電源電壓微調電路的設計方法
發布時間:2021-04-02 來源:Chee Hua How 責任編輯:wenwei
【導讀】本設計實例介紹了一種基於OVP/UVP測試、負載餘量測試、電壓可編程性或其它任何理由而需要調節電源輸出電壓的方法。





圖1電源輸出電壓雙向調節電路。
圖1所示電路可以通過向反饋節點輸出或輸入電流實現電源輸出電壓的雙向調節。它可以通過開關進行人工操作,也可以通過三個輸入:S1 (STEP)、S2 (RESET)和S3 (U/D)進行數字操作。
S1信號的每個上升沿都會使輸出電壓VO增加或減小一個步距(在本設計中約為95mV)。S3控製調節方向(上/下),S2將VO複位到標稱值。
單獨使用U4B可確保:
1.每按壓一次S1(S1要去反彈)增加一個步距。
2.有足夠時間等待UUT保護電路作出反應。
由U5和U6組成的調節電路特點是有一個壓控的電流宿/源(VCCS)。U3B和U3C用於上移VCCS的參考點,以便:
1.參考點具有與Vref_ps相同的電平且位於中心。這樣,在中立條件下(比如在複位時),VW = 0.5Vref1 ≈ Vref2, Itrim≈0, VO≈VO(nominal)。
2.這個電路可以使用單電源,同時仍能輸入和輸出電流。
差分放大器U5產生Itrim並用以調節VO的幅度,通過使電流流入Vtrim節點來降低VO,或吸入電流來提升VO。U6是一個增益等於1的儀表放大器,用於將檢測到的電流反饋給U5。
U1/U3C電路產生兩個參考電壓Vref1和Vref2。其中Vref1是用於控製信號Vw的參考電壓。Vref2則匹配UUT的1.25V參考電壓。
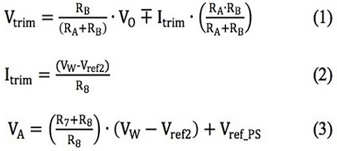
公式(1)、(2)和(3)可以用來配置這個電路以獲得不同的VO值:

下麵這個例子將圖1的參數插入上述公式:
從公式(1)我們可以得到:
因此針對±25%的VO變化範圍(即30V至18V),Itrim的範圍為-26μA至+25μA。
VW的範圍是0V至2.5V。將這個數值代入公式(2)得到R8≈48kΩ。
根據公式(3):

如果R7=100Ω,那麼VA(VW=0) ≈ 0V,並且VA(VW=2.5V) ≈ 2.5V
假設U2有128個步距,那麼VW、Itrim和VO的分辨率分別是20mV、406nA和95mV。

圖2 Ch1:CLK; Ch2:VW; Ch3:VO; Ch4:V(R7+R8)。
圖2顯示了一些關鍵點的波形。在第一象限裏,VO (Ch3)隨著每個時鍾脈衝從標稱值開始呈線性下降,直到在18V左右達到飽和。在大約半途中,S2被按下,將VO複位至標稱值,S3閉合。VO再隨著每個時鍾脈衝上升到29.5V的上限值。
當U2的滑動片處於中心位置時,Vref2和Vref_ps之間的任何失配都會給Itrim帶來偏移,從而使VO偏離標稱值。如果需要的話可以進行調節補償。
上述電路由一個5V電源供電,其電流消耗不到2mA。在一些應用中,VO可以針對這種情況進行調節和使用。
免責聲明:本文為轉載文章,轉載此文目的在於傳遞更多信息,版權歸原作者所有。本文所用視頻、圖片、文字如涉及作品版權問題,請聯係小編進行處理。
推薦閱讀:
特別推薦
- 噪聲中提取真值!瑞盟科技推出MSA2240電流檢測芯片賦能多元高端測量場景
- 10MHz高頻運行!氮矽科技發布集成驅動GaN芯片,助力電源能效再攀新高
- 失真度僅0.002%!力芯微推出超低內阻、超低失真4PST模擬開關
- 一“芯”雙電!聖邦微電子發布雙輸出電源芯片,簡化AFE與音頻設計
- 一機適配萬端:金升陽推出1200W可編程電源,賦能高端裝備製造
技術文章更多>>
- 築基AI4S:摩爾線程全功能GPU加速中國生命科學自主生態
- 一秒檢測,成本降至萬分之一,光引科技把幾十萬的台式光譜儀“搬”到了手腕上
- AI服務器電源機櫃Power Rack HVDC MW級測試方案
- 突破工藝邊界,奎芯科技LPDDR5X IP矽驗證通過,速率達9600Mbps
- 通過直接、準確、自動測量超低範圍的氯殘留來推動反滲透膜保護
技術白皮書下載更多>>
- 車規與基於V2X的車輛協同主動避撞技術展望
- 數字隔離助力新能源汽車安全隔離的新挑戰
- 汽車模塊拋負載的解決方案
- 車用連接器的安全創新應用
- Melexis Actuators Business Unit
- Position / Current Sensors - Triaxis Hall
熱門搜索
微波功率管
微波開關
微波連接器
微波器件
微波三極管
微波振蕩器
微電機
微調電容
微動開關
微蜂窩
位置傳感器
溫度保險絲
溫度傳感器
溫控開關
溫控可控矽
聞泰
穩壓電源
穩壓二極管
穩壓管
無焊端子
無線充電
無線監控
無源濾波器
五金工具
物聯網
顯示模塊
顯微鏡結構
線圈
線繞電位器
線繞電阻




