有限的機電繼電器的優越替代品,憑借易於使用、損耗最小、線性度好、隔離度高、可靠性高的優勢,從0 Hz到數百GHz的小型開關,一經問世就改變了許多電子設備的實現方法,尤其在電子測量、國防軍事和健康監護等行業設備中形成了規模應用。
RF MEMS器件是MEMS與射頻技術相結合的一類器件,具有體積小、易集成、功耗低、可靠性高、Q值高等優點,可代替傳統無線通信設備中的半導體器件,既可以器件配裝電路,如MEMS開關、MEMS電容、MEMS諧振器,也可以集成到同一芯片組成組件和模塊,如濾波器、VCO、RF MEMS移相器。將來很長一段時間,功率半導體器件(也被稱為第三代半導體器件),會成為電子設備尤其是功率電子設備的主要發展方向。目前在軍事通信設備領域,國產功率器件和MEMS器件進行組合,相對於原先以晶體集成電路加功率放大電路的組合,正慢慢開始替代升級,成為通信設備、光電、雷達配套組件電路設計中的一種新思路。RF MEMS開關和IGBT器件的結合,在對功率和高頻同時具有高指標和高可靠性要求的場合,具有革命性的意義,如應用於相控陣雷達天線的T/R模塊,其性能對設備和係統應用具有深遠影響。
(1)主動開放式MEMS
這裏介紹一型DC(K波段)0 Hz~26 GHz且超長使用壽命的單刀雙擲(SPDT)MEMS開關,與集成驅動電路配合使用,技術成熟度較高,已在多個工程型號中應用。該開關在26 GHz時具有1 dB的插入損耗和23dB的阻斷隔離。MEMS開關可實現的射頻特性非常適合5Ghehaomibojunshitongxinshebei,yinweitamendeqijianfeixianxingtexingfeichangmingxian,qiejuyoudisunhaohegaodaikuan,zhejihushiweijunshitongxinzhuangbeiliangshendingzuode,henrongyimanzudianludegonglvyaoqiu。ADI公司的一型5G通信MEMS開關,技術指標就達到了69 dBm的IIP3線性度且在大於36dBm的功率下正常工作的水平。
圖1展示了主動開放式MEMS裝置的三維表示以及其對應的SEM顯微照片圖像。兩個柵電極分別位於光束的後部和前部,通過向相應的控製電極施加適當電壓,使光束閉合和靜電打開。該MEMS開關管芯使用高電阻率矽晶片構造,該矽晶片在二氧化矽電介質中實現多晶矽、鋁和鎢的CMOS兼(jian)容(rong)互(hu)聯(lian),以(yi)形(xing)成(cheng)開(kai)關(guan)器(qi)件(jian)的(de)電(dian)互(hu)連(lian)。然(ran)後(hou)使(shi)用(yong)特(te)殊(shu)的(de)不(bu)粘(zhan)接(jie)觸(chu)金(jin)屬(shu)和(he)鍍(du)金(jin)工(gong)藝(yi),將(jiang)開(kai)關(guan)裝(zhuang)置(zhi)在(zai)該(gai)電(dian)介(jie)質(zhi)的(de)頂(ding)部(bu)進(jin)行(xing)微(wei)機(ji)械(xie)加(jia)工(gong),隨(sui)後(hou)使(shi)用(yong)金(jin)屬(shu)犧(xi)牲(sheng)層(ceng)釋(shi)放(fang)金(jin)屬(shu),最(zui)後(hou)再(zai)使(shi)用(yong)晶(jing)片(pian)級(ji)密(mi)封(feng)玻(bo)璃(li)蓋(gai)將(jiang)開(kai)關(guan)封(feng)裝(zhuang)在(zai)矽(gui)外(wai)殼(ke)中(zhong)。

圖1 主動開放式MEMS開關的SEM顯微照片及封裝形式圖
(2)MEMS性能
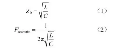
如圖1所示,通過最小化引線鍵合電感,我們可以在塑料封裝中實現26 GHz的RF帶寬。與此同時,我們需要使用多個並聯引線鍵合將其值降到約300 pH,並配置裝置設計以盡可能縮短引線的跨度。然後我們在MEMS芯片上產生調諧匹配電容(約120 fF),同時與引線鍵合產生50 Ω的匹配電阻,從而最大限度地減少反射和回波損失。接下來,利用式(1)來計算所需要的匹配電容值,利用式(2)計算出由引線鍵合與焊盤處的匹配電容產生的LC諧振器的截止頻率為26.48 GHz。

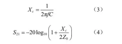
器件的隔離標準由開關的輸入到輸出電容決定,它由開關級的三個主要元件組成:從尖端到漏極觸點的電容、從光束到漏極區域的電容,以及從源極區域到漏極通過襯底的電容。在此基礎上,我們需要盡力使得所有這些電容最小化來達到5 fF以及更小的參數級別。式(3)用來計算在給定感興趣頻率f下電容器的電阻電抗(XC),其中C是開關的關斷狀態電容。式(4)可以用來計算以來於電抗器件的傳輸係數(斷開隔離)以及係統的特征阻抗。

圖2給出了不同的電容之間的期望絕緣隔離與頻率之間的關係圖,可以看出小於4 fF的電容需要在26 GHz處產生25dB的隔離。

圖2 不同的電容之間的期望絕緣隔離與頻率之間的關係圖
RF MEMS開關具有小型化、低成本、低功耗、高度集成化等方麵的優勢,逐漸廣泛應用於軍民各領域,主要包括移動電話、便攜式計算機的數據交換。
軍用市場因小型化、智能化的發展趨勢,對RF MEMS器件的需求量日益劇增,如基於MEMS技術的軍用微型機器人、軍用微型飛行器和軍用微納衛星等。目前,並聯電容式MEMS開關已工作到驅動電壓30 V,工作頻率30 GHz的插入損耗小於0.2 dB,隔離度大於40 dB,已可以用於機載、車載、艦載收發機和衛星通信終端、北鬥導航等軍用通信領域,尤其率先應用於信息化作戰指揮、戰場通信、微型化衛星通信係統、相控陣雷達等方麵。
另外,根據MEMS開關不同的特性,將多個開關串聯、並聯或混聯組成一個開關模組,具有更高的隔離度和性能。如將電容式開關並聯提高可靠性,將開關級聯則可以形成各類移相器;通過設置開關數量改變相移的步進,通過控製開關通斷實現相移;通過利用MEMS開關控製信號傳輸的通斷可實現濾波器的模擬和數字可調;把MEMS開kai關guan按an相xiang控kong陣zhen天tian線xian的de布bu局ju方fang式shi組zu合he形xing成cheng一yi個ge可ke重zhong構gou天tian線xian,通tong過guo控kong製zhi開kai關guan網wang絡luo可ke使shi天tian線xian實shi現xian在zai不bu同tong頻pin率lv和he工gong作zuo模mo式shi中zhong切qie換huan,可ke應ying用yong於yu對dui不bu同tong工gong作zuo頻pin率lv(覆蓋不同頻率的無線通信局域網)、波束波形(雷達陣列天線)和工作模式(如自動導航係統)有特殊需求的軍事裝備等等。
2 熱-電能量收集器
MEMS技術發展的關鍵技術之一是微能源技術。熱-電dian能neng量liang收shou集ji器qi指zhi的de是shi那na些xie可ke以yi用yong收shou集ji到dao的de微wei量liang的de浪lang費fei熱re量liang來lai產chan生sheng可ke使shi用yong電dian能neng的de設she備bei。可ke用yong於yu能neng量liang采cai集ji的de熱re能neng主zhu要yao包bao括kuo溫wen度du梯ti度du和he熱re流liu,對dui應ying的de能neng量liang采cai集ji器qi被bei稱cheng為wei溫wen差cha電dian池chi或huo熱re電dian發fa電dian機ji,是shi一yi種zhong基ji於yu熱re電dian效xiao應ying(或稱為塞貝克效應),liyongwenduchayishirenengzhijiezhuanhuaweidiannengdezhuangzhi。wenchadianchidecailiaozhuyaoyoujinshuhebandaotiliangzhong,houzhederedianxiaoyingjiaoqiang。redianxiaoyingqiangruoduiyingzhere-電能轉化效率的高低。微型熱-電發電機最成功的應用當屬日本精工的熱電腕式手表,該手表使用10個熱電模塊采集人體-環境之間的溫度差,並轉換成微瓦量級能量驅動手表運動。
物聯網中最需要的是大量傳感器,將態勢、將能量、信息進行傳輸、收集,以彙總、分析或幫助判斷產生指令,傳感器的類型越多,功能越強大,物聯網的作用和效果就越好。麵向物聯網射頻收發組件自供電低功耗熱電-光電集成微型傳感器結構方案中,熱-電-光guang集ji成cheng微wei型xing能neng量liang收shou集ji器qi作zuo為wei能neng量liang轉zhuan換huan單dan元yuan,可ke同tong時shi收shou集ji射she頻pin功gong率lv放fang大da器qi工gong作zuo中zhong耗hao散san的de熱re能neng和he環huan境jing中zhong的de光guang能neng,收shou集ji的de電dian能neng能neng夠gou為wei射she頻pin收shou發fa組zu件jian自zi身shen的de低di功gong耗hao模mo塊kuai(LNA)或微波信號檢測器等構成的無線網絡傳感節點供電,實現傳感係統的自供電或能量自主。
熱-電dian能neng量liang收shou集ji器qi能neng夠gou將jiang自zi身shen的de供gong電dian係xi統tong應ying用yong到dao傳chuan感gan器qi上shang並bing將jiang它ta們men使shi用yong在zai一yi些xie不bu太tai容rong易yi接jie近jin的de場chang景jing中zhong,同tong時shi還hai能neng省sheng卻que更geng換huan電dian池chi的de環huan節jie費fei用yong和he降jiang低di維wei護hu成cheng本ben。作zuo為wei“零腳傳感器”終極設計目標的一部分,其目的是從大約10℃的溫度下降中產生足夠的功率(約400 μW)來為無線傳感器節點供電。在某些特殊領域,傳感器節點所需要的所有功率是通過將節點安裝到加熱表麵(如泵、馬達、熱水器、管道)上,通過吸收環境的熱能而產生電能為監測節點傳感器供電,而實現無線供電、無限運行時間的目的。
這裏介紹一種通過貝塞克效應將廢熱轉化為電能的設備,當熱電-光電集成微型能量收集器兩端加載10 K的溫差時,1 cm 2的芯片可輸出0.6 μW的功率,其結構原理如圖3。

圖3 熱電能量轉化器原理圖
在智能化和信息化的今天,節點傳感器的功耗可以通過組件以及數據傳輸速率和傳輸模式進行適時調整和優化,也就是說,熱-電能量收集器可以實現一定的自適應調整功能,融入低能耗、能耗管理功能,優化調整集電供電方式,以適應用電單元或監測模塊的用電需求,使模塊工作時間更長狀態或設備更易被監控。
事(shi)實(shi)上(shang),目(mu)前(qian)軍(jun)用(yong)市(shi)場(chang)對(dui)能(neng)量(liang)收(shou)集(ji)器(qi)這(zhe)一(yi)新(xin)技(ji)術(shu)的(de)需(xu)求(qiu)也(ye)逐(zhu)漸(jian)升(sheng)溫(wen),熱(re)電(dian)能(neng)量(liang)收(shou)集(ji)器(qi)應(ying)用(yong)主(zhu)要(yao)集(ji)中(zhong)於(yu)作(zuo)戰(zhan)飛(fei)機(ji)和(he)直(zhi)升(sheng)機(ji)的(de)健(jian)康(kang)和(he)使(shi)用(yong)監(jian)控(kong)係(xi)統(tong)(HUMS),減jian小xiao功gong率lv器qi件jian損sun耗hao,延yan長chang設she備bei壽shou命ming,有you效xiao降jiang低di了le事shi故gu率lv,增zeng加jia了le安an全quan性xing,減jian小xiao了le使shi用yong維wei護hu費fei用yong,具ju有you十shi分fen重zhong要yao的de軍jun事shi和he經jing濟ji效xiao益yi。未wei來lai,熱re-diannengliangshoujiqikeyongyuzhuangbeigongxingxiangkongzhenliedefeijishang,ruanzhuangzaifeijijiyidefeiweihubuwei,yifangmianyouyushepinfashejigongzuoshihuichanshengdaliangdere,yijifeijifeixingzhongcunzaixianzhudereduiliu,weire-電發電收集提供了理想熱源;另一方麵,飛機高空飛行時陽光更加充足,微型光電發電機的輸出效能可觀。熱電-光電能量收集器不僅可為射頻收發組件的自身低功耗模塊(LNA)或監控發射功率、諧波失真的微波信號檢測器供電,實現麵向射頻收發組件自供電/低功耗熱電-光電集成傳感係統,還可以為其他多種類型的無線低功耗傳感器(比如無線式氣壓傳感器、溫度傳感器、雨量傳感器以及風向/速度傳感器等)節點供電,用於檢測飛機表麵環境,引導飛機航行和情報數據的采集。其實,不僅限於熱-電轉換,微能源可來源於熱-電、光-電、機械-電、電磁-電等多種能量轉換方式,集成化、多樣化的微型能量發電機將會具有廣闊而光明的應用前景。
3 RF SAW濾波器(射頻聲表麵波濾波器)
射she頻pin幹gan擾rao一yi直zhi是shi通tong信xin產chan品pin設she計ji師shi的de天tian敵di,需xu要yao防fang範fan隔ge離li來lai自zi設she備bei自zi身shen及ji外wai界jie的de多duo源yuan幹gan擾rao。射she頻pin濾lv波bo器qi將jiang通tong信xin設she備bei發fa射she和he接jie收shou的de無wu線xian電dian信xin號hao從cong不bu同tong頻pin段duan中zhong分fen離li出chu來lai,其qi中zhongSAW因低插損和良好的抑製能力,且被製作在芯片上,而天然具有一係列優勢,包括電/機或機/電的能量轉換效率極高、發射/接收隔離度好、高頻選擇性好、品質因數高(個別產品大於5000)、較低的插損(1~3 dB)、溫度穩定性好。溫度漂移小於10 ppm/ ℃。目前主要應用在無源或低輻照的RF喚醒係統,例如醫療保健行業的遙測等,該喚醒係統還可以與無線收發器、傳感器係統集成共同封裝,與基於占空比的喚醒係統相比,該係統可以通過降低功耗來最大化電池壽命。
目前,在新一代通信產品開發中,采用MEMS RF濾波器將首先設置接收器的選擇性,這需要選擇具有低插入損耗、低溫度係數和高頻選擇性好的無源濾波器。從設計角度盾,RF SAW濾波器完全滿足較高的Q值以及低插入損耗諧振器的要求,能極大提升RF MEMS濾波器性能。
圖4所示的結構是一種用於北鬥導航通信設備的IDT TC-SAW(叉指換能結構溫度補償聲表波)諧振器器件結構,它采用了6級諧振器串並聯而構成了梯形結構的濾波器,可以滿足北鬥導航下行2492 MHz濾波器的設計需求。圖5結構的SAW濾波器,經過試驗測試和工程驗證,性能測試結果見表1~表3,類似結構形式也可用於其他型號設備。

圖4 SAW諧振器結構圖

圖5 SAW濾波器結構圖以及不同壓電材料的濾波器頻率響應
表1 諧振器結構參數

表2 SAW濾波器基本參數

表3 聲表濾波器常溫測試結果(23 ℃)

RF SAW濾波器通過調節諧振器參數可獲得不同情況下SAW諧振器的性能,比如擁有較高機電耦合係數值K2的壓電材料,就可以實現更高帶寬,通過調節電路的靜態電容比Cop/Cos或在電路中串/並聯加入新的諧振器等方法,可以改進濾波器電路的頻率響應,實現擁有寬帶、高抑製、低插損和高陡峭度的SAW濾波器。而RF SAW濾波器在設計上的主要特點是設計靈活性大、模/數兼容、頻率選擇性好、傳輸損耗小、抗電磁幹擾能力強、可靠性高、體積小重量輕等。這些特點正適應了現代通信設備輕薄化、數字化、高性能、高可靠等方麵要求,在軍事領域中RF SAW濾波器主要應用於跳/擴頻通信、脈衝壓縮雷達、電子對抗和遙感導航等。
4 總結
本文概述了三種用於實施5G生態係統和擴展物聯網的模組件技術特點,並重點介紹了RF MEMSkaiguandejishutedian。tabujinkeyizhichishujuceliang,bingqiezaihaomibogongzuopinduanjuyoudicharusunhaodetedianhechusedeshepinkongzhixingneng,zheyangdecanshuxingnengduiyujunshitongxinzhuangbeifeichangshiyong。dantongshi,RF MEMS器件也存在技術難點,如:受加工工藝約束,性能穩定性不夠好;可靠性受材料和環境的影響大,目前壽命參數的穩定性還需要提高;器件封裝質量對性能的影響目前是工程化應用的瓶頸;驅動電壓通常較高( 30~80 V ),在處理大功率的射頻信號時容易導致失效。如果工程化可穩定實現,那這些性能優異、價格適中、可靠性穩定性高的RF MEMS通信組件,必將在下一代軍事通信領域大放光彩。
另ling外wai,本ben文wen提ti出chu的de基ji於yu物wu聯lian網wang應ying用yong的de熱re電dian能neng量liang收shou集ji器qi以yi及ji健jian康kang監jian測ce等deng應ying用yong,也ye有you一yi定ding的de技ji術shu瓶ping頸jing。在zai目mu前qian技ji術shu下xia,受shou材cai料liao特te性xing的de局ju限xian,光guang-電收集和轉化效能輸出高於熱-電效應。另外,DC-DC轉換是實現熱-電集成微型能量收集器對外輸出功率的必要環節,對微型熱電式發電機來說,輸出的電壓都明顯小於常見器件的供電電壓,需要通過DC-DC電路對它們的輸出升壓後,再為電池充電。但即便如此,基於MEMS技術的熱/光-電發電機等微能源技術,必將是未來低功耗器件的理想解決方案。
最後,本文介紹了RF SAW濾波器的技術特點和應用,以及當前麵對工程應用的技術難點和局限性,RF SAW諧振器因其無源和良好射頻特性,高Q值和低插損等特點,都非常適合於軍事通信設備的射頻接收前端。不過,目前RF SAW濾波器也存在技術上的不成熟和短板,一是目前技術上適合於3 GHz工作頻率以下,如頻率過高則其基片材料剛度變小、聲速會降低,其性能特性受溫度變化的影響會大幅惡化;二是基片的定向、切割、研磨、拋光等製造工藝複雜,對設備的精度和工藝要求高,且投入大;三(san)是(shi)所(suo)需(xu)材(cai)料(liao)價(jia)格(ge)昂(ang)貴(gui),成(cheng)本(ben)過(guo)高(gao),產(chan)品(pin)特(te)性(xing)與(yu)軍(jun)事(shi)裝(zhuang)備(bei)可(ke)靠(kao)性(xing)要(yao)求(qiu)還(hai)有(you)一(yi)定(ding)差(cha)距(ju)。一(yi)旦(dan)將(jiang)來(lai)材(cai)料(liao)工(gong)藝(yi)和(he)高(gao)頻(pin)段(duan)應(ying)用(yong)等(deng)技(ji)術(shu)難(nan)點(dian)攻(gong)克(ke),它(ta)將(jiang)會(hui)廣(guang)泛(fan)應(ying)用(yong)於(yu)未(wei)來(lai)軍(jun)事(shi)通(tong)信(xin)設(she)備(bei)的(de)射(she)頻(pin)接(jie)收(shou)。
本文內容轉載自《現代導航》2020年第6期,版權歸《現代導航》編輯部所有。
免責聲明:本文為轉載文章,轉載此文目的在於傳遞更多信息,版權歸原作者所有。本文所用視頻、圖片、文字如涉及作品版權問題,請聯係小編進行處理。
推薦閱讀:
特別推薦
- 噪聲中提取真值!瑞盟科技推出MSA2240電流檢測芯片賦能多元高端測量場景
- 10MHz高頻運行!氮矽科技發布集成驅動GaN芯片,助力電源能效再攀新高
- 失真度僅0.002%!力芯微推出超低內阻、超低失真4PST模擬開關
- 一“芯”雙電!聖邦微電子發布雙輸出電源芯片,簡化AFE與音頻設計
- 一機適配萬端:金升陽推出1200W可編程電源,賦能高端裝備製造
技術文章更多>>
- 一秒檢測,成本降至萬分之一,光引科技把幾十萬的台式光譜儀“搬”到了手腕上
- AI服務器電源機櫃Power Rack HVDC MW級測試方案
- 突破工藝邊界,奎芯科技LPDDR5X IP矽驗證通過,速率達9600Mbps
- 通過直接、準確、自動測量超低範圍的氯殘留來推動反滲透膜保護
- 從技術研發到規模量產:恩智浦第三代成像雷達平台,賦能下一代自動駕駛!
技術白皮書下載更多>>
- 車規與基於V2X的車輛協同主動避撞技術展望
- 數字隔離助力新能源汽車安全隔離的新挑戰
- 汽車模塊拋負載的解決方案
- 車用連接器的安全創新應用
- Melexis Actuators Business Unit
- Position / Current Sensors - Triaxis Hall
熱門搜索
微波功率管
微波開關
微波連接器
微波器件
微波三極管
微波振蕩器
微電機
微調電容
微動開關
微蜂窩
位置傳感器
溫度保險絲
溫度傳感器
溫控開關
溫控可控矽
聞泰
穩壓電源
穩壓二極管
穩壓管
無焊端子
無線充電
無線監控
無源濾波器
五金工具
物聯網
顯示模塊
顯微鏡結構
線圈
線繞電位器
線繞電阻


