毫微功耗運算放大器的直流增益
發布時間:2021-05-01 來源:Gen Vansteeg 責任編輯:wenwei
【導讀】運算放大器(op amp)的高精度和高速度直接影響著功耗的量級。電流消耗降低則增益帶寬減少;相反,偏移電壓降低則電流消耗增大。
運算放大器的許多電子特性相互作用,相互影響。由於市場對低功耗應用的需求逐漸增大,如無線感應節點、 物聯網 (IoT) 和he樓lou宇yu自zi動dong化hua,因yin此ci為wei確que保bao同tong時shi滿man足zu終zhong端duan設she備bei性xing能neng優you化hua及ji功gong耗hao盡jin可ke能neng低di,了le解jie各ge電dian子zi特te性xing間jian的de平ping衡heng至zhi關guan重zhong要yao。此ci係xi列lie博bo文wen包bao含han三san部bu分fen,在zai第di一yi部bu分fen中zhong,我wo將jiang介jie紹shao在zai毫hao微wei功gong率lv精jing密mi運yun算suan放fang大da器qi中zhong關guan於yu直zhi流liu增zeng益yi的de功gong率lv與yu性xing能neng表biao現xian的de平ping衡heng。
直流增益
你也許還記得,在學校中學到的運算放大器的典型反相(如圖1)和非反向(如圖2)增益配置。

圖1:反相運算放大器

圖2:非反相運算放大器
根據這些配置可分別得出反相和非反相運算放大器閉環增益等式,等式1和等式2:
等式中A_CL是閉環增益,R_F 是反饋電阻值,而R_2 是從負輸入端到信號(反相)或接地(非反相)的電阻值。
這些等式說明直流增益與電阻比有關,與電阻值無關。另外,“功率”定律和歐姆定律顯示了電阻值和消耗功率兩者之間的關係(等式3):
P是電阻消耗的功率,V是電阻的壓降,I是流經電阻的電流。
對毫微功耗增益和分壓器配置而言,Equation 3顯示,流經電阻的電流消耗最小,則消耗功率最小。Equation 4有助於你了解該原理:
R是電阻值。
根據這些等式,可以看出你必須選擇既可以提供增益又可以使消耗功率(也稱功耗)最小化的大電阻值。如果不能使流經反饋通道的電流最小化,那麼使用毫微功耗運算放大器就沒有任何優勢可言。
yidanxuandingkeyimanzuzengyihegonghaoxuqiudedianzuzhihou,nihaixuyaokaolvqitayingxiangyunsuanfangdaqixinhaotiaojiejingdudedianzitexing。tongjifeilixiangyunsuanfangdaqiguyoudejigexitongxingxiaocuowu,nijianghuidechuzongpianyidianya。dianzitexing——V_OS被(bei)定(ding)義(yi)為(wei)運(yun)算(suan)放(fang)大(da)器(qi)輸(shu)入(ru)端(duan)之(zhi)間(jian)的(de)有(you)限(xian)偏(pian)移(yi)電(dian)壓(ya),並(bing)且(qie)描(miao)述(shu)了(le)特(te)定(ding)偏(pian)置(zhi)點(dian)的(de)錯(cuo)誤(wu)。請(qing)注(zhu)意(yi),並(bing)未(wei)記(ji)錄(lu)所(suo)有(you)運(yun)算(suan)情(qing)況(kuang)下(xia)的(de)錯(cuo)誤(wu)。為(wei)此(ci),必(bi)須(xu)考(kao)慮(lv)增(zeng)益(yi)誤(wu)差(cha)、偏置電流、電壓噪聲、共模抑製比(CMRR)、電源抑製比(PSRR) 和漂移。本博文無法全麵討論涉及的所有參數,我們將詳細討論一下 V_OS 和漂移,以及這兩者對毫微功率應用的影響。
實際上,運算放大器通過輸入端展示V_OS,但有時在低頻(近似直流)精密信號調節應用中則可能是一個問題。 在電壓增益環節,隨著信號被調節,偏移電壓將上升,產生測量誤差。此外,V_OS的大小隨著時間和溫度(漂移)而變化。因此,低頻應用需要相當高分辨率的測量方式,選擇一款配備最低漂移的精密 (V_OS ≤ 1mV)運算放大器非常重要。
等式5計算了與溫度相關的最大V_OS:
我已經介紹了理論部分,如:為(wei)低(di)頻(pin)應(ying)用(yong)選(xuan)擇(ze)可(ke)以(yi)提(ti)高(gao)增(zeng)益(yi)比(bi)和(he)運(yun)算(suan)放(fang)大(da)器(qi)精(jing)度(du)的(de)大(da)電(dian)阻(zu)值(zhi),現(xian)在(zai)我(wo)將(jiang)用(yong)兩(liang)引(yin)線(xian)電(dian)化(hua)電(dian)池(chi)來(lai)做(zuo)出(chu)實(shi)例(li)解(jie)釋(shi)。兩(liang)引(yin)線(xian)電(dian)化(hua)電(dian)池(chi)常(chang)發(fa)出(chu)低(di)頻(pin)的(de)小(xiao)信(xin)號(hao),用(yong)在(zai)各(ge)種(zhong)便(bian)攜(xie)式(shi)感(gan)應(ying)設(she)備(bei)上(shang),如(ru)氣(qi)體(ti)檢(jian)測(ce)儀(yi)、血糖監測儀等,選擇一款低頻(<10kHz) 毫微功耗運算放大器。
用氧氣傳感(見圖 3) 作為具體的應用實例,假設感應器的最大輸出電壓為10mV(通過製造商指定的負載電阻將電流轉換成電壓R_L) ,則運算放大器的滿量程輸出電壓為1V。通過Equation 2,可以看出 A_CL 的值需要為100,或者R_F是R_2的100倍。分別選擇100MΩ電阻和1MΩ電阻,得出增益值為101,且電阻值足夠大到可以限製電流並最小化功耗。

圖3:氧氣傳感器
為最小化偏移誤差,LPV821零漂移毫微功耗運算放大器是一款理想器件。 使用Equation 5並假設操作溫度範圍為0°C—100°C,該器件產生的最大偏移誤差為:

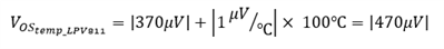
另一款理想的器件是LPV811精密毫微功耗運算放大器。從其數據表收集必要數值插入等式5可以得出:
(請注意,LPV811數據表未指明偏移電壓偏移的最大上限,因此在此處使用典型值)。
如果使用通用的毫微功耗運算放大器取代,如TLV8541 ,相關值變化會得出:
(TLV8541數據表未指明偏移電壓偏移的最大上限,因此在此處仍使用典型值)。
如你所見,LPV821運算放大器是這個應用的理想選擇。電流消耗為650nA的LPV821可以感應到氧氣傳感器輸出電壓低至18µV或更低的變化,並隻有2.3mV的最大偏移增益誤差。如果需要同時滿足極高精密性和毫微功耗,零偏移毫微功耗運算放大器將是你的最佳選擇。
感謝你閱讀“如何通過毫微功耗運算放大器實現精密測量”係列的第一部分。在第二部分中,我將討論超精密微功耗運算放大器如何助力電流感應應用。
免責聲明:本文為轉載文章,轉載此文目的在於傳遞更多信息,版權歸原作者所有。本文所用視頻、圖片、文字如涉及作品版權問題,請聯係小編進行處理。
推薦閱讀:
特別推薦
- 噪聲中提取真值!瑞盟科技推出MSA2240電流檢測芯片賦能多元高端測量場景
- 10MHz高頻運行!氮矽科技發布集成驅動GaN芯片,助力電源能效再攀新高
- 失真度僅0.002%!力芯微推出超低內阻、超低失真4PST模擬開關
- 一“芯”雙電!聖邦微電子發布雙輸出電源芯片,簡化AFE與音頻設計
- 一機適配萬端:金升陽推出1200W可編程電源,賦能高端裝備製造
技術文章更多>>
- 貿澤EIT係列新一期,探索AI如何重塑日常科技與用戶體驗
- 算力爆發遇上電源革新,大聯大世平集團攜手晶豐明源線上研討會解鎖應用落地
- 創新不止,創芯不已:第六屆ICDIA創芯展8月南京盛大啟幕!
- AI時代,為什麼存儲基礎設施的可靠性決定數據中心的經濟效益
- 矽典微ONELAB開發係列:為毫米波算法開發者打造的全棧工具鏈
技術白皮書下載更多>>
- 車規與基於V2X的車輛協同主動避撞技術展望
- 數字隔離助力新能源汽車安全隔離的新挑戰
- 汽車模塊拋負載的解決方案
- 車用連接器的安全創新應用
- Melexis Actuators Business Unit
- Position / Current Sensors - Triaxis Hall
熱門搜索
微波功率管
微波開關
微波連接器
微波器件
微波三極管
微波振蕩器
微電機
微調電容
微動開關
微蜂窩
位置傳感器
溫度保險絲
溫度傳感器
溫控開關
溫控可控矽
聞泰
穩壓電源
穩壓二極管
穩壓管
無焊端子
無線充電
無線監控
無源濾波器
五金工具
物聯網
顯示模塊
顯微鏡結構
線圈
線繞電位器
線繞電阻



