ADALM2000實驗:源極跟隨器(NMOS)
發布時間:2021-06-09 來源:Doug Mercer 和 Antoniu Miclaus 責任編輯:wenwei
【導讀】麵包板連接如圖1和圖2所示。波形發生器W1的輸出連接至M1的柵極端子。示波器輸入1+(單端)也連接至W1輸出。漏極端子連接至正極(Vp)電源。源極端子連接至2.2 kΩ負載電阻和示波器輸入2+(單端)。負載電阻的另一端連接至負極(Vn)電源。要測量輸入-輸出誤差,可以將2+連接至M1的柵極,2–連接至源極,以顯示示波器通道2的差值。
目標
本次實驗的目的是研究簡單的NMOS源極跟隨器,有時也稱為共漏極配置。
材料
● ADALM2000主動學習模塊
● 無焊麵包板
● 跳線
● 一個2.2 kΩ電阻 (RL)
● 一個小信號NMOS晶體管(M1采用增強模式CD4007或ZVN2110A)
說明
麵包板連接如圖1和圖2所示。波形發生器W1的輸出連接至M1的柵極端子。示波器輸入1+(單端)也連接至W1輸出。漏極端子連接至正極(Vp)電源。源極端子連接至2.2 kΩ負載電阻和示波器輸入2+(單端)。負載電阻的另一端連接至負極(Vn)電源。要測量輸入-輸出誤差,可以將2+連接至M1的柵極,2–連接至源極,以顯示示波器通道2的差值。

圖1.源極跟隨器。
硬件設置
波形發生器配置為1 kHz正弦波,峰峰值幅度為2 V,偏移為0。示波器通道2的單端輸入(2+)用於測量源極的電壓。示波器配置為連接通道1+以顯示AWG發生器輸出。在測量輸入-輸出誤差時,應連接示波器的通道2,以顯示2+和2–之間的差值。

圖2.源極跟隨器麵包板電路。
程序步驟
配置示波器以捕獲所測量的兩個信號的多個周期。產生的波形如圖3所示。

圖3.源極跟隨器的輸入和輸出波形。
源極跟隨器的增益(VOUT/VIN)理想值為1,但總是略小於1。增益由以下公式1計算得出:
從公式可以看出,要獲得接近1的增益,我們可以增大RL或減小rs。也可以看出,rs是ID的函數,ID增大,rs會減小。此外,從電路可以看出,ID與RL相關,如果RL增大,ID會(hui)減(jian)小(xiao)。在(zai)簡(jian)單(dan)的(de)電(dian)阻(zu)負(fu)載(zai)發(fa)射(she)極(ji)跟(gen)隨(sui)器(qi)中(zhong),這(zhe)兩(liang)種(zhong)效(xiao)應(ying)相(xiang)互(hu)抵(di)消(xiao)。所(suo)以(yi),要(yao)優(you)化(hua)跟(gen)隨(sui)器(qi)的(de)增(zeng)益(yi),我(wo)們(men)需(xu)要(yao)找(zhao)到(dao)能(neng)在(zai)不(bu)影(ying)響(xiang)另(ling)一(yi)方(fang)的(de)情(qing)況(kuang)下(xia)降(jiang)低(di)rs或增大RL的方法。需要注意的是,在MOS晶體管中,ID = Is (IG = 0)。

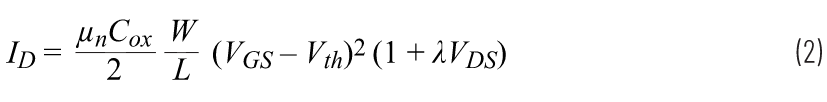
其中, K = μnCox/2 ,λ可以認為是與工藝技術相關的常數。
從另一個角度來看,因為晶體管Vth本身的DC偏移,在預期的擺幅內輸入和輸出之間的差值應是恒定的。受簡單的電阻負載RL影響,漏電流ID會隨著輸出上下擺動而升高和降低。我們知道ID是VGS的函數(平方關係)。以+1 V至-1 V的擺幅為例,最小ID = 1 V/2.2 kΩ或0.45 mA,最大ID = 6 V/2.2 kΩ或2.7 mA。因此VGS會發生明顯變化。根據這些實驗結果,我們能從一個方麵改善源極跟隨器。
現在可以使用先前學子專區 實(shi)驗(yan)中(zhong)的(de)電(dian)流(liu)鏡(jing)來(lai)代(dai)替(ti)源(yuan)負(fu)載(zai)電(dian)阻(zu),以(yi)使(shi)放(fang)大(da)器(qi)晶(jing)體(ti)管(guan)的(de)源(yuan)極(ji)電(dian)流(liu)固(gu)定(ding)不(bu)變(bian)。電(dian)流(liu)鏡(jing)能(neng)在(zai)寬(kuan)電(dian)壓(ya)範(fan)圍(wei)內(nei)獲(huo)取(qu)較(jiao)為(wei)恒(heng)定(ding)的(de)電(dian)流(liu)。晶(jing)體(ti)管(guan)中(zhong)這(zhe)種(zhong)較(jiao)為(wei)恒(heng)定(ding)的(de)電(dian)流(liu)會(hui)導(dao)致(zhi)VGS相當恒定。從另一個角度來看,電流鏡中極高的輸出電阻可以有效提高RL,但rs保持為電流設定的低值。
加強源極跟隨器
附加材料
● 一個3.2 kΩ電阻(將1 kΩ和2.2 kΩ電阻串聯)
● 一個小信號NMOS晶體管(M1采用ZVN2110A)
● 兩個小信號NMOS晶體管(M2和M3采用CD4007)
說明
麵包板連接如圖4和圖5所示。

圖4.加強源極跟隨器。
硬件設置
波形發生器配置為1 kHz正弦波,峰峰值幅度為2 V,偏移為0。示波器通道2的單端輸入(2+)用於測量源極的電壓。示波器配置為連接通道1+以顯示AWG發生器輸出。在測量輸入-輸出誤差時,應連接示波器的通道2,以顯示2+和2–之間的差值。

圖5.加強源極跟隨器麵包板電路。
程序步驟
配置示波器以捕獲所測量的兩個信號的多個周期。產生的波形如圖6所示。

圖6.加強源極跟隨器波形。
源極跟隨器輸出阻抗
目標
源極跟隨器的一個重要方麵是提供功率或電流增益,即從高電阻(阻抗)級驅動低電阻(阻抗)負載。因此,測量源極跟隨器的輸出阻抗具有指導意義。
材料
● 一個4.7 kΩ電阻
● 一個10 kΩ電阻
● 一個小信號NMOS晶體管(M1采用CD4007或ZVN2110A)
說明
圖7和圖8中的電路配置增加了一個電阻R2,將來自AWG1的測試信號注入M1的發射極(輸出)。輸入端(M1的基極)接地。

圖7.輸出阻抗測試。
硬件設置
波形發生器配置為1 kHz正弦波,峰峰值幅度為2 V,偏移為減去M1的VGS(約為–V)。這會將±0.1 mA (1 V/10 kΩ)電流注入M1的源極。示波器輸入2+測量源極電壓的變化。

圖8.輸出阻抗測試麵包板電路。
程序步驟
繪製在源極處測得的電壓幅度。配置示波器以捕獲所測量的兩個信號的多個周期。產生的波形如圖9所示。

圖9.輸出阻抗測試波形。
免責聲明:本文為轉載文章,轉載此文目的在於傳遞更多信息,版權歸原作者所有。本文所用視頻、圖片、文字如涉及作品版權問題,請聯係小編進行處理。
推薦閱讀:
特別推薦
- 噪聲中提取真值!瑞盟科技推出MSA2240電流檢測芯片賦能多元高端測量場景
- 10MHz高頻運行!氮矽科技發布集成驅動GaN芯片,助力電源能效再攀新高
- 失真度僅0.002%!力芯微推出超低內阻、超低失真4PST模擬開關
- 一“芯”雙電!聖邦微電子發布雙輸出電源芯片,簡化AFE與音頻設計
- 一機適配萬端:金升陽推出1200W可編程電源,賦能高端裝備製造
技術文章更多>>
- 築基AI4S:摩爾線程全功能GPU加速中國生命科學自主生態
- 一秒檢測,成本降至萬分之一,光引科技把幾十萬的台式光譜儀“搬”到了手腕上
- AI服務器電源機櫃Power Rack HVDC MW級測試方案
- 突破工藝邊界,奎芯科技LPDDR5X IP矽驗證通過,速率達9600Mbps
- 通過直接、準確、自動測量超低範圍的氯殘留來推動反滲透膜保護
技術白皮書下載更多>>
- 車規與基於V2X的車輛協同主動避撞技術展望
- 數字隔離助力新能源汽車安全隔離的新挑戰
- 汽車模塊拋負載的解決方案
- 車用連接器的安全創新應用
- Melexis Actuators Business Unit
- Position / Current Sensors - Triaxis Hall
熱門搜索
微波功率管
微波開關
微波連接器
微波器件
微波三極管
微波振蕩器
微電機
微調電容
微動開關
微蜂窩
位置傳感器
溫度保險絲
溫度傳感器
溫控開關
溫控可控矽
聞泰
穩壓電源
穩壓二極管
穩壓管
無焊端子
無線充電
無線監控
無源濾波器
五金工具
物聯網
顯示模塊
顯微鏡結構
線圈
線繞電位器
線繞電阻



